Hamburger Menu Button
Thermo Fisher Scientific Logo
登录
没有账号?建立账号 注册
  • 产品
    • 抗体
    • 引物合成
    • GeneArt Gene Synthesis Instant Designer
    • TaqMan Assay and Array Search
    • PCR 设备和耗材
    • 色谱柱和纯化柱
    • 实验室离心机
    • 分子生物学试剂和试剂盒
    • 实验室塑料耗材及用品
    • 查看所有产品分类
  • 应用和技术
    • 色谱
    • 细胞转染和培养
    • 实时荧光定量PCR
    • 质谱
    • 实验室塑料耗材及用品
    • 电子显微镜
    • 蛋白质生物学
    • PCR
    • RNAi
    • 环境
    • 查看所有应用和技术
  • 服务
    • 定制服务
    • 企业级实验室信息化服务
    • 金融&租赁服务
    • 仪器服务
    • OEM和商业供应
    • 培训服务
    • 360° CDMO 和 CRO 服务
    • CDMO 服务
    • 临床试验 CRO 服务
    • Unity Lab Services
    • 查看所有帮助和支持
  • 帮助和支持
    • 学习中心
    • 联系我们
    • 更改国家或地区
    • 查看所有帮助和支持
  • 热门产品
    • TaqMan Real-Time PCR Assays
      TaqMan 实时荧光定量 PCR 试剂盒
    • Antibodies
      抗体
    • Oligos, Primers & Probes
      寡核苷酸、引物、探针
    • GeneArt Gene Synthesis
      GeneArt 基因合成
    • Cell Culture Plastics
      细胞培养耗材
  • Who We Serve
    • 抗体治疗解决方案
    • 细胞与基因治疗解决方案
    • 学术科研
    • 工业与应用
  • 联系我们
  • 货号直购
  • 订单查询
  • 查找文件&证书
Thermo Fisher Scientific Logo

Search

搜索全部或下列指定分类
Search button
          • 联系我们
          • 货号直购
          • 登录
            登录
            没有账号?建立账号 注册
            • 我的账号
            • 订单
            • 会员中心
            • 账单及发票查询
            • 定制产品及项目
          • ELISA Kits ›
          • TNF alpha ELISA Kits

          Invitrogen

          Mouse TNF alpha ELISA Kit

          105 篇参考文献
          查看其他36个TNF alpha ELISA试剂盒

          {{$productOrderCtrl.translations['antibody.pdp.commerceCard.promotion.promotions']}}

          {{$productOrderCtrl.translations['antibody.pdp.commerceCard.promotion.viewpromo']}}

          {{$productOrderCtrl.translations['antibody.pdp.commerceCard.promotion.promocode']}}: {{promo.promoCode}} {{promo.promoTitle}} {{promo.promoDescription}}. {{$productOrderCtrl.translations['antibody.pdp.commerceCard.promotion.learnmore']}}

          技术指南和实验方案 技术支持
          技术指南和实验方案 技术支持
          技术指南和实验方案 技术支持
          技术指南和实验方案 技术支持
          Additional Information:
          {{banner.description}}
          {{$ctrl.isSkuNotesCollapsed ? 'View more' : 'View less'}}
          Mouse TNF alpha ELISA Kit
          Group 53 Created with Sketch.
          Mouse TNF alpha ELISA Kit
          Group 53 Created with Sketch.

          图: 1 / 3

          {{ $ctrl.currentElement.advancedVerification.fullName }}
          {{ $ctrl.currentElement.advancedVerification.text }}

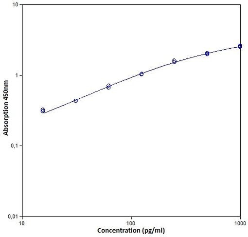
          Mouse TNF alpha ELISA Kit

          Representative standard curve for Mouse TNF alpha ELISA {{ $ctrl.currentElement.advancedVerification.fullName }} 验证信息 View more
          已发表图片由___提供 benchsci-logo
          PMID: {{$ctrl.currentElement.benchSciPubmedId}}
          查看产品

          {{$ctrl.videoDesc}}

          {{$ctrl.videoLongDesc}}

          Mouse TNF alpha ELISA Kit
          Mouse TNF alpha ELISA Kit (BMS607-3)
          videoThumbnail
          ►

          产品规格

          检测灵敏度

          3.7 pg/mL

          测定范围

          31.3-2,000 pg/mL

          检测样本类型/体积

          {Plasma=50 µL, Serum=50 µL, Supernatant=50 µL}

          手工操作时间

          1 hr 20 min

          总时间

          3 hr 30 min

          均相(无需洗涤)

          No

          批间差异

          5.7%

          批内差异

          6.5%

          检测仪器

          Absorbance Microplate Reader

          产品规格

          96 Tests

          产品成分

          Pre-coated 96 well plate
          Standard
          Sample Diluent
          Assay Buffer concentrate
          Biotinylated Detection Antibody
          SAV-HRP
          Wash Buffer
          Chromogen
          Stop Solution
          Adhesive Plate Covers

          运输条件

          Wet ice

          储存

          2-8°C

          蛋白名称

          TNF alpha

          均相(无需洗涤)

          Mouse

          检测试剂盒格式

          Sandwich ELISA Kit

          检测抗体结合物

          Biotin

          标签或染料

          HRP

          关于本试剂盒

          The Mouse Tumor Necrosis Factor alpha (Ms TNFα) ELISA quantitates Ms TNFα in mouse serum, plasma, buffered solution, or cell culture medium. The assay will exclusively recognize both natural and recombinant Ms TNFα.

          原理方法

          The Mouse TNFα solid-phase sandwich ELISA (enzyme-linked immunosorbent assay) is designed to measure the amount of the target bound between a matched antibody pair. A target-specific antibody has been pre-coated in the wells of the supplied microplate. Samples, standards, or controls are then added into these wells and bind to the immobilized (capture) antibody. The sandwich is formed by the addition of the second (detector) antibody, a substrate solution is added that reacts with the enzyme-antibody-target complex to produce measurable signal. The intensity of this signal is directly proportional to the concentration of target present in the original specimen.

          严格验证

          Each manufactured lot of this ELISA kit is quality tested for criteria such as sensitivity, specificity, precision, and lot-to-lot consistency. See manual for more information on validation.

          靶标信息

          TNF alpha is a multifunctional proinflammatory cytokine that belongs to the tumor necrosis factor (TNF) superfamily. This cytokine is mainly secreted by macrophage and bind to its receptors, TNFRSF1A/TNFR1 and TNFRSF1B/TNFBR. TNF alpha is involved in the regulation of immune cells, cell proliferation, differentiation, apoptosis, lipid metabolism, and coagulation. TNF alpha exists as a multimer of two, three, or five noncovalently linked units, but shows a single 17 kDa band following SDS-PAGE under non-reducing conditions. Knockout studies in mice also suggested the neuroprotective function of TNF alpha, and has been observed to causes tumor necrosis when injected into tumor-bearing mice. Other functions of TNF-alpha include its role in the immune response to bacterial, viral, parasitic and certain fungal infections, as well as its role in the necrosis of specific tumors. TNF alpha causes cytolysis or cytostasis of certain transformed cells, being synergistic with interferon-gamma in its cytotoxicity. This cytokine has been implicated in a variety of diseases, including autoimmune diseases, insulin resistance, and cancer.

          仅用于科研。不用于诊断过程。未经明确授权不得转售。

          生物信息学

          基因别名 : DIF, Tnf, TNF-a, TNF-alpha, Tnfa, TNFalpha, Tnfsf1a, TNFSF2

          基因ID : (Mouse) 21926

          基因符号 : Tnf

          蛋白别名 : Cachectin, DADB-70P7.1, TNF alpha, TNF superfamily, TNF α, TNFα, TNF-a, TNF-alpha, Tumor necrosis factor, Tumor necrosis factor ligand superfamily member 2, tumor necrosis factor-alpha

          UniProt ID (Mouse) P06804

          Recommended Products

          IL-6 Human Matched Antibody Pair

          Because you are interested in IL-6 Human ELISA Kit.

          SIZE

          10 x 96 tests

          PRICE

          USD 400.00

          Cat # CHC1263

          guarantee_icon

          性能保障

          当您发现Invitrogen免疫试剂箱在实验中的表现与网站或说明书的所说内容不符,您有权申请免费退换货服务。

          了解更多
          help_icon

          随时为您服务

          获取常见问题的专家解答,或者直接联系我们的技术专家,咨询应用、设备、常规产品使用问题。

          联系技术支持
          订购 Plus Icon Minus Icon
          • 订单状态查询
          • 订单支持
          • 货号直购
          • 现货供应中心
          • 电子采购
          支持 Plus Icon Minus Icon
          • 帮助&支持
          • 联系我们 - 400 820 8982
          • 技术支持中心
          • 查找文件&证书
          • 报告网站问题
          资源 Plus Icon Minus Icon
          • 学习中心
          • 促销
          • 活动&研讨会
          • 社交媒体
          关于赛默飞 Plus Icon Minus Icon
          • 关于我们
          • 招聘 招聘
          • 投资者关系 投资者关系
          • 新闻 新闻
          • 社会责任 社会责任
          • 商标
          • 政策和通知
          品牌 Plus Icon Minus Icon
          • Thermo Scientific
          • Applied Biosystems
          • Invitrogen
          • Gibco
          • Ion Torrent
          • Unity Lab Services
          • Patheon
          • PPD
          • 服务条款
          • 隐私政策
          • 定价和运输保险政策
          © 2006-2026 Thermo Fisher Scientific Inc. All rights reserved. All trademarks are the property of Thermo Fisher Scientific and its subsidiaries unless otherwise specified.
          China flag icon
          China
          本网站销售的所有产品均不得用于人类或动物之临床诊断或治疗,仅可用于工业或者科研等非医疗目的。
             电子营业执照 | 经营证照公示 | ICP备案号:沪ICP备11003924号 | 沪公网安备 31011502006935号

          Your items have has been added!


          Host server : magellan-search-blue-7c59b9b899-9dqhd:80/100.66.72.70:80.
          git-commit: 8ef7cf686e3c81d28b13492708ce56d167b2f995
          git-url: https://github.com/thermofisher/magellan-search
          git-branch: release/2.49.0-Offline