Search
Search
相关表格相关技术说明从《分子探针手册》第 11 版下载本章节
|
过渡金属离子不仅在生物结构和活性中起着重要作用,
还可用作通过 Ca2+ 通道进行离子转运
的替代物和阻断剂(图 19.7.3)。通过最初设计用于检测 Ca2+ 和 Mg2+ 的指示剂,测量细胞和环境样本中的重金属离子浓度,这一直受到其他丰度更高的阳离子竞争性结合的影响。
检测方法均依赖于专为金属检测而设计的新型荧光离子传感器,
以及最初设计用于检测 Ca2+ 和 Mg2+ 的指示剂的新应用
(表 19.5—Fura-2 和 indo-1 对 Ca2+ 和 Mg2+ 以外的一些二价阳离子的响应, 图 19.7.1, 图 19.7.2)。
我们的几种荧光指示剂可用于选择性地测定细胞内的多价阳离子浓度,或通过离子通道追踪金属离子转运。其他指示剂主要适用于测量溶液或环境样本的提取物。
在大多数情况下,指示剂对金属离子的亲和力较强,因此可通过使用去离子水稀释样品,以最大限度减少其他化合物的干扰。与 Ca2+ 和 Mg2+ 检测一样,对金属离子结合和解离常数 (Kd) 的光谱响应取决于多种因素,包括 pH ,温度,黏度,蛋白结合和存在其他离子。这些响应可能在海水和细胞溶质等复杂环境中存在显著差异。![]()
我们已经测试了许多 Ca2+ 和 Mg2+ 指示剂(见 《紫外光激发的荧光 Ca2+ 指示剂》—第 19.2 节 和 《荧光 Mg2+ 指示剂》—第 19.6 节)对一系列多价金属离子产生响应(图 19.7.1, 图 19.7.2)。基于 BAPTA 的指示剂(包括 Calcium Green 染料,fluo-3 和 fluo-4)在与 La3+,Hg2+ 和 Cd2+结合后显示荧光发射强度最高。Calcium Green/1 和 Magnesium Green 指示剂的响应显示,所检测的离子之间的差异相对较小。名义上设计用于检测低 Ca2+ 浓度的指示剂(例如 Calcium Green/5N,fluo-5N 和 rhod-5N)对过渡金属离子(如 Fe2+、Co2+、Ni2+ 和 Co2+)几乎没有响应,但对较重重的离子(如 Cd2+,Hg2+ 和 Pb2+)产生的响应更强。
请注意,在某些情况下, 图 19.7.2 所示的响应不一定饱和,甚至均匀。通过比较这些实验中采集的 1 µM 和 100 µM 离子浓度的影响,可以获得总体响应模式的一些指示。此外,请注意,我们为测量选择的激发和发射波长可能会显著影响观察到的变化的绝对和相对量。
与其他基于 BAPTA 的 Ca2+ 指示剂一样,Fura-2 和 indo-1 对 Ca2+ 的选择性高于 Mg2+;但是,它们与其他二价和三价阳离子结合时亲和力明显更高。在光谱检测方面,其中一些离子(例如 Ba2+,Cd2+ 和 Sr2+)模拟 Ca2+的影响;
其他离子(例如 Mn2+,Co2+ 和 Ni2+)会产生强烈的荧光淬灭效应(Fura-2 和 indo-1 对除 Ca2+ 和 Mg2+ 以外的一些二价阳离子的响应—表 19.5)。虽然重金属阳离子是使用荧光指示剂进行 Ca2+ 测量的严重干扰源,但幸运的是,大多数情况下细胞内浓度极低。发生干扰时,可以使用选择性重金属离子螯合剂 TPEN 来识别和控制。
Mn2+ 对指示剂荧光的淬灭具有多种实用性应用:
Mn2+ 也被广泛用作测量 Ca2+通过离子通道流入的离子替代物
(图 19.7.3)。由于 Mn2+ 对 fura-2 荧光的影响与 Ca2+ 截然同(Fura-2 和 indo-1 对 Ca2+ 和 Mg2+ 以外的一些二价阳离子的响应—表 19.5),因此可将 Mn 2+ 的流入与细胞内储存动员的 Ca2+ 升高明确区分,
但由于存在替代的 Mn2+流入通路而使该清晰度受损。
当使用 fura-2 和 indo-1 研究离子(如 Ni2+,La3+ 和 Co2+)对电压激活和 Ca2+ 释放触发 Ca2+ 通道的拮抗作用时,也可进行类似分析。在这种情况下,Ca2+依赖性荧光信号是主要的关注对象,拮抗剂离子的渗透性性,导致与指示剂直接相互作用,通常会使测量无效。
Calcium Green,Oregon Green 488 BAPTA 和 Magnesium Green 指示剂系列对 Mn2+ 的响应与其对 Ca2+ 的响应没有显著差异(图 19.7.2),因此这些指示剂通常不适合基于上述 Ca2+/Mn2+ 区分的应用。我们已使用各种荧光指示剂(包括 fura-2,fura-FF 和 Calcium Orange 及 Magnesium Green 指示剂)检测 Sr2+,这是一种可替代 Ca2+ 触发神经递质释放的离子,
也可作为线粒体渗透性转变孔打开的阻断剂。![]()
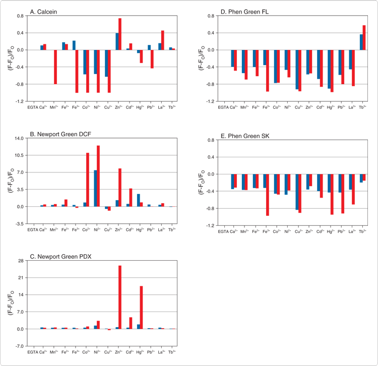
在生理 pH 值下,钙黄绿素 (C481) 荧光由 Co2+, Ni2+ 和 Cu2+ 强烈淬灭,且由 Fe3+ 和 Mn2+ 进行明显淬灭
(图 A, 图 19.7.4)。这种荧光淬灭响应可用于检测线粒体渗透性转变孔的开口,
以检测膜融合(注 14.3 — 体积变化,膜融合和膜渗透性检测—)以及监测细胞铁转运和细胞不稳定铁池。![]()
锌是生物体内含量仅次于铁的第二丰富的过渡金属。Zn2+ 结合蛋白大约占人类基因组转录调控蛋白的 50%,因此其在基因表达的调控中尤为重要。Zn2+ 还在胰腺胰岛素分泌中具有功能活性,
是神经系统疾病(包括癫痫和阿尔茨海默病)的促成因素。
在氧化应激过程中,游离 Zn2+ 从金属蛋白复合物中释放而来。
游离 Zn2+ 在大多数细胞 (<1 nm) 中的细胞内浓度极低,而其余部分与蛋白或核酸结合。
根据计算
得知每个细胞内游离 Zn2+ 浓度比一个原子低六个数量级。我们准备了各种 Zn2+ 指示剂(表 19.6 — Zn2+ 的荧光指示剂),以帮助阐明 Zn2+ 释放的作用以及游离或可螯合 Zn2+ 在细胞中的定位。![]()
在 1-100 nM 范围内,锌浓度可以使用荧光指示剂进行检测,这些指示剂标称用于 Ca2+ 检测 [如 Fura-2(参见下文)],或者是最近开发的具有更高 Zn2+ 选择性的指示剂。
我们将开发工作重点放在检测更高 Zn2+ 浓度的探针上,这些 Zn 2+ 存在于突触囊泡中,并在电刺激或兴奋性毒性激动剂的作用下被释放。
突触释放 Zn2+ 的峰值浓度可能超过 100 µM。我们开发了 FluoZin-1 和 FluoZin-2 (F24189),这是一系列独特指示剂,旨在检测 0.1–100 μM 范围内的 Zn2+,且对 Ca2+ 灵敏度的干扰极小
(图 H, 图 19.7.2; 图 19.7.5)。在实验室中,我们确定 FluoZin-1 的 Kd(Zn2+) 为 8.2 µM;然而,已知解离常数因实验条件而异,另有报告称该指示剂的 Kd(Zn2+) 为 0.4 µM,
这强调了在所研究的系统中直接校准指示剂的重要性。已发表的 FluoZin-1 应用主要涉及 Zn2+结合蛋白的表征。![]()
FluoZin-3 指示剂
(F24194,
; F24195) 是一种具有与 fluo-4 相似结构的 Zn2+选择性指示剂。FluoZin-3 表现出较高的 Zn2+结合亲和力(对 Zn2+ 的 Kd约为 15 nM),不受 Ca2+ 浓度影响,至少可以达到 1 µM。
在校准溶液的测量中得到证实的 FluoZin-3 的 Zn2+特异性,在基于细胞的实验中得以重现。广泛表征了 FluoZin-3 对过渡金属 [包括 Zn、Mn、Fe、Co、Cu(I)、Cu(II)、Ni 和 Cd] 的响应。
此外,当 Zn2+ 达到饱和水平时,FluoZin-3 的荧光大幅度增加(超过 50 倍, 图 19.7.6)。研究发现,FluoZin-3 是 Zinquin 的更佳替代物,用于测量葡萄糖或钾刺激后胰腺 β 细胞中 Zn2+ 的胞吐释放量。
尽管以 FluoZin-3 的成像应用为主,但也开发了基于细胞的微孔板检测
和流式细胞分析方案
。
橙色荧光 Rhodazin-3 锌指示剂在 Zn2+ 达到饱和水平时,荧光显著增加 75 倍,并且对 Zn2+ 的 Kd 约为 65 nM。
RhodZin-3 的细胞可渗透性 AM 酯形式可有效定位至线粒体中,是一种研究线粒体 Zn2+ 隔离的生理后果的有价值工具。
不可透过细胞的 RhodZin-3 盐已用于测量细胞外 Zn2+ 浓度。![]()
Newport Green DCF 指示剂 (N7991) 具有中度锌结合亲和力(对 Zn2+ 的 Kd 约为 1 µM),但基本对 Ca2+ 不敏感(对 Ca2+ >的 Kd 为 100 µM),因此成为一种有价值的探针,用于检测通过电压门控通道或谷氨酸门控通道流入神经元的 Zn2+ 。
当与具有双重 Ca2+/Zn2+ 敏感性的染料(如 fura-2 和 mag-fura-2)一起使用时,Newport Green DCF 确认可检测到 Zn2+ 水平变化,而不能检测到 Ca2+ 或 Mg2+水平变化。
基于人胰岛β细胞内 Zn2+ 含量较高,Newport Green DCF 已被用于从人胰岛中识别胰岛素分泌的 β 细胞
(
)。Newport Green DCF 还可与 Texas Red 10,000 MW 葡聚糖结合使用,以创建比率式荧光 PEBBLE(局部生物性包埋的胶囊状探针)纳米传感器,用于实时测量细胞内和细细胞间游离锌。
表征了 Newport Green DCF 对过渡金属 [包括 Zn、Mn、Fe、Co、Cu(I)、Cu(II)、Ni 和 Cd] 的响应。![]()
Newport Green PDX
结合了与 Newport Green DCF 相同的二-(2-吡啶甲基)胺螯合物,但 Zn2+ 的解离常数较高(Zn2+ 的 Kd 约为 30 µM),从不含 Zn2+至 Zn2+饱和的荧光强度大幅度增加。
Fredrickson 首次描述了细胞中膜渗透性探针 N-(6-甲氧基-8-喹啉基)-p-对甲苯磺酰胺 (TSQ) 的使用。
在存在 Ca2+ 和 Mg2+ 离子的生理浓度情况下,TSQ 对 Zn2+ 具有选择性。含有游离 Zn2+ 的 TSQ 络合物 的每金属原子显然有两个染料分子的化学计量,
但可能与金属蛋白以 1:1 的比例形成络合物。细胞内 Zn2+ 螯合剂双硫腙可阻断 TSQ 与 Zn2+结合。![]()
有几份报告表明,TSQ 可用于定位中枢神经系统中的 Zn2+ 库。
使用 TSQ 的组织化学定位发现,新生小鼠体内 Zn2+ 广泛分布,尤其与快速增殖组织相关,如皮肤和胃肠道上皮。
当在缺血性事件中脑部血流收缩时,TSQ 还用于检测 Zn2+ 从突触前神经末端向突触后神经末端的转运情况。
TSQ(和 Newport Green DCF 一样,参见上文)是一种用于胰岛细胞(Zn2+的含量较高)的选择性无毒染色剂,并可用于胰岛细胞的流式细胞术分离。![]()
基于 TSQ 的海水和其他生物系统中 Zn2+ 检测的检出限为 ~0.1 nM。
还有报告称,在 SDS 胶束中使用 TSQ 通过荧光分光光度法同时测定 Zn2+ 和 CD2+。
TSQ 已经用于通过流式细胞术测量人工脂质囊泡和活精子细胞中的 Zn2+ 水平。
在后者的研究中,TSQ 与 Zn2+ 络合物与脂质结合时,荧光产率远高于水溶液中的产率,这表明基于 TSQ 荧光强度的 Zn2+ 定量细胞分析可能不准确,因为染料与细胞膜结合时的量子产率存在不确定性。
Zn2+ 可与大多数基于 BAPTA 的 Ca2+ 指示剂结合,亲和力远高于 Ca2+。
例如,Fura-2 (F1200, F6799; 第 19.2 节—使用紫外光激发的 Ca2+ 荧光指示剂)在不存在 Ca 2+ 的情况下,显示 Zn2+ 的 Kd 为 3 nM (表 19.5 — Fura-2 和 indo-1 对 Ca2+ 和 Mg2+ 以外的一些二价阳离子的响应)。静息细胞中 Fura-2 荧光不饱和表明,游离 Zn2+的细胞内浓度较低。Fura-2 在 25–100 nM 游离 Ca2+ 存在的情况下对纳摩尔 Zn2+ 水平保持敏感,允许使用 Fura-2 AM(F1201, F1221, F1225, F14185; 第 19.2 节—使用紫外光激发的 Ca2+ 指示剂)检测通过电压门控 Ca2+ 通道的细胞内 Zn2+ 流入
,并检查活神经元
和肌细胞中的 Zn2+ 水平。
Fura-2 还被用作溶液中纳摩尔水平的游离 Zn2+ 和其他离子的指示剂。![]()
Mag-fura-2(M1290, 第 19.6 节— Mg2+ 荧光指示剂)与 Zn2+ (在 pH 值为 7.0–7.8,且在 37°C 下,Kd 约为 20 nM)结合后光谱特性轻微改变,因此可在 Ca2+ 存在的情况下测量 Zn2+。
Dineley 及其同事的一篇综述
评估了当前神经元 Zn2+ 荧光指示剂的性能,并识别与使用该指示剂相关的伪影。与往常一样,指示剂选择的关键是使离子结合亲和力 (Kd) 与当前的离子浓度范围匹配。在神经元游离 Zn2+存在的情况下,生理浓度约为 1–50 nM。在这些条件下,标称设计用于检测细胞内镁的指示剂(例如 Mag-fura-2,Zn2+ 的 Kd 约为 20 nM)似乎是最适合的。
基于离子结合的相似特性, Magnesium Green 指示剂(M3733, 第 19.6 节— Mg2+ 荧光指示剂)应用于 Zn2+ 内流的共聚焦成像。![]()
铜在人体基本重金属中的丰度(在 Fe3+ 和 Zn2+之后)是第三位。血红蛋白正常合成,预防贫血和氧化还原酶活性均需要膳食铜。
铜的氧化还原活性(即 Cu2+ 可逆还原为 Cu+)既是其生物活性的关键,也是其检测的复杂因素。Cu2+ 经 β-淀粉样前体蛋白催化还原为 Cu+ ,并转化为阿尔茨海默病特有的斑块。![]()
基于邻菲罗啉的 Phen Green FL 指示剂仅可作为细胞通透性二乙酸酯 (P6763),是一种出色的通用重金属传感器,能够检测多种金属离子,包括 Cu2+ 和 Cu+。
下面介绍了在亚微摩浓度下使用 Phen Green FL 检测 Fe2+、Hg2+、Pb2+、Cd2+ 和 Ni2+。未络合的 Phen Green FL 发出明亮的荧光,荧光量子产率大约为 0.8。强烈的荧光淬灭会导致某些重金属离子结合(图 19.7.4)。Phen Green FL 的发射强度取决于金属离子浓度和指示剂的浓度。Phen Green FL 二乙酸酯让研究人员可以辨别四种类型的龙虾肝胰上皮细胞在细胞内 Cu2+ 水平上的显著差异。![]()
据报告,基于邻菲罗啉的 Phen Green SK 指示剂 (P14312) 是一种 Cu+的选择性指示剂,其使用的条件是尽可能减少 Cu+ 氧为 Cu2+。
然后,这些研究人员使用 Phen Green SK 表征 Cu+ 从谷胱甘肽解离。
钙黄绿素 (C481) 荧光在中性 pH 值下被 Cu2+ 强烈淬灭
(图 19.7.4),尽管该光谱响应似乎未被用于 Cu2+ 检测。还使用 fura-2 对溶液中的 Cu2+ 进行了测量。
设计用于检测 Ca2+,Mg2+ 和 Zn2+ 的指示剂通常对 Cu2+产生的响应相对较弱。FluoZin-3 和 Newport Green DCF 与 Cu2+ 结合的亲和力极高
(Kd 分别为 0.09 nM 和 0.8 nM)。与 Cu2+ 结合后,由于 Zn2+的竞争性替代而导致荧光减弱。对于这两种指示剂,Cu+ 的结合亲和力比 Cu2+弱 1000 倍以上。![]()
研究认为,细胞内可螯合铁库是各种细胞损伤的决定性致病因子。
Phen Green FL(仅作为细胞渗透性二乙酸酯, P6763)和 Phen Green SK(P14312,
;细胞渗透性二乙酸酯, P14313)在结合 Fe2+(图 19.7.1) 和 Fe3+ (图 19.7.4) 后被淬灭。Phen Green FL 指示剂的发射强度取决于金属离子的浓度和指示剂的浓度。
Phen Green SK 二乙酸酯已成功用于定量大鼠肝细胞中的细胞内可螯合铁库,
直接测量 Fe2+ 跨叶绿体膜
转运以及监测小鼠骨骼肌中与疲劳有关的铁摄取。![]()
Cabantchik 和同事利用中性 pH 值下钙黄绿素的荧光淬灭,跟踪转铁蛋白中 Fe2+ 的细胞内释放情况。
利用被动负载的钙黄绿素 AM (C1430, C3099, C3100MP),它们能够测量从约 0.1 μM 到 1.0 μM 的细胞溶质 Fe2+ 浓度。然而,关于铁螯合机制的最新研究表明,钙黄绿素荧光淬灭主要是由于 Fe3+ 引起,且对 Fe2+ 相对不敏感
(图 19.7.4)。非转铁蛋白结合铁 (NTBI) 存在于铁过载个体的血清中,也存在于多种其他病理状况(包括地中海贫血)中。目前已经开发了基于铁对钙黄绿素荧光淬灭的微孔板检测法,以测量 NTBI。
在金属离子是有限物质的条件下,铁等过渡金属催化氧化自由基生成的能力,可作为使用荧光 ROS 传感器进行间接检测的基础(第 18.2 节—生成和检测活性氧簇)。二氢罗丹明 123(D632, D23806; 第 18.2 节—生成和检测活性氧簇)已被用来检测健康个体和地中海贫血患者血浆中的 NTBI。![]()
Leadmium Green 染料是一种以细胞渗透性 AM 酯形式 (A10024) 提供的荧光指示剂,用于选择性检测细胞中的铅或镉。钙不敏感的 Leadmium Green 染料可检测纳摩尔水平的铅和微摩尔水平的镉(图 19.7.7)。在典型的应用中,使用 Leadmium Green AM 评估 N-乙酰半胱氨酸对少突胶质祖细胞中的细胞内铅水平的影响。![]()
图 19.7.7 显示两个 Jurkat 细胞群的双色散点图。将 Jurkat 细胞中加入 Leadmium Green AM (A10024) 并洗涤。然后将样本在 1 µm μ M PbCl2(生理盐水)和 1 μM 离子霉素中孵育。洗涤样本后,将其在 PI 中孵育。采用 488 nm 激发滤光片和 525/10 nm 及 610/10 nm 带通滤光片采集双色荧光。这样就观察到两种细胞群体:死亡细胞(PI 为阳性)和含有铅的活细胞(Leadmium Green 染料为阳性,PI 为阴性)。
Measure-iT 铅和镉检测试剂盒(请联系 定制服务 ,了解更多信息)提供用于定量测定溶液中铅或镉的荧光微孔板检测,线性检测范围为 5 至 200 nM。
(Figure 19.7.8)。将 Measure-iT Leadmium 试剂工作溶液与 1-20 μ L 样品量在微孔板孔中混合,然后使用荧光素/FITC 波长设置,立即用荧光微孔板读数仪进行分析。该检测在室温下即可进行,信号可稳定保持至少 30分 钟。
每个 Measure-iT 铅和镉检测试剂盒包含:
每个试剂盒包含使用荧光微孔板读数仪进行 1000 次检测所需的充足试剂。
图 19.7.8 Measure-iT 铅和镉检测试剂盒检测铅(图 A)和镉(图 B)的线性和灵敏度。对 10 µL 铅和镉样品重复进行 3 次检测;在 490/520 nm 处测量荧光,并对照铅或镉浓度绘制荧光。重复样品的变异系数 (CV) 为 <2%。
我们基于邻菲罗啉的 Phen Green FL 和 Phen Green SK 指示剂 (P14312),可被动上样至细胞中作为其膜渗透性二乙酸酯 (P6763, P14313),是出色的通用重金属传感器,能够探测多种金属离子,包括 Cu2+,Cu+ 和 Fe2+ (参见上文),以及微摩尔浓度的 Hg2+、Pb2+、Cd2+、Zn2+ 和 Ni2+ (图 19.7.4)。我们使用这些多功能传感器检测各种基质中的金属离子,包括海水和各种受污染的固体,如油漆污泥和土壤。在这种样品中,Phen Green FL 和 Phen Green SK 仅检测总金属离子中易于溶解(生物可用)的部分。Phen Green FL 和 Phen Green SK 非常适合对水性样品中金属离子污染进行初始现场测试;当用手持光源照射样品时,很容易观察到这些重金属的微摩尔离子浓度产生巨大的荧光变化(图 19.7.1)。
我们传统的 Ca2+ 和 Mg2+ 指示剂与 Pb2+,CD2+ 和 Hg2+ 结合后,其荧光会受到强烈影响(图 19.7.2)。Fura-2 和 quin-2 结合 CD2+ 的亲和力极高(表 19.5—Fura-2 和 indo-1 对 Ca2+ 和 Mg2+ 以外的一些二价阳离子的响应)。Fura-2 至 CD2+的激发响应几乎与其对 Ca2+ 的响应相同,已被用于监测细胞摄取的 CD2+ ,并对细胞内游离 CD2+进行成像。
TPEN 可以逆转这种响应,它能络合多种重金属,但 Ca2+ 和 Mg2+除外。
也有报告称,重金属与 rhod-5N(R14207, 第 19.3—节可见光激发的荧光 Ca2+ 指示剂)结合;经测定 rhod-5N 的 Kd(CD2+) 为 1.4 nM。![]()
研究证明,Mag-fura-2 AM(M1292; 第 19.6 节—荧光 Mg2+ 指示剂)可用作细胞内 CD2+ 指示剂,
indo-1 AM 可用于同时测定 Ca2+ 和 Cd2+ 或 Ca2+ 和 Ba2+的细胞内浓度。
还报告了使用 Fura-2 AM(F1201, F1221, F1225, F14185; 第 19.2 节—紫外光激发的荧光 Ca2+ 荧光指示剂)测量细胞溶质 Ba2+ 的浓度,
同时使用钙黄绿素
(C481).在 pH 值 13.3 下进行 CD2+ 的荧光检测。已使用 fura-2 或 indo-1 作为细胞内指示剂监测了 PB2+ 进入细胞的情况。
离子霉素以其高选择性将 PB2+ 高效地转运到细胞中
(I24222, 第 19.8 节—螯合物,校准缓冲液,离子载体及细胞上样试剂)。19F NMR 也可用于使用氟化 BAPTA 衍生物检测血小板对 Pb2+ 的摄取情况
(第 19.8 节—螯合物,校准缓冲液,离子载体和细胞上样试剂)。
最近人们对 Ni2+ 的很多关注,主要来自其在通过金属螯合物亲和色谱法检测并分离寡核苷酸融合蛋白方面的应用。Newport Green DCF 指示剂是一种对溶液中 Ni2+ 的极灵敏探针。
100 µM Ni2+ 可将 Newport Green DCF 试剂的荧光增强约 13 倍,而不存在光谱偏移;而 Zn2+ 和 Co2+ 对该指示剂的荧光增强程度较小(图 19.7.4)。Newport Green DCF 二乙酸酯 (N7991) 已用于测量人单核细胞源性树突状细胞中 Ni2+ 的细胞摄取。
Newport Green DCF 和 Newport Green DCF 二乙酸酯也可与流式细胞分析配合使用,以检测与人体镍过敏有关的 Ni2+结合金属蛋白,这是人体接触超灵敏的最常见形式。![]()
Co2+ 可增强 Calcium Green/2 指示剂的荧光至少 20 倍,并强烈淬灭 Fura Red 指示剂的荧光(图 19.7.2)。Co2+ 和 Ni2+以及 Cu2+ 和 Fe3+(图 19.7.4),均可强烈地淬灭钙黄绿素的荧光,即使在 pH 值为 7 的条件下也是如此。
因此,应该可以遵循将这些离子摄取到负载钙黄绿素 AM (C1430, C31099, C3100MP) 的细胞中的动力学。请注意,钙黄绿素与金属按 1:1 比例结合的化学计量需要使用此探针的低上样水平,以通过有限的金属转运量实现显著淬灭。Co2+ 或 Ni2+
对钙黄绿素荧光的有效淬灭已用于检测脂质体融合
(注 14.3—体积变化,膜融合和膜可透过性测定—)。Fura-2 用于测量溶液中的低水平 Ni2+ 和 Co2+。![]()
Al3+ 结合对大多数传统的 Ca2+ 和 Mg2+ 指示剂的荧光影响较小。然而,据报道, Al3+ 选择性地在酸性 pH 值条件下与钙黄绿素 (C481) 形成荧光络合物,该络合物可以用微摩尔灵敏度检测到。
Al3+-钙黄绿素络合荧光的淬灭可用作氟化物测定方法的基础,检出限为 0.2 ng/mL。![]()
Newport Green DCF 二乙酸酯 (N7991) 还用于通过流式细胞分析和共聚焦显微镜,检测人体单核细胞来源的树突状细胞中几种金属离子(包括 Al3+ 和 TI3+)的摄取和分布。
尽管强度各不相同,但细胞内 Cr3+、Mo2+、Ni2+、Ti4+ 和 ZR4+ 也会与 Newport Green DCF 二乙酸酯产生荧光响应。
La3+ 对用于检测 Ca2+,Mg2+ 和 Zn2+ 的指示剂荧光有很强的影响(图 19.7.2)。例如,在存在 100 µM La3+的情况下,fluo-4 的荧光增强 400 倍以上,该响应约为 Ca2+ 饱和所产生的响应的两倍。用典型的基于 BAPTA 的 Ca2+ 指示剂 quin-2 检测 La3+ 的方法,已被用于研究 4-溴 A-23187 和离子霉素
(I24222; 第 19.8 节—螯合剂,校准缓冲液,离子载体和细胞上样试剂)的离子转运选择性。这些指示剂通常对 Tb3+ 的响应相对较弱; fluo-3 和 fluo-4 显然是最灵敏的(1 µm TB3+ 可使荧光增强约 40 倍)(图 19.7.2)。Tb3+(来自 TbCl3)的长寿命发光也用于探测蛋白质的 Ca2+ 结合位点。
Fluo-5N (F14203; 第 19.3 节—可见光激发的荧光 Ca2+ 指示剂)是一种低亲和力 Ca2+ 指示剂,对钆 (Gd3+) 具有亚纳摩尔级亲和力,因此可用于通过竞争滴定法测定磁共振成像 (MRI) 造影剂与 Gd3+的结合亲和力。![]()
有关列标题的详细说明,请参阅 数据表内容的定义
| 高亲和力 Zn2+ | 低亲和力 Zn2+ | |||||||||||||
|---|---|---|---|---|---|---|---|---|---|---|---|---|---|---|
| 货号 | MW | 储存 | 可溶 | 绝对值 | EC | Em | 溶剂 | 绝对值 | EC | Em | 溶剂 | 产品 | Kd | 注 |
| C481 钙黄绿素 | 622.54 | L | pH >5 | 494 | 77,000 | 517 | pH 9 | 见注释 | 见注释 | 1、2 | ||||
| C1430 钙黄绿素 AM | 994.87 | F,D | 二甲基亚砜 | <300 | 无 | C481 钙黄绿素 | ||||||||
| C3099 钙黄绿素 AM | 994.87 | F,D | 二甲基亚砜 | <300 | 无 | C481 钙黄绿素 | 3 | |||||||
| C3100MP 钙黄绿素 AM | 994.87 | F,D | 二甲基亚砜 | <300 | 无 | C481 钙黄绿素 | ||||||||
| FluoZin-1 | 599.67 | F,D,L | pH >6 | 490 | 68,000 | 见注释 | H2O | 495 | 58,000 | 517 | H2O/Zn2+ | 8.2 µM | 4, 5, 6, 7 | |
| FluoZin-1 AM | 701.59 | F,D,L | 二甲基亚砜 | 456 | 26,000 | 见注释 | MeOH | FluoZin-1 | 8 | |||||
| FluoZin-2 | 800.89 | D,L | pH >6 | 494 | 74,000 | 522 | H2O | 494 | 75,000 | 521 | H2O/Zn2+ | 2.0 µM | 4, 5, 6 | |
| F24189 FluoZin-2 AM | 876.73 | F,D,L | 二甲基亚砜 | 299 | 16,000 | 无 | MeOH | FluoZin-2 | ||||||
| F24194 FluoZin-3 | 846.96 | F,D,L | pH >6 | 491 | 82,000 | 见注释 | H2O | 494 | 88,000 | 516 | H2O/Zn2+ | 15 nM | 4, 5, 6, 7, 9 | |
| F24195 FluoZin-3 AM | 982.85 | F,D,L | 二甲基亚砜 | 455 | 26,000 | 见注释 | MeOH | F24194 FluoZin-3 | 8 | |||||
| TSQ | 328.38 | L | EtOH | 334 | 4200 | 385 | MeOH | 见注释 | 10 | |||||
| Newport Green DCF | 793.74 | D,L | pH >6 | 506 | 82,000 | 535 | H2O | 506 | 82,000 | 535 | H2O/Zn2+ | 1.0 µM | 4, 5, 6 | |
| N7991 Newport Green DCF 二乙酸盐 | 801.64 | F,D | 二甲基亚砜 | 302 | 15,000 | 无 | MeOH | Newport Green DCF | ||||||
| Newport Green PDX | 521.52 | D,L | pH >6 | 490 | 76,000 | 518 | H2O | 491 | 77,000 | 518 | H2O/Zn2+ | 30 µM | 4, 5, 6 | |
| Newport Green PDX AM | 593.59 | F,D | 二甲基亚砜 | 457 | 21,000 | 538 | MeOH | Newport Green PDX | ||||||
| P6763 Phen Green FL 二乙酸盐 | 668.68 | F,D | 二甲基亚砜 | <300 | 无 | Phen Green FL | ||||||||
| Phen Green FL | 660.79 | D,L | pH >6 | 492 | 68,000 | 517 | pH 9 | 见注释 | 11 | |||||
| P14312 Phen Green SK | 698.60 | D,L | pH >6 | 507 | 86,000 | 532 | pH 9 | 见注释 | 11 | |||||
| P14313 Phen Green SK 二乙酸盐 | 706.49 | F,D | 二甲基亚砜 | <300 | 无 | P14312 Phen Green SK | ||||||||
| RhodZin-3 | 788.94 | F,D,L | pH >6 | 549 | 80,000 | 见注释 | H2O | 552 | 82,000 | 576 | H2O/Zn2+ | 65 nM | 4, 5, 6, 7, 9 | |
| RhodZin-3 AM | 1009.86 | F,D,L | 二甲基亚砜 | 546 | 110,000 | 570 | 见注释 | RhodZin-3 | 12 | |||||
| 三氯化铽 | 373.38 | D | H2O | 270 | 4700 | 545 | H2O | 13, 14 | ||||||
| ||||||||||||||
仅供科研使用,不可用于诊断目的。







