Search Thermo Fisher Scientific
Related Tables
Get Chapter Downloads from The Molecular Probes Handbook, 11th edition
|
The thiol-reactive Alexa Fluor, BODIPY, fluorescein, Oregon Green, tetramethylrhodamine and Texas Red derivatives have strong absorptivity and high fluorescence quantum yields. This combination of attributes makes these compounds the preferred reagents for preparing protein and low molecular weight ligand conjugates to study the diffusion, structural properties and interactions of proteins and ligands using techniques such as:
In this section and in Thiol-Reactive Probes Excited with Ultraviolet Light—Section 2.3, thiol-reactive reagents with similar spectra, rather than the same reactive group, are generally discussed together. The probes described in this section have visible absorption maxima beyond 410 nm; thiol-reactive probes with peak absorption below 410 nm are described in Thiol-Reactive Probes Excited with Ultraviolet Light—Section 2.3. Thiol-reactive dyes excited with visible light—Table 2.1 summarizes this section's thiol-reactive probes excited with visible light.
Alexa Fluor dyes set new standards for fluorescent dyes and the bioconjugates prepared from them (The Alexa Fluor Dye Series—Note 1.1). Alexa Fluor dyes exhibit several unique features:
For labeling thiol groups, we offer thiol-reactive Alexa Fluor dyes that span the visible spectrum:
The Alexa Fluor maleimides are particularly useful for labeling thiol-containing proteins on the surface of live cells, where their polarity permits the sensitive detection of exposed thiols.
In proteomics applications, Alexa Fluor protein conjugates can be electrophoretically separated and then detected without additional staining.
As with their amine-reactive succinimidyl ester counterparts (Alexa Fluor Dyes Spanning the Visible and Infrared Spectrum—Section 1.3), Alexa Fluor 647 maleimide, Alexa Fluor 750 maleimide and other long-wavelength reactive dyes are frequently used to make conjugates for in vivo imaging applications.
In experiments using Alexa Fluor 488 maleimide, immunodetection of labeled proteins can be accomplished using our anti–Alexa Fluor 488 antibody (A11094, Anti-Dye and Anti-Hapten Antibodies—Section 7.4).
Figure 2.2.1 Photobleaching resistance of the green-fluorescent Alexa Fluor 488, Oregon Green 488 and fluorescein dyes, as determined by laser-scanning cytometry. EL4 cells were labeled with biotin-conjugated anti-CD44 antibody and detected by Alexa Fluor 488 (S11223, S32354), Oregon Green 488 or fluorescein (S869) streptavidin (Avidin, Streptavidin, NeutrAvidin and CaptAvidin Biotin-Binding Proteins and Affinity Matrices—Section 7.6). The cells were then fixed in 1% formaldehyde, washed and wet-mounted. After mounting, cells were scanned 10 times on a laser-scanning cytometer; laser power levels were 25 mW for the 488 nm spectral line of the argon-ion laser. Scan durations were approximately 5 minutes, and each repetition was started immediately after completion of the previous scan. Data are expressed as percentages derived from the mean fluorescence intensity (MFI) of each scan divided by the MFI of the first scan. Data contributed by Bill Telford, Experimental Transplantation and Immunology Branch, National Cancer Institute.
Figure 2.2.2 Photobleaching resistance of the red-fluorescent Alexa Fluor 647, Alexa Fluor 633, PBXL-3 and Cy5 dyes and the allophycocyanin fluorescent protein, as determined by laser-scanning cytometry. EL4 cells were labeled with biotin-conjugated anti-CD44 antibody and detected by Alexa Fluor 647 (S21374, S32357), Alexa Fluor 633 (S21375), PBXL-3, Cy5 or allophycocyanin (APC, S868) streptavidin (Avidin, Streptavidin, NeutrAvidin and CaptAvidin Biotin-Binding Proteins and Affinity Matrices—Section 7.6). The cells were then fixed in 1% formaldehyde, washed and wet-mounted. After mounting, cells were scanned eight times on a laser-scanning cytometer; laser power levels were 18 mW for the 633 nm spectral line of the He-Ne laser. Scan durations were approximately 5 minutes, and each repetition was started immediately after completion of the previous scan. Data are expressed as percentages derived from the mean fluorescence intensity (MFI) of each scan divided by the MFI of the first scan. Data contributed by Bill Telford, Experimental Transplantation and Immunology Branch, National Cancer Institute.
Like their amine-reactive BODIPY counterparts (BODIPY Dye Series—Section 1.4), BODIPY iodoacetamides, BODIPY maleimides and BODIPY methyl bromides yield thiol adducts with several important properties:
BODIPY dyes are chemically stable between about pH 3 and pH 10, although they are less stable to extremes of pH than are fluorescein and Alexa Fluor derivatives. All of the thiol-reactive BODIPY dyes are suitable for labeling cysteine residues in proteins and thiolated oligonucleotides and for detecting thiol conjugates separated by HPLC and capillary electrophoresis using ultrasensitive laser-scanning techniques.
BODIPY FL iodoacetamide has been shown to be highly selective for cysteine labeling, producing little or no nonspecific labeling even at high dye:thiol ratios; in contrast, tetramethylrhodamine iodoacetamide exhibited nonspecific labeling as dye concentrations increased.
Furthermore, actin labeling with BODIPY FL iodoacetamide (D6003) reportedly does not perturb actin polymerization.
BODIPY FL maleimide is a useful reagent for flow cytometric quantitation and confocal imaging of microparticles released upon agonist-elicited activation of human platelets.
Labeling can be carried out after activation, avoiding concerns that pre-labeling might interfere with cellular functions involved in the activation process.
Our selection of thiol-reactive BODIPY reagents includes BODIPY FL maleimide and BODIPY FL iodoacetamide (B10250, Figure 2.2.4; D6003), which exhibit spectral characteristics very similar to fluorescein, and BODIPY TMR maleimide (B30466), with spectral characteristics similar to tetramethylrhodamine.
Figure 2.2.3 Normalized fluorescence emission spectra of goat anti–mouse IgG antibody conjugates of fluorescein (FL), tetramethylrhodamine (TMR) and the Texas Red (TR) dyes, shown by dashed lines (---), as compared with goat anti–mouse IgG antibody conjugates of BODIPY FL, BODIPY TMR and BODIPY TR dyes, respectively, shown by solid lines (—).
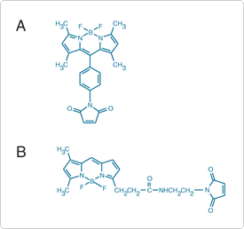
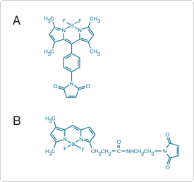
Figure 2.2.4 Comparison of the fluorophore orientation relative to the reactive moiety of two spectrally similar thiol-reactive BODIPY dyes: A) BODIPY 499/508 maleimide and B) BODIPY FL N-(2-aminoethyl)maleimide (B10250).
We have attached the BODIPY FL fluorophore to the amino groups of the disulfide-linked amino acid cystine to create a reagent for reversible, thiol-specific labeling of proteins, thiolated oligonucleotides and cells.
BODIPY FL L-cystine (B20340) is virtually nonfluorescent due to interactions between the two fluorophores; however, thiol-specific exchange to form a mixed disulfide results in significant enhancement of the green fluorescence (Figure 2.2.5).
Figure 2.2.5 Reaction of intramolecularly quenched BODIPY FL L-cystine (B20340) with a thiol, yielding two fluorescent products—a mixed disulfide labeled with the BODIPY FL dye and a BODIPY FL cysteine derivative.
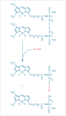
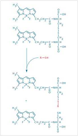
The TS-Link BODIPY reagents are water-soluble, fluorescent thiosulfates that react readily and selectively with free thiols to form disulfide bonds (Figure 2.2.6, contact Custom Services for more information). In contrast to the thioether bonds formed by maleimides and iodoacetamides, the disulfide bond formed by the TS-Link reagents is reversible; the TS-Link BODIPY fluorophore can easily be removed using a reducing agent such as dithiothreitol or tris-(2-carboxyethyl)phosphine (DTT, D1532; TCEP, T2556; Introduction to Thiol Modification and Detection—Section 2.1), leaving the molecule of interest unchanged for downstream processing. These TS-Link reagents yield the same disulfide products as methanethiosulfonates (MTS reagents), but they are much more polar and water soluble and may therefore selectively react with residues on the surface of a protein or live cell.![]()
Figure 2.2.6 Reaction of a TS-Link reagent (R1) with a thiol (R2), followed by removal of the label with a reducing agent.
The excellent water solubility of the fluorescein iodoacetamide single isomers (I30451, I30452) and fluorescein-5-maleimide (F150) at pH 7 makes it easy to prepare green-fluorescent thiol conjugates of biomolecules. Fluorescein maleimide and 5-iodoacetamidofluorescein have been the most extensively used visible wavelength–excitable, thiol-reactive dyes for modifying proteins, nucleic acids and other biomolecules. Following conjugation to thiols, fluorescein-5-maleimide (and other fluoresceins) can be radioiodinated.![]()
When compared with these iodoacetamide and maleimide derivatives, 5-(bromomethyl)fluorescein reacts more slowly with thiols of peptides, proteins and thiolated nucleic acids but forms stronger thioether bonds that are expected to remain stable under the conditions required for complete amino acid analysis. With the possible exception of our Alexa Fluor maleimides and the thiol-reactive BODIPY dyes described above, 5-(bromomethyl)fluorescein has the highest intrinsic detectability of all thiol-reactive probes, particularly for capillary electrophoresis instrumentation that uses the 488 nm spectral line of the argon-ion laser.![]()
The Oregon Green 488 dye (2',7'-difluorofluorescein, D6145; Fluorescein, Oregon Green and Rhodamine Green Dyes—Section 1.5) has absorption and emission spectra that are a perfect match to those of fluorescein. In addition to Oregon Green 488 isothiocyanate, carboxylic acid and succinimidyl ester derivatives (Fluorescein, Oregon Green and Rhodamine Green Dyes—Section 1.5), we have synthesized the single-isomer Oregon Green 488 maleimide (O6034). This thiol-reactive probe yields conjugates that have several important advantages when directly compared with fluorescein conjugates, including:
Figure 2.2.7 Comparison of photostability of green-fluorescent antibody conjugates. The following fluorescent goat anti–mouse IgG antibody conjugates were used to detect mouse anti–human IgG antibody labeling of human anti-nuclear antibodies in HEp-2 cells on prefixed test slides (INOVA Diagnostics Corp.): Oregon Green 514 (
), Alexa Fluor 488 (A11001,
), BODIPY FL (B2752,
), Oregon Green 488 (O6380,
) or fluorescein (F2761,
). Samples were continuously illuminated and viewed on a fluorescence microscope using a fluorescein longpass filter set; images were acquired every 5 seconds. For each conjugate, three data sets, representing different fields of view, were averaged and then normalized to the same initial fluorescence intensity value to facilitate comparison.
Figure 2.2.8 Comparison of pH-dependent fluorescence of the Oregon Green 488 (
), carboxyfluorescein (
) and Alexa Fluor 488 (
) fluorophores. Fluorescence intensities were measured for equal concentrations of the three dyes using excitation/emission at 490/520 nm.
Figure 2.2.9 Comparison of relative fluorescence as a function of the number of fluorophores attached per protein for goat anti–mouse IgG antibody conjugates prepared using Oregon Green 514 carboxylic acid succinimidyl ester (O6139,
), Oregon Green 488 carboxylic acid succinimidyl ester (O6147,
), fluorescein-5-EX succinimidyl ester (F6130,
) and fluorescein isothiocyanate (FITC, F143, F1906, F1907,
). Conjugate fluorescence is determined by measuring the fluorescence quantum yield of the conjugated dye relative to that of the free dye and multiplying by the number of fluorophores per protein.
As compared with the corresponding fluorescein derivative, eosin maleimide (E118) is less fluorescent but much more phosphorescent and a better photosensitizer.
With eosin's high quantum yield of 0.57 for singlet oxygen generation,
eosin conjugates can be used as effective photooxidizers of diaminobenzidine (DAB) in high-resolution electron microscopy studies
(Fluorescent Probes for Photoconversion of Diaminobenzidine Reagents—Note 14.2).
Eosin (excitation/emission maxima ~519/540 nm) derivatives efficiently absorb the fluorescence from fluorescein and other fluorophores such as the BODIPY FL, Alexa Fluor 488, Oregon Green 488, dansyl and coumarin dyes, making them good acceptors in FRET techniques
(Fluorescence Resonance Energy Transfer (FRET)—Note 1.2).
Although usually selectively reactive with thiols, eosin maleimide reportedly also reacts with a specific lysine residue of the band-3 protein in human erythrocytes, inhibiting anion exchange in these cells.
A flow cytometry assay for hereditary spherocytosis (HS), characterized by band-3 protein–deficient erythrocytes, has been developed using this selective binding by eosin maleimide;
in this assay, HS erythrocytes are identified as the population exhibiting low eosin fluorescence.
Tetramethylrhodamine iodoacetamide (TMRIA) and tetramethylrhodamine maleimide yield photostable, pH-insensitive, red-orange–fluorescent thiol conjugates.
These iodoacetamide and maleimide derivatives, however, are difficult to prepare in pure form and different batches of our mixed-isomer products have contained variable mixtures of the 5- and 6-isomers. Moreover, certain cytoskeletal proteins preferentially react with individual isomers, leading to complications in the interpretation of labeling results.
Consequently, we now prepare the 5-isomer of TMRIA (T6006) and the 5-isomer of tetramethylrhodamine maleimide (T6027). A fluorogenic ADP biosensor has been described that exploits nucleotide-modulated self-quenching of two TMRIA labels that have been site-specifically attached to Escherichia coli ParM nucleotide-binding protein.
Tetramethylrhodamine-5-maleimide is often used for voltage-clamp fluorometry,
wherein it is attached to cysteine residues in the voltage-sensor domains of ion channels, generating fluorescence signals that are responsive to structural rearrangements associated with channel gating.
In this context, the dye is sometimes referred to as TMRM, but it should not be confused with tetramethylrhodamine methyl ester (T668, Probes for Mitochondria—Section 12.2), a structurally similar but functionally quite different dye that is identified by the same acronym.
The thiol-reactive, homobifunctional crosslinker bis-((N-iodoacetyl)piperazinyl)sulfonerhodamine is derived from a relatively rigid rhodamine dye. It is similar to a thiol-reactive rhodamine-based crosslinking reagent used to label regulatory light-chains of chicken gizzard myosin for fluorescence polarization experiments.
Researchers have attached bis-((N-iodoacetyl)piperazinyl)sulfonerhodamine to the kinesin motor domain and determined the orientation of kinesin bound to microtubules in the presence of a nonhydrolyzable ATP analog by fluorescence polarization microscopy.
Images of single molecules of chicken calmodulin crosslinked between two engineered cysteines by bis-((N-iodoacetyl)piperazinyl)sulfonerhodamine have been used to generate comparisons of experimental and theoretical super-resolution point-spread functions
(PSF). Dibromobimane is a shorter-wavelength alternative for applications requiring a fluorescent homobifunctional thiol crosslinker.
We offer a maleimide derivative of our Rhodamine Red fluorophore (R6029), which is spectrally similar to Lissamine rhodamine B (Figure 2.2.10). The spectral properties of Rhodamine Red maleimide have been exploited to improve the light-harvesting efficiency of chlorophyll by site-specific labeling of cysteine residues in the recombinantly expressed apoprotein in order to fill in the "green gap" in the absorption spectrum.
Rhodamine Red C2-maleimide is a mixture of two isomeric sulfonamides.
Conjugates of the bromoacetamide and maleimide (T6008) derivatives of our Texas Red fluorophore have very little spectral overlap with fluorescein or Alexa Fluor 488 conjugates (Figure 2.2.10) and are therefore useful as second labels in multicolor applications or as energy transfer acceptors from green-fluorescent dyes.
Bromoacetamides are only slightly less reactive with thiols than are iodoacetamides. The Texas Red maleimide derivative is a mixture of the corresponding two isomeric sulfonamides.
Figure 2.2.10 Normalized fluorescence emission spectra of goat anti–mouse IgG antibody conjugates of 1) fluorescein, 2) rhodamine 6G, 3) tetramethylrhodamine, 4) Lissamine rhodamine B and 5) Texas Red dyes.
PyMPO maleimide is an environment-sensitive thiol-reactive dye with a fluorescence excitation peak near 415 nm and an unusually long Stokes shift (fluorescence emission peak at ~560–580 nm). Its most widespread application is for labeling cysteine residues in the voltage-sensor domains of ion channels, where its fluorescence is exquisitely sensitive to structural rearrangements associated with channel gating.
This technique is commonly referred to as voltage-clamp fluorometry.![]()
NBD chloride and the more reactive NBD fluoride are common reagents for amine modification (Reagents for Analysis of Low Molecular Weight Amines—Section 1.8). They also react with thiols
and cysteine in several proteins
to yield thioethers. NBD conjugates of thiols usually have much shorter-wavelength absorption and weaker fluorescence than do NBD conjugates of amines.
Selective modification of cysteines in the presence of reactive lysines and tyrosines is promoted by carrying out the reaction at pH <7;
however, NBD conjugates of thiols are often unstable, resulting in time-dependent label migration to adjacent lysine residues.![]()
Thiol conjugates of 7-fluorobenz-2-oxa-1,3-diazole-4-sulfonamide
(ABD-F) are much more stable in aqueous solution than are the thiol conjugates prepared from NBD chloride or NBD fluoride.
ABD-F is nonfluorescent until reacted with thiols and therefore can be used to quantitate thiols in solution,
as well as thiols separated by HPLC
or TLC.
ABD-F also reportedly reacts slowly with the hydroxy group of some tyrosine residues as well as α-amino groups in some proteins, forming products that are nonfluorescent but can be detected by absorbance at 385 nm.
ABD-F labeling is blocked by zinc binding to protein thiols and can therefore be used as an inverse proportionality indicator of bound Zn2+.
In contrast, the fluorescent zinc indicators described in Fluorescent Indicators for Zn2+ and Other Metal Ions—Section 19.7 primarily detect free Zn2+ ions. ABD–cysteine conjugates are very stable to acid hydrolysis, but labeling is partially reversed in basic solution containing DTT
(D1532; Introduction to Thiol Modification and Detection—Section 2.1).
When conjugating the NBD fluorophore to thiols located in hydrophobic sites of proteins, we recommend using the NBD iodoacetate ester (IANBD ester) or, preferably, the more hydrolytically stable NBD iodoacetamide (IANBD amide, D2004). These reactive reagents exhibit appreciable fluorescence only after reaction with thiols that are buried or unsolvated, and this fluorescence is highly sensitive to changes in protein conformation and assembly of molecular complexes.![]()
Lucifer yellow CH is a well-known polar tracer for neurons (Polar Tracers—Section 14.3). Its iodoacetamide derivative similarly has high water solubility and visible absorption and emission spectra similar to those of lucifer yellow CH. As with the polar Alexa Fluor maleimides (see above) and the stilbene iodoacetamide and maleimide (A484, A485; Thiol-Reactive Probes Excited with Ultraviolet Light—Section 2.3), a principal application of lucifer yellow iodoacetamide is the labeling of exposed thiols of proteins in solution, as well as in the outer membrane of live cells.
Lucifer yellow iodoacetamide has also been used as a fluorescence energy acceptor from aequorin in bioluminescence resonance energy transfer (BRET) assays.![]()
TC-FlAsH and TC-ReAsH detection technology, based on the tetracysteine tag first described by Griffin, Adams and Tsien in 1998,
takes advantage of the high-affinity interaction of a biarsenical ligand (FlAsH-EDT2 or ReAsH-EDT2) with the thiols in a tetracysteine (TC) expression tag fused to the protein of interest. The FlAsH-EDT2 ligand is essentially fluorescein that has been modified to contain two arsenic atoms at a set distance from each other, whereas the ReAsH-EDT2 ligand is a similarly modified resorufin (Figure 2.2.11). Virtually nonfluorescent in the ethanedithiol (EDT)-bound state, these reagents become highly fluorescent when bound to the tetracysteine tag Cys-Cys-Xxx-Yyy-Cys-Cys, where Xxx-Yyy is typically Pro-Gly
(Figure 2.2.12). Modified tags with additional flanking sequences produce higher-affinity binding of the biarsenical ligand, resulting in improved signal-to-background characteristics.
Selective labeling of two proteins for fluorescence microscopy colocalization and FRET analysis has been accomplished using TC tags with different binding affinities in combination with FlAsH-EDT2 and ReAsH-EDT2.
Background due to off-target endogenous thiols can be diminished by washing with competitor dithiols such as 2,3-dimercaptopropanol (BAL). Although tetracysteine tag labeling is best suited to reducing intracellular environments, protocols involving co-administration of trialkylphosphine or dithiothreitol (DTT, D1532; Introduction to Thiol Modification and Detection—Section 2.1) reducing agents have been devised for applications in oxidizing environments, including cell surfaces.
Photosensitized oxidation of diaminobenzidine (Fluorescent Probes for Photoconversion of Diaminobenzidine Reagents—Note 14.2) by ReAsH enables correlated fluorescence and electron microscopy of tetracysteine-tagged proteins.![]()
The six–amino acid tetracysteine tag is less likely to disrupt native protein structure and function than larger tags such as Green Fluorescent Protein
(GFP, 238 amino acids). Although the majority of TC-FlAsH and TC-ReAsH applications have been in mammalian cells (Figure 2.2.13), the reagents and associated methods are also particularly useful for nondisruptive labeling of viral coat proteins
and successful adaptations for labeling proteins in yeast,
bacteria,
Dictyostelium discoideum
and plants
have been described.
Figure 2.2.12 Binding of the nonfluorescent FlAsH-EDT2 ligand to a recombinantly expressed tetracysteine sequence yields a highly fluorescent complex.
Transfecting the host cell line with an expression construct comprising the protein of interest fused to a tetracysteine tag (CCPGCC) is the first step in TC-FlAsH TC-ReAsH detection. The tagged protein is then detected by the addition of FlAsH-EDT2 reagent or ReAsH-EDT2 reagent, which generates green or red fluorescence, respectively, upon binding the tetracysteine motif. For detection of tetracysteine-tagged proteins expressed in cells, we offer the TC-FlAsH II and TC-ReAsH II In-Cell Tetracysteine Tag Detection Kits (T34561, T34562), which provide:
We also offer these TC-FlAsH and TC-ReAsH detection reagents bundled with Gateway expression vectors for use in cloning the tetracysteine-tagged protein fusion. The TC-FlAsH II TC-ReAsH II In-Cell Tetracysteine Tag Detection Kit (with mammalian TC-Tag Gateway expression vectors) (T34563) provides:
Figure 2.2.13 CHO-k1 cells expressing a tetracysteine-tagged version of β-tubulin labeled with FlAsH-EDT2 reagent, provided in the TC-FlAsH II In Cell Tetracysteine Tag Detection Kit (T34561). Upon treatment with vinblastine, a compound known to perturb cytoskeletal structure, tubulin drastically rearranges from A) a reticular structure to B) rod-shaped structures.
QSY 7 C5-maleimide
(Q10257) and QSY 9 C5-maleimide (Q30457) are nonfluorescent, thiol-reactive diarylrhodamines with absorption spectra similar to those of our QSY 7 and QSY 9 succinimidyl esters (Q10193, Q20131; Long-Wavelength Rhodamines, Texas Red Dyes and QSY Quenchers—Section 1.6; Figure 2.2.14), respectively. Although the QSY 7 and QSY 9 chromophores are spectrally similar, QSY 9 dye exhibits enhanced water solubility. QSY 35 iodoacetamide is a nonfluorescent thiol-reactive analog of the amine-reactive nitrobenzoxadiazole (NBD) dye.
The principal applications of these thiol-reactive QSY derivatives are as nonfluorescent acceptor dyes in fluorescence resonance energy transfer (FRET) assays
(Fluorescence Resonance Energy Transfer (FRET)—Note 1.2). The use of nonfluorescent acceptor dyes avoids the background fluorescence that often results from direct (i.e., nonsensitized) excitation of fluorescent acceptor dyes. The broad and strong absorption of QSY 7 and QSY 9 dyes (absorption maximum ~560 nm, EC ~90,000 cm-1M-1) yields extraordinarily efficient quenching of donors that have blue, green, orange or red fluorescence. QSY 35 derivatives absorb light maximally near 470 nm (Figure 2.2.14), making their conjugates excellent FRET acceptors from UV light–excited donor dyes.
Figure 2.2.14 Normalized absorption spectra of the QSY 35 (blue), QSY 7 (red) and QSY 21 (orange) dyes. The QSY 7 and QSY 9 dyes have essentially identical spectra.
DABMI is the thiol-reactive analog of dabcyl succinimidyl ester (D2245, Reagents for Analysis of Low Molecular Weight Amines—Section 1.8) and has similar properties and applications. Its principal application is as a nonfluorescent acceptor dye in fluorescence resonance energy transfer (FRET) assays
(Fluorescence Resonance Energy Transfer (FRET)—Note 1.2). The donor dyes in these assays typically include IAEDANS (I14) and other dyes described in Thiol-Reactive Probes Excited with Ultraviolet Light—Section 2.3. DABMI is also a useful derivatization reagent for MALDI-MS fragmentation analysis of cysteine-containing peptides.![]()
For a detailed explanation of column headings, see Definitions of Data Table Contents
| Cat # | MW | Storage | Soluble | Abs | EC | Em | Solvent | Notes |
|---|---|---|---|---|---|---|---|---|
| A10254 Alexa Fluor 488 C5-maleimide | 720.66 | F,DD,L | H2O, DMSO | 493 | 72,000 | 516 | pH 7 | 1, 2, 3 |
| A10255 Alexa Fluor 532 C5-maleimide | 812.88 | F,DD,L | H2O, DMSO | 528 | 78,000 | 552 | MeOH | 1 |
| A10256 Alexa Fluor 594 C5-maleimide | 908.97 | F,DD,L | H2O, DMSO | 588 | 96,000 | 612 | pH 7 | 1, 4 |
| A10258 Alexa Fluor 546 C5-maleimide | 1034.37 | F,DD,L | H2O, DMSO | 554 | 93,000 | 570 | pH 7 | 1 |
| A20341 Alexa Fluor 568 C5-maleimide | 880.92 | F,DD,L | H2O, DMSO | 575 | 92,000 | 600 | pH 7 | 1, 5 |
| A20342 Alexa Fluor 633 C5-maleimide | ~1300 | F,DD,L | H2O, DMSO | 622 | 143,000 | 640 | MeOH | 1 |
| A20343 Alexa Fluor 660 C2-maleimide | ~900 | F,DD,L | H2O, DMSO | 668 | 112,000 | 697 | MeOH | 1, 6 |
| A20344 Alexa Fluor 680 C2-maleimide | ~1000 | F,DD,L | H2O, DMSO | 684 | 175,000 | 714 | MeOH | 1, 7 |
| A20346 Alexa Fluor 555 C2-maleimide | ~1250 | F,DD,L | H2O, DMSO | 556 | 158,000 | 572 | MeOH | 1 |
| A20347 Alexa Fluor 647 C2-maleimide | ~1300 | F,DD,L | H2O, DMSO | 651 | 265,000 | 671 | MeOH | 1, 8 |
| A30459 Alexa Fluor 750 C5-maleimide | ~1350 | F,DD,L | H2O, DMSO | 753 | 290,000 | 783 | MeOH | 1, 24 |
| 5-(bromomethyl)fluorescein | 425.23 | F,D,L | pH >6, DMF | 492 | 81,000 | 515 | pH 9 | 9 |
| BODIPY 493/503 methyl bromide | 341.00 | F,D,L | DMSO, MeCN | 533 | 62,000 | 561 | CHCl3 | 10, 11 |
| B10250 BODIPY FL N-(2-aminoethyl)maleimide | 414.22 | F,D,L | DMSO, MeCN | 504 | 79,000 | 510 | MeOH | 11 |
| bis-((N-iodoacetyl)piperazinyl)sulfonerhodamine | 840.47 | F,D,L | DMSO | 549 | 88,000 | 575 | MeOH | 12 |
| B20340 BODIPY FL L-cystine | 788.44 | F,D,L | DMSO | 504 | 132,000 | 511 | MeOH | 13 |
| BODIPY 630/650 methyl bromide | 449.14 | F,D,L | DMSO, MeCN | 658 | 73,000 | 678 | CHCl3 | 14 |
| B30466 BODIPY TMR C5-maleimide | 562.42 | F,DD,L | DMSO, MeCN | 544 | 60,000 | 570 | MeOH | 11 |
| NBD chloride | 199.55 | F,D,L | DMF, MeCN | 336 | 9800 | none | MeOH | 15, 16 |
| DABMI | 320.35 | F,D,L | DMF, MeCN | 419 | 34,000 | none | MeOH | 17 |
| D2004 IANBD amide | 419.18 | F,D,L | DMF, DMSO | 478 | 25,000 | 541 | MeOH | 12, 17 |
| D6003 BODIPY FL C1-IA | 417.00 | F,D,L | DMSO, MeCN | 502 | 76,000 | 510 | MeOH | 11, 12 |
| BODIPY 507/545 IA | 431.03 | F,D,L | DMSO, MeCN | 508 | 69,000 | 543 | MeOH | 11, 12 |
| BODIPY 499/508 maleimide | 419.24 | F,D,L | DMSO | 499 | 88,000 | 508 | MeOH | 18 |
| BODIPY 577/618 maleimide | 575.38 | F,D,L | DMSO | 577 | 60,000 | 618 | MeOH | 18 |
| E118 eosin-5-maleimide | 742.95 | F,D,L | pH >6, DMF | 524 | 103,000 | 545 | MeOH | 1, 19 |
| F150 fluorescein-5-maleimide | 427.37 | F,D,L | pH >6, DMF | 492 | 83,000 | 515 | pH 9 | 1, 9, 20 |
| NBD fluoride | 183.10 | F,D,L | MeCN, CHCl3 | 328 | 8000 | none | MeOH | 15 |
| ABD-F | 217.17 | F,D,L | DMF, DMSO | 320 | 4800 | none | MeOH | 21 |
| IANBD ester | 406.14 | F,D,L | DMF, MeCN | 472 | 23,000 | 536 | MeOH | 12, 17 |
| I30451 5-IAF | 515.26 | F,D,L | pH >6, DMF | 492 | 78,000 | 515 | pH 9 | 1, 9, 12 |
| I30452 6-IAF | 515.26 | F,D,L | pH >6, DMF | 491 | 82,000 | 516 | pH 9 | 1, 9, 12 |
| lucifer yellow iodoacetamide | 659.51 | F,D,L | H2O | 426 | 11,000 | 531 | pH 7 | 12 |
| PyMPO maleimide | 471.48 | F,D,L | DMSO | 412 | 23,000 | 561 | MeOH | 22 |
| Oregon Green 488 iodoacetamide | 551.24 | F,D,L | pH >6, DMF | 491 | 68,000 | 516 | pH 9 | 1, 12, 23 |
| O6034 Oregon Green 488 maleimide | 463.35 | F,D,L | pH >6, DMF | 491 | 81,000 | 515 | pH 9 | 1, 23 |
| Q10257 QSY 7 C5-maleimide | 858.45 | F,D,L | DMSO | 560 | 92,000 | none | MeOH | |
| QSY 35 iodoacetamide | 453.20 | F,D,L | DMSO | 475 | 24,000 | none | MeOH | 12 |
| Q30457 QSY 9 C5-maleimide | 1083.30 | F,D,L | H2O, DMSO | 562 | 90,000 | none | MeOH | 1 |
| R6029 Rhodamine Red C2-maleimide | 680.79 | F,D,L | DMSO | 560 | 119,000 | 580 | MeOH | |
| T6006 5-TMRIA | 825.22 | F,D,L | DMSO | 543 | 87,000 | 567 | MeOH | 12 |
| T6008Texas Red C2-maleimide | 728.83 | F,D,L | DMSO | 582 | 112,000 | 600 | MeOH | |
| Texas Red C5 bromoacetamide | 811.80 | F,D,L | DMSO | 583 | 115,000 | 603 | MeOH | |
| T6027 tetramethylrhodamine-5-maleimide | 481.51 | F,D,L | DMSO | 541 | 95,000 | 567 | MeOH | |
| tetramethylrhodamine-6-maleimide | 481.51 | F,D,L | DMSO | 541 | 91,000 | 567 | MeOH | |
| TS-Link BODIPY FL C2-thiosulfate | 510.31 | F,D,L | DMSO | 503 | 80,000 | 510 | MeOH | |
| TS-Link BODIPY TMR C5-thiosulfate | 658.52 | F,D,L | DMSO | 544 | 58,000 | 570 | MeOH | |
| TS-Link BODIPY TR C5-thiosulfate | 684.53 | F,D,L | DMSO | 589 | 63,000 | 617 | MeOH | |
| TS-Link BODIPY 630/650 C5-thiosulfate | 710.57 | F,D,L | DMSO | 625 | 93,000 | 640 | MeOH | |
| T34561 TC-FlAsH II In -Cell Tetracysteine Tag | 664.49 | FF,D,L,AA | DMSO | 508 | 70,000 | 530 | pH 7.2 | 25, 26 |
| T34562 TC-ReAsH II In -Cell Tetracysteine Tag | 545.37 | FF,D,AA | DMSO | 596 | 69,000 | 608 | pH 7.2 | 25, 27 |
| ||||||||
仅供科研使用,不可用于诊断目的。












