Search
Search
When detecting specific biomolecules in cells, in tissues and on microarrays, enzyme-mediated detection methods can provide significant signal amplification due to catalytic turnover of fluorogenic, chemiluminescent or chromogenic substrates. Because fluorescence and chemiluminescence methods are potentially much more sensitive than colorimetric methods, we have been actively engaged in research to develop substrates for phosphatase-mediated detection and offer two complementary technologies—Enzyme-Labeled Fluorescence (ELF) signal amplification and CSPD and CDP-Star chemiluminescent substrates.
ELF signal amplification is based on ELF 97 phosphate, a substrate for both alkaline phosphatase and acid phosphatase.
Upon enzymatic cleavage (Figure 6.3.1), this weakly blue-fluorescent substrate yields a bright yellow-green–fluorescent precipitate that exhibits an unusually large Stokes shift (Figure 6.3.2) and excellent photostability (Figure 6.3.3). Water-soluble ELF 97 phosphate (E6588, E6589) is converted to insoluble ELF 97 alcohol (E6578), by action of a phosphatase (Figure 6.3.1). Like other crystalline fluorescent molecules containing an intramolecular hydrogen bond, the ELF 97 alcohol precipitate provides a fluorescent signal that is not only extremely photostable but also has an exceptionally large Stokes shift.
The ELF 97 signal is more photostable than signals achieved using either direct or indirect detection with fluorescein conjugates
(Figure 6.3.3). As a result of its extremely high photostability, the ELF 97 alcohol precipitate is well suited for immunolabeling targets that will be viewed using a confocal laser-scanning microscope with UV light excitation
(Figure 6.3.4).
Furthermore, because the fluorescence emission of the ELF 97 alcohol precipitate is separated from its excitation maximum by over 180 nm (Figure 6.3.2), the ELF 97 signal can be clearly distinguished from most cell and tissue autofluorescence, which generally has a Stokes shift of much less than 100 nm.
This extremely high Stokes shift also makes the ELF 97 phosphatase substrate ideal for use in multicolor applications (
,
,
). The yellow-green–fluorescent ELF 97 signal can be visualized simultaneously with blue-fluorescent probes, such as Alexa Fluor 350 and Alexa Fluor 405 conjugates (Coumarins, Pyrenes and Other Ultraviolet Light-Excitable Fluorophores—Section 1.7), or with the DAPI and Hoechst nuclear counterstains (Probes for the Nucleus—Section 12.5) using a fluorescence microscope fitted with a standard DAPI/Hoechst longpass optical filter set.
In addition, the excitation spectra of tetramethylrhodamine, Texas Red and Alexa Fluor dyes with absorption maxima beyond 530 nm are very well separated from that of the ELF 97 alcohol precipitate, allowing sequential visualization with the appropriate optical filter sets without bleed-through.
Also, ELF 97 alcohol signals can be distinguished from fluorescein, Oregon Green 488 and Alexa Fluor 488 dye signals because their excitation wavelengths do not significantly overlap.

Figure 6.3.1 Principle of enzyme-mediated formation of the fluorescent ELF 97 alcohol precipitate from the ELF 97 phosphatase substrate.
![]() | Figure 6.3.2 The normalized fluorescence excitation and emission spectra of the ELF 97 alcohol precipitate (E6578), which is generated by enzymatic cleavage of the soluble ELF 97 phosphatase substrate (E6588, E6589). |
![]() | Figure 6.3.3 Photostability comparison for ELF 97 alcohol– and fluorescein-labeled tubulin preparations. Tubulin in acetone-fixed CRE BAG 2 mouse fibroblasts was labeled with an anti–β-tubulin monoclonal antibody and then detected using biotin-XX goat anti–mouse IgG antibody (B2763) in conjunction with either our ELF 97 Cytological Labeling Kit (E6603, |
![]() |
|
Figure 6.3.4 The ELF 97 Cytological Labeling Kit (E6603) was used to label endogenous alkaline phosphatase activity of zebrafish kidney. The ELF 97 fluorescence intensity was measured from each of 1000 consecutive scans on a confocal laser-scanning microscope (Bio-Rad MRC 1024) with UV illumination (UV/Vis Coherent Innova Enterprise Model 622 argon-ion laser, 60 mW output) using the 363 nm spectral line at 100% power with a 40× objective. Fluorescence intensity, expressed as a percentage of initial value, is plotted against scan number. In this example, 970 scans were required to reduce the signal by 50%. This figure was contributed by J. Paul Robinson and Jennie Sturgis, Purdue University.
Histochemical applications often require reliable, sensitive and stable detection of targets in complex samples that may have significant background from either natural sample autofluorescence or fluorescence created during sample preparation. Many histochemical procedures utilize enzyme-amplified detection methods in conjunction with chromophoric substrates such as 5-bromo-4-chloro-3-indolyl phosphate (BCIP), nitro blue tetrazolium (NBT) for phosphatase (N6495, N6547; see below) or diaminobenzidine (DAB; D22185, D22187; TSA and Other Peroxidase-Based Signal Amplification Techniques—Section 6.2) for peroxidase to yield colored precipitates at the site of labeling. The ELF technology yields staining that can be equal to or superior to NBT/BCIP staining and that forms an exceptionally persistent product. We have observed that ELF 97 phosphate–based staining of fixed samples can persist for months to years with little if any loss of signal. ELF 97 staining can also be combined with staining by other fluorophores to permit simultaneous analysis of multiple targets in the sample. Combination of the ELF technology with TSA technology (TSA and Other Peroxidase-Based Signal Amplification Techniques—Section 6.2) provides exceptional detection limits for low-abundance targets in cells and tissues that are not possible with existing histochemical methods.![]()
A general scheme for the secondary detection methods used to develop the ELF 97 signal for in situ hybridization, cytological labeling, immunohistochemistry and microarrays
is shown in Figure 6.3.5. Please note that the components of these ELF 97 Kits are not interchangeable. Through the course of our product development, we have discovered that to achieve optimal sensitivity in each type of biological application requires substrate formulations, buffers and protocols that are tailored to the application. For this reason, we strongly recommend that each kit be used only for the applications for which it was developed. However, we also offer the ELF 97 phosphate (E6588, E6589) as well as the ELF 97 alcohol cleavage product (E6578) separately, for those researchers who want to develop their own applications. We have found that addition of 1–5 µM ELF 97 alcohol (E6578) to the enzyme detection medium usually improves the quality of precipitation by reducing the crystal size. Addition of other components to the buffers may also be required to maximize the signal intensity and localize the signal to the target.
Figure 6.3.5 Schematic diagram of the method employed in our ELF 97 mRNA In Situ Hybridization (E6604, E6605), Cytological Labeling (E6603) and Immunohistochemistry (E6600) Kits. Samples are probed with haptenylated or biotinylated target-specific probes such as antibodies or hybridization probes. Next, alkaline phosphatase conjugates of streptavidin or the hapten-specific probe are applied. Alternatively, a biotinylated antibody and biotinylated alkaline phosphatase can be used with standard bridging methods to increase the penetration in tissue, a method that is employed in our ELF 97 Immunohistochemistry Kit. The sample is then incubated with the ELF 97 phosphatase substrate, which forms an intense yellow-green–fluorescent ELF 97 alcohol precipitate at the site of alkaline phosphatase activity.
The optimized reagents and protocols in our ELF 97 mRNA In Situ Hybridization Kits (Kit #1, E6604; Kit #2 with streptavidin, alkaline phosphatase conjugate, E6605) provide a rapid and sensitive assay for detecting mRNA in situ hybridization signals in cells and tissue sections
(
,
).
The ELF 97 mRNA In Situ Hybridization Kits include:
The ELF 97 mRNA In Situ Hybridization Kit #2 (E6605), which contains alkaline phosphatase streptavidin, can be used to detect biotinylated DNA probes, biotinylated RNA probes or digoxigenin-labeled probes in conjunction with a biotinylated anti-digoxigenin antibody.
The ELF 97 mRNA In Situ Hybridization Kit #1 (E6604), which does not include alkaline phosphatase streptavidin, is designed for use with other alkaline phosphatase conjugates that have been applied to detect DNA or RNA probes labeled with haptens other than biotin. Each kit contains sufficient reagents for 50 slides or coverslips.
The ELF 97 Cytological Labeling Kit (E6603) facilitates the detection of a broad range of cellular targets, including cell-surface sites, cytoplasmic organelles, nuclear antigens and cytoskeletal networks
(
). This versatile kit can potentially be used to detect any subcellular structure that can be selectively labeled with a biotinylated or haptenylated ligand (Figure 6.3.6).
The ELF 97 Cytological Labeling Kit includes:
Each kit provides sufficient reagents for 50 slides or coverslips.
The extremely high Stokes shift for the ELF 97 alcohol precipitate—greater than 180 nm—is an important advantage for immunohistochemistry applications. Although the ELF 97 dye is excited in the ultraviolet range where autofluorescence from cells, tissues, paraffin sections and various fixatives can be quite high,
the high intensity of ELF 97 staining overcomes most of this background. Because the ELF 97 alcohol precipitate is extremely photostable, the background can be further reduced by pre-bleaching the entire sample with ultraviolet light before measuring the specific fluorescence of the ELF 97 alcohol precipitate.![]()
The ELF 97 phosphatase substrate in our ELF 97 Immunohistochemistry Kit has been specially formulated to reduce nonspecific staining in immunohistochemical preparations and contains the key reagents for detecting antigens in tissue sections, including streptavidin and biotinylated alkaline phosphatase. The streptavidin provided in the kit is used to link the biotinylated alkaline phosphatase with a biotinylated secondary antibody—a common immunohistochemical technique for optimizing tissue penetration. We have used the ELF 97 Immunohistochemistry Kit to characterize a number of antibodies generated against the zebrafish retina (
,
) and found that the ELF 97 alcohol staining pattern was identical to that seen with fluorophore-conjugated secondary reagents.
The ELF 97 signal could easily be visualized despite this tissue's considerable autofluorescence. Moreover, the staining was approximately 500 times more photostable than that produced by fluorescein-labeled secondary reagents.
ELF 97 phosphate has been used to measure endogenous phosphatase activity and, in combination with alkaline phosphatase–conjugated immunoreagents, to detect intracellular cell cycle–associated proteins such as cyclin B1 by flow cytometry.![]()
The ELF 97 Immunohistochemistry Kit (E6600) provides sufficient reagents for preparing 50 mL of detection solution, which is adequate for staining 250 to 1000 sections. The ELF 97 Immunohistochemistry Kit includes:
Mammalian cells and tissues contain biotin-dependent carboxylases, which are required for a variety of metabolic functions. These biotin-containing enzymes produce substantial background signals when biotin–streptavidin detection systems are used to identify cellular targets
(
,
). Because the ELF technology is so sensitive, we recommend preblocking endogenous biotin in cells with our Endogenous Biotin-Blocking Kit (E21390, Avidin, Streptavidin, NeutrAvidin and CaptAvidin Biotin-Binding Proteins and Affinity Matrices—Section 7.6) when staining cells using our ELF 97 Kits containing streptavidin conjugates.
We have used the ELF 97 phosphatase substrate to develop a novel fluorescence-based assay for detecting phosphatases in tissue sections and cells
(
,
,
). The ELF 97 Endogenous Phosphatase Detection Kit (E6601) provides several advantages over traditional approaches to phosphatase histochemistry.![]()
The ELF 97 endogenous phosphatase detection system uses a simple protocol and is compatible with many types of tissue preparations, including tissue cryosections, paraffin-embedded sections and cultured cells. The fluorescence excitation and emission maxima (~365/530 nm) of the ELF 97 alcohol precipitate are well separated, allowing researchers to easily distinguish the signal from autofluorescence and from other fluorescent labels.
Phosphatases have been commonly used as enzyme markers, allowing researchers to identify primordial germ cells,
to distinguish subpopulations of bone marrow stromal cells
and to investigate in vitro differentiation in carcinoma cell lines.
A particularly prominent application of the ELF 97 endogenous phosphatase detection system is the detection of TRAP (tartrate-resistant acid phosphatase) activity, a marker of osteoclast differentiation from hematopoietic stem cells
(HSC). Because ELF 97 phosphate is intrinsically membrane impermeant, it can be utilized as a marker for membrane integrity in which the intracellular phosphatase activity of membrane-compromised cells is detected.
The patterns of ELF 97 alcohol staining in intestine (
), kidney (
), ovary and gills (
) are essentially identical to the patterns of black precipitate produced by the conventional Gomori technique, but show much higher spatial resolution. The ELF 97 Endogenous Phosphatase Detection Kit has also been used to monitor and quantitate alkaline phosphatase activity in marine phytoplankton
and bacteria.![]()
Each ELF 97 Endogenous Phosphatase Detection Kit (E6601) provides:
Sufficient materials are provided for staining 50–250 tissue sections.
Like many enzyme substrates, the ELF 97 developing solution should be filtered before use for optimal staining. The ELF spin filters (E6606)—spin-filtration devices with a pore size of 0.2 µm—are both convenient and efficient, permitting a very small volume to be filtered without significant loss. These spin filters are recommended for use with all of our ELF 97 Kits. These filters are equally suitable for rapid filtration of aqueous solutions of other probes.
For use in signal amplification of antibody- or biotin-labeled targets, we offer the alkaline phosphatase conjugates of:
A more thorough discussion of our secondary antibodies can be found in Secondary Immunoreagents—Section 7.2 (Summary of Molecular Probes secondary antibody conjugate—Table 7.1). We also offer the Zenon Alkaline Phosphatase Rabbit IgG Labeling Kit (Z25350) for creating alkaline phosphatase conjugates of primary rabbit IgG antibodies. Our Zenon antibody labeling technology (Zenon Technology: Versatile Reagents for Immunolabeling—Section 7.3, Zenon Antibody Labeling Kits—Table 7.7) permits the rapid and quantitative formation of dye and enzyme complexes with the Fc portion of an intact antibody. The alkaline phosphatase–antibody complexes formed with our Zenon Alkaline Phosphatase Antibody Labeling Kit can be used in combination with the ELF 97 Kits described above or with other applications for alkaline phosphatase–conjugated antibodies such as ELISAs.
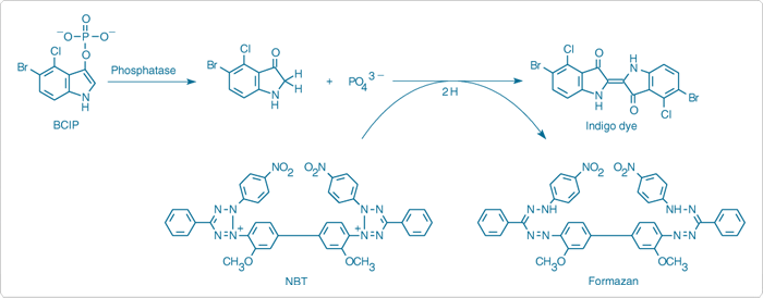
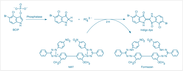
5-Bromo-4-chloro-3-indolyl phosphate (BCIP) is commonly used with a number of different chromogens in various histological and molecular biology techniques. Hydrolysis of this indolyl phosphate, followed by oxidation, produces a blue-colored precipitate at the site of enzymatic activity. For convenience, we offer the NBT/BCIP Reagent Kit (N6547), which provides 1 g samples of BCIP as well as its co-precipitant NBT.
Nitro blue tetrazolium (NBT, N6495) is the most commonly used electron-transfer agent and co-precipitant for the BCIP reaction, forming a dark blue, precisely localized precipitate in the presence of alkaline phosphatase
(Figure 6.3.7,
).
The Chemiluminescent Alkaline Phosphatase ELISA Kits employ CSPD or CDP-Star 1,2-dioxetane substrates for alkaline phosphatase with Sapphire-II or Emerald‑II enhancer in a system designed for rapid and ultrasensitive analyte detection in enzyme-linked immunoassays.
Maximum light emission from alkaline phosphatase–activated CSPD or CDP-Star substrate is reached in 5 to 60 minutes, depending on the temperature and the substrate chosen. Enzymatic dephosphorylation of substrate occurs at a constant rate proportional to enzyme concentration; the resulting phenolate anion decomposes with a finite half-life (Figure 6.3.8). Light emission can be quantitated with a variety of luminometers without the need for solution injection.
Enzyme-linked immunosorbent assays (ELISAs) can be formatted in several configurations on a variety of solid supports including microplate wells, tubes, polystyrene beads or ferrite particles. The high sensitivity obtained with 1,2-dioxetane substrates is demonstrated in a sandwich immunoassay format that employs a biotinylated detector antibody and streptavidin alkaline phosphatase conjugate for quantitating recombinant human IL-6 (rhIL-6). The results obtained with CSPD substrate/Sapphire-II enhancer (Figure 6.3.9) show a significant improvement in signal-to-noise performance at all concentrations of rhIL-6 and a much wider assay dynamic range compared to those obtained with the fluorescent substrate 4-methylumbelliferyl phosphate (MUP, M6491; Detecting Enzymes That Metabolize Phosphates and Polyphosphates—Section 10.3), and the colorimetric substrate p-nitrophenyl phosphate
(pNPP).
We offer four different Chemiluminescent Alkaline Phosphatase ELISA Kits, as well as a Chemiluminescent Alkaline Phosphatase ELISA Sampler Kit. Each kit provides concentrated assay buffer and blocking reagent, as well as one of the following substrate/enhancer solutions:
The Chemiluminescent Alkaline Phosphatase ELISA Sampler Kit (C10556) provides assay buffer, blocking reagent and sample sizes of all four substrate/enhancer solutions. All five kits provide sufficient reagents for 1000 assays based on the provided protocol.Figure 6.3.8 Mechanism of phosphatase-dependent chemiluminescence generation by CDP-Star substrate. Luminescence emission is shifted to 461 nm or 542 nm respectively by the Sapphire-II or Emerald-II enhancers.
Figure 6.3.9 Comparison of detection sensitivities for the ELISA quantitation of recombinant human IL-6 (rhIL-6) using the chemiluminescent phosphatase substrate/enhancer in the Chemiluminescent Alkaline Phosphatase ELISA Kit #1 (CSPD substrate/Sapphire-II enhancer, C10552), the fluorescent phosphatase substrate 4-methylumbelliferyl phosphate (MUP, M6491) and the colorimetric phosphatase substrate p-nitrophenyl phosphate (pNPP).
| Cat # | MW | Storage | Soluble | Abs | EC | Em | Solvent | Notes |
|---|---|---|---|---|---|---|---|---|
| E6578 | 307.14 | L | DMSO | 345 | ND | 530 | pH 8 | 1, 2, 3 |
| E6588 | 431.08 | F,L | H2O | 289 | 12,000 | see Notes | pH 10 | 2, 4, 5 |
| E6589 | 431.08 | F,L | H2O | 289 | 12,000 | see Notes | pH 10 | 2, 4, 5 |
| N6495 | 817.65 | D,L | H2O, DMSO | 256 | 64,000 | see Notes | MeOH | 6 |
| ||||||||
仅供科研使用,不可用于诊断目的。








