Hamburger Menu Button
Thermo Fisher Scientific Logo
登录
没有账号?建立账号 注册
  • 产品
    • 抗体
    • 引物合成
    • GeneArt Gene Synthesis Instant Designer
    • TaqMan Assay and Array Search
    • PCR 设备和耗材
    • 色谱柱和纯化柱
    • 实验室离心机
    • 分子生物学试剂和试剂盒
    • 实验室塑料耗材及用品
    • 查看所有产品分类
  • 应用和技术
    • 色谱
    • 细胞转染和培养
    • 实时荧光定量PCR
    • 质谱
    • 实验室塑料耗材及用品
    • 电子显微镜
    • 蛋白质生物学
    • PCR
    • RNAi
    • 环境
    • 查看所有应用和技术
  • 服务
    • 定制服务
    • 企业级实验室信息化服务
    • 金融&租赁服务
    • 仪器服务
    • OEM和商业供应
    • 培训服务
    • 360° CDMO 和 CRO 服务
    • CDMO 服务
    • 临床试验 CRO 服务
    • Unity Lab Services
    • 查看所有帮助和支持
  • 帮助和支持
    • 学习中心
    • 联系我们
    • 更改国家或地区
    • 查看所有帮助和支持
  • 热门产品
    • TaqMan Real-Time PCR Assays
      TaqMan 实时荧光定量 PCR 试剂盒
    • Antibodies
      抗体
    • Oligos, Primers & Probes
      寡核苷酸、引物、探针
    • GeneArt Gene Synthesis
      GeneArt 基因合成
    • Cell Culture Plastics
      细胞培养耗材
  • Who We Serve
    • 抗体治疗解决方案
    • 细胞与基因治疗解决方案
    • 学术科研
    • 工业与应用
  • 联系我们
  • 货号直购
  • 订单查询
  • 查找文件&证书
Thermo Fisher Scientific Logo

Search

搜索全部或下列指定分类
Search button
          • 联系我们
          • 货号直购
          • 登录
            登录
            没有账号?建立账号 注册
            • 我的账号
            • 订单
            • 会员中心
            • 账单及发票查询
            • 定制产品及项目
          • ELISA Kits ›
          • c-Jun ELISA Kits
          The product (cat # {{productObj.productId}}) that you're looking for has been discontinued and replaced with {{productObj.replacementProductId}}. The product (cat # {{productObj.productId}}) that you're looking for has been discontinued. Please contact Technical Support with any questions.

          Invitrogen

          Multispecies c-Jun (Total/Phospho) InstantOne™ ELISA Kit

          {{$productOrderCtrl.translations['antibody.pdp.commerceCard.promotion.promotions']}}

          {{$productOrderCtrl.translations['antibody.pdp.commerceCard.promotion.viewpromo']}}

          {{$productOrderCtrl.translations['antibody.pdp.commerceCard.promotion.promocode']}}: {{promo.promoCode}} {{promo.promoTitle}} {{promo.promoDescription}}. {{$productOrderCtrl.translations['antibody.pdp.commerceCard.promotion.learnmore']}}

          技术指南和实验方案 技术支持
          技术指南和实验方案 技术支持
          技术指南和实验方案 技术支持
          技术指南和实验方案 技术支持
          Additional Information:
          {{banner.description}}
          {{$ctrl.isSkuNotesCollapsed ? 'View more' : 'View less'}}
          Multispecies c-Jun (Total/Phospho) InstantOne™ ELISA Kit
          Group 53 Created with Sketch.
          Multispecies c-Jun (Total/Phospho) InstantOne™ ELISA Kit
          Group 53 Created with Sketch.

          图: 1 / 3

          {{ $ctrl.currentElement.advancedVerification.fullName }}
          {{ $ctrl.currentElement.advancedVerification.text }}

          Multispecies c-Jun (Total/Phospho) InstantOne™ ELISA Kit

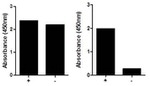
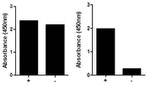
          Representative data for c-Jun (Total/Phospho) Multispecies InstantOne™ ELISA. NIH-3T3 cells were either untreated (-) or treated with anisomycin (500 ng/mL for 30 min) (+). Cell lysates were prepared as described in the InstantOne ELISA User Manual. Using the c-Jun (Total/Phospho) InstantOne ELISA, the cell lysates were analyzed for levels of Total c-Jun (left) and phospho-c-Jun (Ser73) (right). {{ $ctrl.currentElement.advancedVerification.fullName }} 验证信息 View more
          已发表图片由___提供 benchsci-logo
          PMID: {{$ctrl.currentElement.benchSciPubmedId}}
          查看产品

          {{$ctrl.videoDesc}}

          {{$ctrl.videoLongDesc}}

          Multispecies c-Jun (Total/Phospho) InstantOne™ ELISA Kit
          Multispecies c-Jun (Total/Phospho) InstantOne™ ELISA Kit (85-86163-11)
          videoThumbnail
          ►

          产品规格

          检测样本类型/体积

          {Cell Lysate=20 µL}

          手工操作时间

          1 hr 20 min

          总时间

          1 hr 10 min

          均相(无需洗涤)

          No

          检测仪器

          Absorbance Microplate Reader

          产品规格

          96 Tests

          产品成分

          Capture Antibody
          Detection Antibody Reagent
          InstantOne™ Assay Plate
          Cell Lysis Buffer
          Enhancer Solution
          Wash Buffer (10X)
          Substrate Reagent (TMB)
          Stop Solution
          Positive Control Cell Lysate (lyophilized)
          Plate seal

          运输条件

          Wet ice

          储存

          2-8°C

          蛋白名称

          c-Jun

          Target site-specificity

          Target sub-specificity

          Total

          检测试剂盒格式

          InstantOne ELISA

          检测抗体结合物

          Biotin

          标签或染料

          HRP

          关于本试剂盒

          The InstantOne™ ELISA is specifically engineered for accurate measurement of total and phosphorylated human and mouse c-Jun (Ser73) in cell lysates. Detection of rat c-Jun is also expected. The InstantOne™ ELISA kit allows for fast analysis of samples in approximately one hour. All reagents used in a traditional sandwich ELISA are added in solution to a plate followed by a wash step and detection with the TMB colorimetric substrate.

          靶标信息

          c-Jun is a transcription factor that recognizes and binds to the enhancer heptamer motif 5'-TGA[CG]TCA-3'. It promotes activity of NR5A1 when phosphorylated by HIPK3 leading to increased steroidogenic gene expression upon cAMP signaling pathway stimulation. Involved in activated KRAS-mediated transcriptional activation of USP28 in colorectal cancer (CRC) cells.

          仅用于科研。不用于诊断过程。未经明确授权不得转售。

          篇参考文献 (0)

          您是否在文献中引用过该产品?请点击下方按钮邮件告知我们。
          引用该产品

          Recommended Products

          IL-6 Human Matched Antibody Pair

          Because you are interested in IL-6 Human ELISA Kit.

          SIZE

          10 x 96 tests

          PRICE

          USD 400.00

          Cat # CHC1263

          guarantee_icon

          性能保障

          当您发现Invitrogen免疫试剂箱在实验中的表现与网站或说明书的所说内容不符,您有权申请免费退换货服务。

          了解更多
          help_icon

          随时为您服务

          获取常见问题的专家解答,或者直接联系我们的技术专家,咨询应用、设备、常规产品使用问题。

          联系技术支持
          订购 Plus Icon Minus Icon
          • 订单状态查询
          • 订单支持
          • 货号直购
          • 现货供应中心
          • 电子采购
          支持 Plus Icon Minus Icon
          • 帮助&支持
          • 联系我们 - 400 820 8982
          • 技术支持中心
          • 查找文件&证书
          • 报告网站问题
          资源 Plus Icon Minus Icon
          • 学习中心
          • 促销
          • 活动&研讨会
          • 社交媒体
          关于赛默飞 Plus Icon Minus Icon
          • 关于我们
          • 招聘 招聘
          • 投资者关系 投资者关系
          • 新闻 新闻
          • 社会责任 社会责任
          • 商标
          • 政策和通知
          品牌 Plus Icon Minus Icon
          • Thermo Scientific
          • Applied Biosystems
          • Invitrogen
          • Gibco
          • Ion Torrent
          • Unity Lab Services
          • Patheon
          • PPD
          • 服务条款
          • 隐私政策
          • 定价和运输保险政策
          © 2006-2026 Thermo Fisher Scientific Inc. All rights reserved. All trademarks are the property of Thermo Fisher Scientific and its subsidiaries unless otherwise specified.
          China flag icon
          China
          本网站销售的所有产品均不得用于人类或动物之临床诊断或治疗,仅可用于工业或者科研等非医疗目的。
             电子营业执照 | 经营证照公示 | ICP备案号:沪ICP备11003924号 | 沪公网安备 31011502006935号

          Your items have has been added!


          Host server : magellan-search-blue-7c59b9b899-4kcjf:80/100.66.78.36:80.
          git-commit: 8ef7cf686e3c81d28b13492708ce56d167b2f995
          git-url: https://github.com/thermofisher/magellan-search
          git-branch: release/2.49.0-Offline