Search
Search
蛋白质组学技术正在演变为一种高灵敏度、高通量定量分析方法,可分析细胞、组织或生物体内的全局蛋白质动态。在过去十年间,整个蛋白质组学工作流程取得了重大进展,其中较显著的是串联质谱标签试剂 (TMT) 的发展与质谱分析的先进进步,它们提高了高通量(在单个质谱分析中可比较多达18份样背面)定量蛋白质组学研究的准确度。
串联质谱标签 (TMT) 是一种同量异序化学标签,为相对蛋白质组学定量分析提供了多通路功能。它能对多个样品并行执行质谱法 (MS) 分析,从而增加了通量,并且能够同时对多达 18 个不同的细胞、组织或生物体液样品进行相对定量分析。标签由 MS/MS 报告基团、间隔臂和胺反应性基团组成。在标记期间,胺反应性基团结合到肽的 N 末端或赖氨酸残基。
在相对定量分析实验中,不同的同量异位标签被用来标记不同的系统条件。标记之后,混合所有样品并在单个液相色谱-质谱 (LC-MS) 实验中进行分析。同量异位标签具有相同的化学性质,因此在 LC 分离过程中,来自不同 TMT 标记样品的所有肽都会发生共洗脱。这些肽进入质谱仪后,就会同时被检测为单个且不可区分的前体离子峰。
碎裂之后,各个系统条件的标签将在 MS/MS 谱的低 m/z 区生成一个具有独特特征的报告离子。蛋白质鉴定是通过将产生的碎片离子峰与片段数据库中提供的离子峰进行匹配来实现的。通过比较报告离子的强度即可完成肽类定量分析。
先进的 MS/MS 系统
Thermo Scientific Orbitrap Astral 质谱仪可对数千种蛋白质进行准确、可重现的定量。Orbitrap Astral 质谱仪设计新颖,为 TMT 分析设定了新标准,可在较短时间内深入挖掘蛋白质组数据。由于兼具高速、高灵敏度与高分辨率,Astral 分析仪可以轻松分辨 TMT 报告离子,以便进行多通路定量。
并行使用 Orbitrap 和 Astral 分析仪可大大提高覆盖深度和通量,从而改变了 TMT 分析。
入门级 MS/MS 系统
从非靶向蛋白质组谱到靶向蛋白质组学实验,凭借行业领先的单细胞灵敏度,以及出色的准确度、精确度和简便性,获取较深入的定量洞察信息。借助可提供更高可用性的精选工作流程,Thermo Scientific Orbitrap Exploris 480 质谱仪可以加快您开展大规模研究的速度,提供经过验证的高质量数据并节省时间,使您可以更快地获取切实可行的结果。
先进的 Tribrid 质谱仪 Thermo Scientific Orbitrap Ascend Tribrid 质谱仪在所有 Orbitrap LCMS 仪器中分辨率相对较高(在 m/z 200 下高达480,000),并且在全扫描 MS 模式下实现了较低的检测限和较高的选择性。该系统为同步母离子选择 MS (SPS MS) 提供专有实时搜索,可获得高准确度、高精度 TMT 定量结果。这种独特的采集策略可改善 TMT 报告离子的比值精度,提高灵敏度,并增加定量多肽总量。随着新型 QR5 分段式双曲面四极杆的问世,窄分离窗口上的离子传输得到了改善,这对于尽可能减少干扰至关重要。亮度更高的离子源支持 0.4 amu 的隔离窗口,并能尽可能减少比值误差。
在质谱分析前使用预先配制好的试剂制备样品,耗时不到 3 小时。
利用 11 种不同的同量异位串联质谱标签实现高通量定量蛋白质组学分析。该试剂盒可用于制备多达 11 种不同的肽段,供平行标记和并行分析使用。
新一代串联质谱标签,设计用于提高样品多通路水平,能够在不影响蛋白质鉴定和定量的情况下对多达 18 份样品进行质谱分析。
采用正交肽段预分级法将复杂多肽样品中的蛋白质鉴定率提高 50% 以上。
利用高载量色谱柱对复杂蛋白质组学样品中的低丰度多肽进行高分辨率分离。
EASY-Spray C18 LC 色谱柱以其优异的峰容量实现了蛋白质组的全面表征。
使用纳流、毛细管流和微流 UHPLC 实现复杂混合物 LC-MS 分析的较高分辨率和灵敏度。
采用包含四个同源菌株(用 TMT11plex 试剂标记)的冻干酵母肽混合物监测 LC-MS/MS 系统的性能。
从蛋白质鉴定、定量到多路复用蛋白质组学研究等各种应用,将您的能力从小规模研究扩展到大规模研究。凭借优化的方法,Thermo Scientific Orbitrap Exploris 240 质谱仪可快速将样品转化为结果,操作简单。一流的性能,小巧的体积,让您的日常工作更加得心应手
同量异位标记实验需要从原始 LC-MS 文件中提取定性和定量分析数据。Thermo Scientific Proteome Discoverer 软件是定性和定量分析蛋白质组学研究领域功能较全面的数据分析平台,既支持在 SPS MS3 蛋白质定量分析层面,也支持在 MS2 蛋白质鉴定层面对碎裂数据进行差异化分析。该软件提供了一套综合数据挖掘工具,并支持在多肽鉴定过程中使用多个搜索引擎。
先进的 MS/MS 系统
Thermo Scientific Orbitrap Astral 质谱仪可对数千种蛋白质进行准确、可重现的定量。Orbitrap Astral 质谱仪设计新颖,为 TMT 分析设定了新标准,可在较短时间内深入挖掘蛋白质组数据。由于兼具高速、高灵敏度与高分辨率,Astral 分析仪可以轻松分辨 TMT 报告离子,以便进行多通路定量。
并行使用 Orbitrap 和 Astral 分析仪可大大提高覆盖深度和通量,从而改变了 TMT 分析。
入门级 MS/MS 系统
从非靶向蛋白质组谱到靶向蛋白质组学实验,凭借行业领先的单细胞灵敏度,以及出色的准确度、精确度和简便性,获取较深入的定量洞察信息。借助可提供更高可用性的精选工作流程,Thermo Scientific Orbitrap Exploris 480 质谱仪可以加快您开展大规模研究的速度,提供经过验证的高质量数据并节省时间,使您可以更快地获取切实可行的结果。
先进的 Tribrid 质谱仪 Thermo Scientific Orbitrap Ascend Tribrid 质谱仪在所有 Orbitrap LCMS 仪器中分辨率相对较高(在 m/z 200 下高达480,000),并且在全扫描 MS 模式下实现了较低的检测限和较高的选择性。该系统为同步母离子选择 MS (SPS MS) 提供专有实时搜索,可获得高准确度、高精度 TMT 定量结果。这种独特的采集策略可改善 TMT 报告离子的比值精度,提高灵敏度,并增加定量多肽总量。随着新型 QR5 分段式双曲面四极杆的问世,窄分离窗口上的离子传输得到了改善,这对于尽可能减少干扰至关重要。亮度更高的离子源支持 0.4 amu 的隔离窗口,并能尽可能减少比值误差。
在质谱分析前使用预先配制好的试剂制备样品,耗时不到 3 小时。
利用 11 种不同的同量异位串联质谱标签实现高通量定量蛋白质组学分析。该试剂盒可用于制备多达 11 种不同的肽段,供平行标记和并行分析使用。
新一代串联质谱标签,设计用于提高样品多通路水平,能够在不影响蛋白质鉴定和定量的情况下对多达 18 份样品进行质谱分析。
采用正交肽段预分级法将复杂多肽样品中的蛋白质鉴定率提高 50% 以上。
利用高载量色谱柱对复杂蛋白质组学样品中的低丰度多肽进行高分辨率分离。
EASY-Spray C18 LC 色谱柱以其优异的峰容量实现了蛋白质组的全面表征。
使用纳流、毛细管流和微流 UHPLC 实现复杂混合物 LC-MS 分析的较高分辨率和灵敏度。
采用包含四个同源菌株(用 TMT11plex 试剂标记)的冻干酵母肽混合物监测 LC-MS/MS 系统的性能。
从蛋白质鉴定、定量到多路复用蛋白质组学研究等各种应用,将您的能力从小规模研究扩展到大规模研究。凭借优化的方法,Thermo Scientific Orbitrap Exploris 240 质谱仪可快速将样品转化为结果,操作简单。一流的性能,小巧的体积,让您的日常工作更加得心应手
同量异位标记实验需要从原始 LC-MS 文件中提取定性和定量分析数据。Thermo Scientific Proteome Discoverer 软件是定性和定量分析蛋白质组学研究领域功能较全面的数据分析平台,既支持在 SPS MS3 蛋白质定量分析层面,也支持在 MS2 蛋白质鉴定层面对碎裂数据进行差异化分析。该软件提供了一套综合数据挖掘工具,并支持在多肽鉴定过程中使用多个搜索引擎。
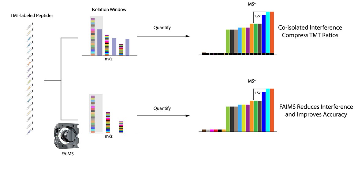
Thermo Scientific FAIMS Pro Duo 接口提高了母离子选择性,改善了大多数肽和蛋白质应用的定性和定量结果,同时减少了耗时的样品制备步骤。FAIMS Pro Duo 接口通过气相分馏和选择性增强肽化合物、降低 MS 谱图的复杂性并改善分析物信噪比,提高了分析性能。最终可实现更高的蛋白质组覆盖率、更高的灵敏度和更准确的定量。
与其他同量异位标记应用相比,我们基于 Orbitrap LC-MS 的 TMT 标记定量蛋白质组学分析解决方案在发表文献数量方面位居业界前茅(有关文章和文档,请参阅以下参考资料部分)。为了获得尽可能完整的定量曲线,我们进行了改进以实现较高的定量准确度和精度,从而达到研究目标。
近期,我们在质谱技术和性能方面也作出了改进,能够利用智能采集方案和算法更智能地从原始谱图中提取真实的高质量数据。上述改进与 TMT 标记试剂相结合,为单次运行鉴定和定量多路样品中的数千种蛋白质设定了行业金标准,从而极大提高功能生物学研究的准确度、精密度和成本效益。
基于新型 ΦSDM 谱图处理的 Turbo TMT 智能采集方案可提高 TMT 报告离子同位素异数体的基线分辨率,加快 TMT 11plex 实验的谱图采集速度,从而增加可定量多肽鉴定的通量。
Precursor Fit 过滤器可用于根据隔离窗口的前体离子特异性来选择离子。这有助于增加前体离子分离的特异性,并降低了在错误注释电荷状态/单同位素峰时或在隔离窗对目标母离子没有特异性的情况下触发前体离子的几率。
在工作流程中添加 FAIMS Pro 接口,可提高前体离子选择性,减少干扰和气相分馏,从而提高 TMT 多肽定量分析的准确度。
Thermo Scientific 串联质谱标记多通路工作流程具有独特的智能采集管理功能,可为多通路蛋白质组分析提供出色的定量分析。通过利用内置于 HRAM Orbitrap MS 中的智能采集方案,生命科学家经过简单设置即可定量分析蛋白质,而无需牺牲蛋白质组覆盖范围或深度,并且可信度极高。
我们结合使用 TMT 试剂,为单次运行鉴定和定量多通路样品中的数千种蛋白质提供了三个完整的 Thermo Scientific Orbitrap MS 工作流程(包括样品制备),从而极大提高功能生物学研究的准确度、精密度和成本效益。每个工作流程都经过优化,可实现尽可能高的定量准确度/精度、覆盖深度,并尽量减少共流出离子干扰和比值压缩。
Thermo Scientific TMT MS2 多通路工作流程具有独特的智能采集管理功能,能够针对基于 MS2 的多通路蛋白质组学分析实现出色的定量,从而较大程度提高发现蛋白质组学实验的可靠性,并且不影响覆盖范围和深度。
Orbitrap Astral 质谱仪采用新型分析仪技术,在不牺牲分辨率的情况下提供高灵敏度和速度 (200 Hz),以实现更高的 TMT MS2 多通路水平。与市场上的任何商用仪器相比,Orbitrap Astral 质谱仪能够以较快的通量和较深的蛋白质组覆盖范围进行 TMT MS2 多通路实验。仪器上的新型分析仪可在低 m/z 区域提供50,000的分辨率,以基本解析 TMT 18plex 实验的报告离子。
利用 Orbitrap Exploris 480 质谱仪的 TMT MS2 工作流程采用智能采集方案(TurboTMT 模式、PrecursorFit 过滤器)为多通路蛋白质组分析提供丰富的可定量多肽。Orbitrap Exploris 480 MS 与 TMT 试剂和 FAIMS Pro 接口结合使用,是具有高分辨率并且可执行 TMT 18plex 实验的两款专用 MS/MS 系统之一,可较大程度提高发现蛋白质组学实验的可靠性,而且不影响覆盖范围和深度。
FAIMS Pro 接口可减少共离流出子干扰,提高定量准确度。
Thermo Scientific Orbitrap Tribrid 质谱仪上的 Thermo Scientific SPS MS3 多通路工作流程可借助其独特的卓越性能在多通路蛋白质组分析中准确测量蛋白质组中的细微变化。
由于计数统计得到改进,与 MS2 相比,使用 SPS MS3 可显著提高报告离子的信号强度并改善比值精度,进而使定量多肽的数量明显增加。继 MS2 之后,SPS 能够同时分离多达 20 个 MS2 碎片离子,这些离子会与 Orbitrap 分析器中检测到的 MS3 碎片发生高能碰撞 (HCD) 碎裂。与 MS2 相比,这项技术进一步减少了共流出离子干扰和比值压缩。
Thermo Scientific TMT 实时检索适用于具有独特智能采集方案的 SPS MS3 多通路工作流程,能够在多通路蛋白质组学分析中实现出色的定量,从而极大提高功能生物学研究的准确度、精密度和成本效益,且属于 Orbitrap Eclipse Tribrid MS 专有的检索方法。
SPS 实时检索可显著提高 TMT 实验的特异性、准确度和分析性能。这种方法依赖于根据用户提供的数据库实时检索 MS/MS 谱图,并且只对已鉴定的谱图执行 SPS,因此不会对未鉴定的谱图进行 MS3 采集。这意味着前体离子采样率增加,从而使多肽鉴定率提高 30%-50%,还提高了定量分析的准确度。数据表明,SPS MS3 工作流程的实时检索功能显著改善了多通路定量实验的性能。
先进的 TMT标记定量蛋白质组学工作流程可灵敏地检测稀有肽类,识别健康组织和病变组织之间的差异,并精密测量细胞蛋白质组。本书简要介绍了 TMT标记定量蛋白质组学技术,并提供了五个案例研究来阐明这些试剂的一些前沿应用。
无偏差非标记 DIA 定量领域的领军产品可提供您所需的定量准确度和精度,而且新的超值定价让您更轻松地获得所需令人瞩目的性能。
Thermo Scientific AccelerOme 自动化样品制备平台,凭借工厂提供的试剂和试剂盒、直观的软件以及独特的实验设计经验,对蛋白质组学样品制备进行变革。













