ChromaCare™ LC-MS Instrument Flush Solution
ChromaCare™ LC-MS Instrument Flush Solution
ChromaCare™ LC-MS Instrument Flush Solution
ChromaCare™ LC-MS Instrument Flush Solution
ChromaCare™ LC-MS Instrument Flush Solution
Thermo Scientific™

ChromaCare™ LC-MS Instrument Flush Solution

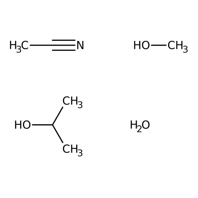
ChromaCare™ LC-MS Instrument Flush Solution is designed to prepare LC/MS instruments for start-up. By reducing background noise, this solution facilitates instrument installation and preventative maintenance routines. ∣ CAS: 75-05-8; 67-56-1; 67-63-0; 7732-18-5
Have Questions?
Catalog NumberQuantityPackaging
T1111010001 LBorosilicate glass bottle
Catalog number T111101000
Price (CNY)
-
Quantity:
1 L
Packaging:
Borosilicate glass bottle
Request bulk or custom format
Specifications
CAS75-05-8; 67-56-1; 67-63-0; 7732-18-5
ColorColorless
DescriptionLC-MS Instrument Flush Solution
PackagingBorosilicate glass bottle
Physical FormLiquid
View more
  • Designed by Thermo Scientific to maximize cleaning while preserving instrument integrity in Vanquish™ and UltiMate™ UHPLC systems with QQQ MS
  • Comprised of a unique blend of polar protic and aprotic solvents for removing a wide variety of contaminants
  • Particularly suitable for new LC/MS and UHPLC/MS installations to rapidly stabilize baseline
  • A blend of 25% acetonitrile, 25% methanol, 25%, water, and 25% 2-propanol (IPA)
  • Offered in 1L borosilicate bottles and 2.5L amber glass bottles
RUO – Research Use Only