Search
Search
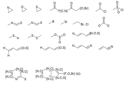
Reactive molecules have been excluded from the database in order to reduce the number of false positives or potential “false leads.” Specifically, compounds that contain the following chemical moieties have been excluded to produce a set of chemical structures that have the maximum diversity and drug-like properties. This is designed to result in a higher percentage of genuine leads for optimization and eliminate the time and money expended on following unsuitable hits. The excluded chemical moieties have been carefully selected from data and other information sources used to develop the Maybridge collection since the early 1990s, when high-throughput screening came to the forefront of lead identification. These data and our own experience of over 50 years ensure that this database will be an ideal candidate for use in high-throughput screening programs.
| Chemical moiety | Reasoning |
|---|---|
| Acyl halides | Covalent bonding |
| Sulphonyl halides | Covalent bonding |
| Isocyanates | Covalent bonding |
| Isothiocyanates | Covalent bonding |
| Activated halides1 | Covalent bonding |
| Anhydrides | Covalent bonding |
| Aldehydes (incl. aminoformyl moieties) | Covalent bonding |
| Hydrazines | Covalent bonding |
| Azides | Toxicity |
| Diazonium salts | Toxicity |
| Quaternary salts (incl. N-oxides) | Toxicity |
| Nitrosos | Toxicity |
| Aziridines2 | Toxicity/covalent bonding |
| Epoxides | Covalent bonding |
| Thiols3 | Toxicity/covalent bonding |
| Disulfides | Toxicity/covalent bonding |
| Picrates | Toxicity |
| Perchlorates (Periodates) | Toxicity |
| Simple anilines and phenols | Toxicity |
| 1,2-dicarbonyls4 | Toxicity |
| Vinyl ketones (Michael acceptors)5 | Covalent bonding |
| Nitro groups (max. of 2)6 | Toxicity/solubility |
| Halo atoms (max. of 5) | Toxicity |
| Metals7 | Toxicity |
| Simple molecules | Simple |
| MW <150 | Simple |
1Compounds classified as activated halides consist of the 4 following moieties: a) halide with a NO2 ortho to the halide, e.g., 2-chloronitrobenzene, b) halide with a NO2 para to the halide, e.g., 4-chloronitrobenzene, c) halide with a hetero ring N ortho to the halide, e.g., 2-chloropyridine, and d) halide with a hetero ring N para to the halide, e.g., 4-chloropyridine (where N activation may be of some significance in some screening programs).
2Aziridines which have a free NH moiety on the aziridine ring.
3Thiols where the thiol moiety cannot exist as the thione, i.e., benzene thiol excluded, but 1,2,4-triazole-3-thione included.
4Chain dicarbonyls are excluded, ring dicarbonyls are included, i.e., glyoxalates excluded, ring-substituted isatin moieties included.
5Vinyl ketones moieties have been excluded where the vinyl ketone is directly attached to a ring system and the other end of the moiety has not been substituted, i.e. cinnamic acid, simple ester, amide nitrile, etc. would be excluded. Where a cinnamoyl chloride has been reacted with a R-NH2, these would be included. Compounds of type ring-COCH=CH-ring (chalcones) are excluded. For further information on this exclusion criteria, please contact us.
6Halo atoms maximum 5. When calculating this, exclusion salts are not included and a trifluoromethyl group is taken as only 1 halo. All trichlorovinyl moieties have been excluded.
7Metals, sodium, and potassium salts of acids are included. Compounds excluded from the Maybridge screening collection for any of the above reasons are still held by the Maybridge compounds team. For customers requiring a database of these compounds, please contact us.
The figure below shows examples of chemical structures excluded from the screening library.
Maybridge library—Download any or all of the Maybridge library structure files.
仅供科研使用,不可用于诊断目的。
