Search
Search
Thermo Scientific Active Site Probes covalently bind to the active sites of kinases, GTPases and serine hydrolases to enable selective enrichment and profiling of target enzyme classes. The structure of the probes consists of an active site-specific reactive group, a linker region and either desthiobiotin or TAMRA tags for enrichment or detection.
These products are based on Activity-Based Protein Profiling Technology, licensed from ActivX Biosciences, Inc.
Active site probe kits enable the following:
Thermo Scientific Pierce Active Site Probes are chemical probes that covalently bind to the active sites of specific enzyme classes such as kinases, GTPases, and serine hydrolases. These probes can be used to selectively enrich, identify, and profile target enzyme classes across samples or assess the specificity and affinity of enzyme inhibitors. The structure of the probes consists of an active site specific reactive group, a linker region, and a tag group for detection or affinity capture. Active site reactive groups are typically electrophilic compounds which covalently link to nucleophilic resides in enzyme active sites. All active site probes can be used to determine inhibition of enzymes by small molecules, and some probes also preferentially react with only active enzymes, allowing for activity-based proteomic profiling (ABPP).1
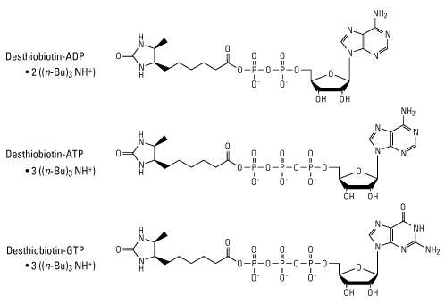
One class of active site probes is based on derivatives of ATP, ADP or GTP nucleotides. ATP- and ADP-based probes covalently modify the active site of ATPases including kinases, chaperones and metabolic enzymes.2 The GTP probe specifically labels small GTPases and G-protein coupled receptor GTPase subunits. As many kinases, GTPases, and other nucleotide binding proteins bind nucleotides or inhibitors even when they are enzymatically inactive, these reagents allow both inactive and active enzymes to be profiled in a complex sample. Preincubation of samples with small molecule inhibitors that compete for active site probes can be used to determine inhibitor binding affinity. In addition, active site directed nucleotide probes can be used to determine inhibitor off targets.
Mechanism and chemical structures of Thermo Scientific Active Site Probes for kinases, other ATPases, and GTPases. A. Nucleotide analogues bind to the active sites of ATPases or GTPases and the biotin affinity tag is irreversibly transferred to highly conserved lysine residues in the active site. B. Structures of desthiobiotin nucleotide analogues. Desthiobiotin binding to streptavidin is easily reversible under acidic elution conditions, allowing high recovery of labeled proteins and peptides. Desthiobiotin is attached to the nucleotide through a labile acyl phosphate linkage, allowing efficient desthiobiotin label transfer to amines near the active site. ATP and ADP nucleotide analogues label a complementary set of ATPases, which is likely due to differences in the proximity of the acyl phosphate linkage to conserved lysines near the active site.
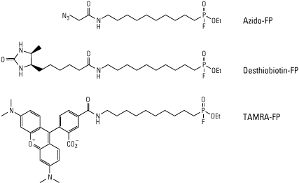
Fluorophosphonate (FP) probes are another class of active site probes which are specific for active serine hydrolases.3 Since these reagents only label active enzymes, they are able to monitor enzymatic activity in addition to being used for studying inhibitor binding affinities. The serine hydrolase family includes a variety of enzymes such as cholinesterases, hydrolases, lipases, and proteases like trypsin, kallikreins and dipeptidyl peptidases. Since many of these enzymes are expressed as inactive pro-proteins, the ability of these probes to assess activity is especially advantageous over traditional protein or RNA expression profiling techniques which only measure abundance.
Mechanism and chemical structures of Thermo Scientific Active Site Probes for serine hydrolases. A. Fluorophosphonate probes covalently attach specifically to the active site of enzymatically active serine hydrolases and proteases. B. Structures of azido, desthiobiotin and fluorescent fluorophosphonate probes for labeling, affinity enrichment or fluorescent detection of labeled enzymes.
Active site probes can be used to screen small molecule inhibitors against cell lysates, subcellular fractions, tissues, and recombinant proteins. Depending on the active-site probe tag group and the enzyme class to be profiled, active site-labeled enzymes can be detected and quantified of by western blot, fluorescent gel imaging or mass spectrometry. Desthiobiotin-tagged probes can be used for both enrichment and detection of active-site-labeled proteins by western blot. Alternatively, these probes can be used to enrich active-site-labeled peptides which can be identified and quantified by mass spectrometry. This approach allows for high throughput targeted quantitation of hundreds of enzymes in a single analysis.
仅供科研使用,不可用于诊断目的。





