Search
Search
by L. Montoya, M. Yan, D. Beacham, M. O’Grady, M. Wickett, A. Anderson, C. DeMarco, and V. Calderon; Thermo Fisher Scientific, Eugene, OR, USA - 04/20/16
High throughput screening (HTS) is an extremely effective method for allowing researchers to identify putative active compounds for therapeutics. Recently, flow cytometry has emerged as a powerful HTS tool with the added benefit of cell-by-cell analysis. Flow cytometry allows a researcher to study protein-protein interactions, metabolic activities, as well as DNA content in a single or multiplexed assay format. For this study, we screened the MicroSource Discovery System Killer Plates compound library and compared HTS using a plate reader with a flow cytometry live/dead assay.
Jurkat (T lymphocyte cell type) and Ramos (B lymphocyte cell type) cells were used as cell models. Cells were cultured under standard conditions and either at hypoxic (1% using a Heracell VIOS 160i incubator) or hyperoxic (19%) oxygen levels. We also varied length of time the cells were treated with compound library (24, 48, or 72 hrs.). Membrane integrity and metabolic activity were measured as an output for evaluating cellular viability. To further assess cellular activity, post-screening analysis was implemented to establish the EC50 of “hits” from compound library.
Screening analysis identified target drugs that were further analyzed using cell health readouts with different concentrations of “hits” to assess compound toxicity. Results indicate that compound “hits” and potency differed in the screen depending on cell type, the mechanistic readout, and mode of readout used to perform the HTS experiments.
High-throughput screening has become the industry standard for pharmaceutical drug screening and drug analysis. The ideal tool for investigating drug functions on cells is flow cytometry. Within this study we compared an acoustic flow cytometry platform with a fluorescent plate reader platform, and analyzed cell viability with different mechanisms of read-out. In combination with the different platforms used, we investigated the difference in oxygen levels and compound potency. The selection of promising compound leads is often poorly characterized due to the oxygen level difference in clusters of abnormal cell types within the human body.
In this study, Jurkat (T lymphocyte cell type) and Ramos (B lymphocyte cell type) cells were used to study the effect of drugs on different types of white blood cells. White blood cells protect the body against foreign intruders; using these cells allows us to evaluate the effect of drugs tested and their involvement in cell-mediated immunity (T cells) and humoral immunity (B cells).
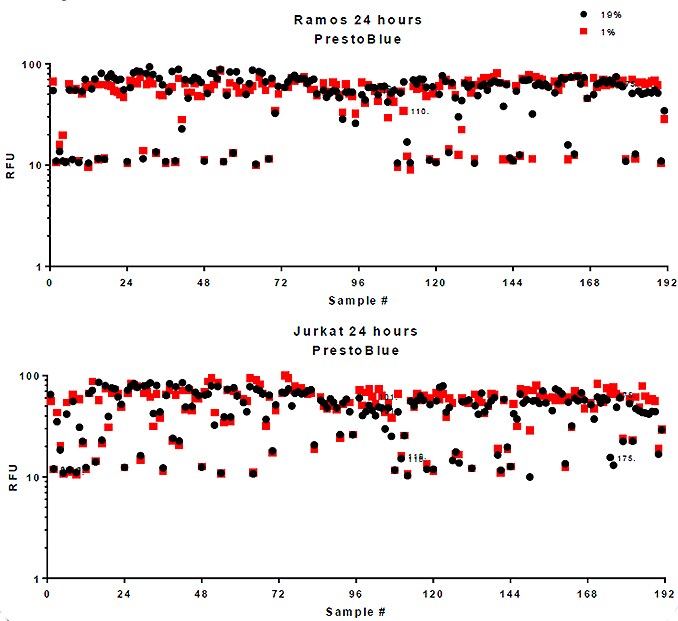
At 24, 48, and 72 hours post compound treatment cells were treated with either Invitrogen LIVE/DEAD Fixable Aqua Dead Cell Stain for 40 minutes or Invitrogen PrestoBlue Cell Viability Reagent for 30 minutes and analyzed on either the Attune NxT Flow Cytometer or the Thermo Scientific Varioskan Flash Multimode Reader.
Cells were plated at 40,000 cells per well, then treated with 10 µM of each drug from the Killer Collection from MicroSource Discovery Systems, Inc., and stored at either 19% oxygen or 1% oxygen in 5% CO2 and at 37°C for 24, 48, and 72 hours. At 24, 48, and 72 hours cells were treated with PrestoBlue Cell Viability Reagent and analyzed on the Varioskan Flash reader or with LIVE/DEAD Fixable Aqua Dead Cell Stain and analyzed on the Attune NxT Flow Cytometer.
Amsacrine (a known chemotherapeutic for leukemia) is a more potent drug for Jurkat cells than Ramos cells
| IC50 amsacrine dose response | ||||
|---|---|---|---|---|
| PrestoBlue Reagent | LIVE/DEAD Aqua Stain | |||
| Cell type | 19% O2 | 1% O2 | 19% O2 | 1% O2 |
| Jurkat cells | ~0.57 μM | 0.26 μM | 4.96 μM | 6.60 μM |
| Ramos cells | ~23.30 μM | ~20.17 μM | ~71.57 μM | ~64.95 μM |
Clofazimine (antibiotic used in multi-drug therapy for leprosy) is a more potent drug at 19% oxygen for both Jurkat and Ramos cells when analyzed using cellular reduction potential as a cell health readout.
| IC50 clofazimine dose response | ||||
|---|---|---|---|---|
| PrestoBlue Reagent | LIVE/DEAD Aqua Stain | |||
| Cell type | 19% O2 | 1% O2 | 19% O2 | 1% O2 |
| Jurkat cells | 10.69 μM | ~30.86 μM | NA | NA |
| Ramos cells | 4.77 μM | ~9.21 μM | NA | NA |
Gambogic Acid (natural product from Garcinia hanburyi shown to activate caspases and have anti-cancer activity) and is a more potent drug than the amide version of same compound.
| IC50 gambogic acid amide dose response | IC50 gambogic acid dose response | |||||||
|---|---|---|---|---|---|---|---|---|
| PrestoBlue Reagent | LIVE/DEAD Aqua Stain | PrestoBlue Reagent | LIVE/DEAD Aqua Stain | |||||
| Cell type | 19% O2 | 1% O2 | 19% O2 | 1% O2 | 19% O2 | 1% O2 | 19% O2 | 1% O2 |
| Jurkat cells | 0.60 μM | 0.58 μM | 2.50 μM | 2.78 μM | 0.60 μM | 0.58 μM | ~0.57 μM | ~0.53 μM |
| Ramos cells | 0.19 μM | 0.19 μM | 1.01 μM | 2.25 μM | 0.19 μM | 0.19 μM | ~0.30 μM | ~0.33 μM |
Analyzing the redox potential of a cell gave a difference in compound potency compared to analyzing for membrane integrity.
| IC50 benzyl isothiocyanate dose response | ||||
|---|---|---|---|---|
| PrestoBlue Reagent | LIVE/DEAD Aqua Stain | |||
| Cell type | 19% O2 | 1% O2 | 19% O2 | 1% O2 |
| Jurkat cells | 1.48 μM | 1.06 μM | NA | NA |
| Ramos cells | 1.50 μM | ~2.63 μM | NA | NA |
Three distinct populations are seen with flow cytometry; live, dead, and unhealthy cells. Further analysis with a different readout method(s) are planned for the near future.






