Search
Search
生物素(维生素 H)和抗生物素蛋白之间的相互作用是非放射性纯化、检测、固定化、标记、病毒载体靶向和药物靶向系统中的有用工具。抗生物素蛋白对生物素的超常亲和力是已知的蛋白质与配体之间最强的非共价相互作用之一(Ka=1015M-1),这使得复杂混合物中的含生物素分子能够与抗生物素蛋白结合物分离结合。生物素与抗生物素蛋白之间的结合非常迅速,一旦形成,便不受pH值、温度、有机溶剂和其他变性剂的影响。
生物素的化学结构。生物素,也称为维生素 B7(以前称为维生素 H 和辅酶 R),是一种水溶性物质。其分子由一个脲基环和一个四氢噻吩环连接而成。生物素是羧化酶的辅酶,是合成脂肪酸、异亮氨酸和 缬氨酸所必需的。生物素还参与糖异生。
我们的《阿维丁-生物素技术手册》共 48 页,汇集了生物素化、纯化或检测蛋白质所需的一切。特色产品包括细胞表面蛋白生物素化和纯化试剂盒、抗体标记和新型光反应生物素化试剂。本手册包括数十种参考文献以及操作规程、故障排除技巧、选择指南和可用工具的完整列表。
在许多蛋白质研究应用中,通常使用抗生物素蛋白偶联物检测或纯化生物素标记(即生物素化)的蛋白质,包括酶联免疫吸附测定(ELISA)、蛋白质印迹分析、免疫组织化学(IHC)、免疫沉淀(IP)和其他亲和纯化方法、细胞表面标记和流式细胞术/荧光激活细胞分选(FACS)。
除了与抗生物素蛋白有很强的亲和力外,生物素还具有两个特点,使其成为标记蛋白质和大分子的理想分子。首先,生物素比球状蛋白质相对小,从而最大限度地减少了对许多蛋白质的显著干扰,并允许多个生物素分子与单个蛋白质结合,从而最大限度地提高抗生物素蛋白的检测能力。其次,如下图所示,生物素具有戊酸侧链,该侧链易于衍生并与反应基团和化学结构结合,而不会影响其与抗生物素蛋白结合的功能。这一特性使得许多有用的生物素化试剂得以产生。
生物胞素是血清和尿液中生物素的衍生物,在戊酸侧链上附加了一个赖氨酸基团,与 ε-氨基酸侧链相连。如下所示,生物胞素比生物素更长,这使得该分子可用于制造长链生物素化试剂。由于具有游离羧基和 α-氨基,生物胞素也可用于制造三官能交联试剂。
生物素与生物胞素的比较。生物胞素与生物素的区别在于其戊酸侧链上多了一个赖氨酸基团。
生物素化(也称为生物素标记)通常通过化学方法进行,但酶促方法也可使用。与酶促方法相比,化学方法在生物素化的类型上具有更大的灵活性,并且可以在体外和体内进行。酶促方法需要同时表达细菌生物素连接酶和一种外源表达的受关注蛋白,该蛋白经过修饰以携带生物素受体肽,与化学方法相比,这种方法能够提供更均匀的生物素化,并且可以针对特定的细胞区室。不过,由于化学生物素化试剂和定制试剂的可用性更高,本文仅关注化学生物素化方法。
所有生物素化试剂都具有类似的功能,如下图所示,这些功能的差异赋予了生物素化试剂独特的特性,使其成为不同类型实验的理想选择。关键的区别在于反应性部分或基团(用红色表示),它可以将生物素化试剂与所有氨基酸上存在的不同氨基酸官能团或非不同域交联;特定试剂的反应性取决于所使用的反应性基团。反应基团与生物素分子(以蓝色表示)之间的距离也可以调整,以增加生物素与抗生物素蛋白结合的可用性,提高试剂的溶解度,或使生物素化反应可逆。从氨基酸结合位点(取决于反应基团的类型)到生物素分子末端的结构称为隔板臂;不同生物素化试剂的隔板臂长度不同。
确定用于特定应用和目标蛋白的正确生物素化试剂取决于必须仔细考虑和优化的多种因素,包括:
继续阅读:亲和素-生物素的相互作用
继续阅读:用于 IHC 检测的 Strept (亲和素) –生物素复合物方法
立即查看:生物素化
立即查看:生物素亲和的纯化
立即查看:IHC - 免疫组织化学技术
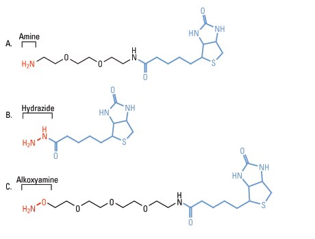
生物素化试剂的溶解度极大地影响了标记目标蛋白或其他大分子的能力。蛋白质具有基于氨基酸侧链和蛋白质构象的疏水区和亲水区,这些区域可以促进或限制基于试剂溶解度的生物素化。此外,根据试剂的溶解度,目标蛋白微环境的疏水性可以阻止或允许生物素化。例如,表面生物素化是研究表面分子表达或内体运输的常用方法,它要求生物素化试剂具有亲水性,以防止其穿过疏水的细胞膜,从而将生物素标记限制在细胞表面。因此,选择合适的生物素化试剂取决于目标氨基酸以及蛋白质或大分子的微环境。
生物素化试剂的溶解度取决于反应基团、隔板臂或两者的组合的溶解度。一些反应基团本身带有电荷,因此是水溶性的,而不带电荷的基团则需要改性(例如磺化;参见下面的 NHS 酯部分)。使隔板臂可溶的常用方法是加入聚(乙二醇)或 PEG(见下图),这种物质具有高度可溶性和柔韧性。由 PEG 组成的隔板臂可以使带有不带电荷反应基团的生物素化试剂具有可溶性,或使带有带电荷反应基团的试剂具有更高的可溶性。此外,与非生物素化的蛋白质相比,含有生物素标签的蛋白质在长期储存过程中,生物素标签中 PEG 的溶解度增加有助于防止生物素化蛋白质聚集。
聚乙二醇可提高生物素化试剂的溶解度。四乙二醇链(PEG4)与反应部分(红色)和生物素(蓝色)之间的间隔臂结合。所示试剂为 Thermo Scientific EZ-Link NHS-PEG4-Biotin。
继续阅读:聚乙二醇(PEG)与蛋白质的聚乙二醇化
立即查看:蛋白修饰试剂
抗生物素蛋白与生物素化蛋白上的生物素分子结合的能力取决于生物素的可用性,且不受同一蛋白上多个生物素的空间位阻影响。间隔臂越长,目标蛋白的检测灵敏度越高,因为可供报告偶联的抗生物素蛋白结合的生物素分子就越多。在生物素化的语境中,间隔臂的定义不应与双功能交联剂所用的隔板臂的定义混淆。用于 交联的间隔臂定义为两个反应性部分之间的距离。对于生物素化,间隔臂是指从共轭氨基酸末端到生物素分子末端的距离。因此,生物素化试剂的间隔臂长度可能是强蛋白检测/纯化与弱或无检测/纯化的区别,这取决于生物素与抗生物素蛋白结合的可用性。
如下图所示,在生物素化试剂的构建中,通过在生物素和反应基团之间添加或移除化学结构,间隔臂的长度会发生变化。间隔臂的功能长度取决于添加的化学结构长度和反应基团的性质。间隔臂的长度由允许生物素裂解的碳氢化合物、聚乙二醇或二硫键调节。
可变间隔臂长度的示例。化学基团(黑色)改变反应基团(红色)与生物素(蓝色)之间的距离,从而调节间隔臂的长度。所示试剂为 (A) Thermo Scientific EZ-Link NHS- 生物素, (B) NHS-LC- Biotin 和 (C) Sulfo-NHS-LC- Biotin。
抗生物素蛋白与生物素之间的相互作用强度及其抗解离性会影响从抗生物素蛋白固定化载体上洗脱生物素化蛋白或从生物素化样品中去除抗生物素蛋白结合的标记探针的能力。 需要苛刻的性条件(8M 盐酸胍l,pH 1.5 或在 SDS 样品加载缓冲液中煮沸)才能有效解离抗生物素蛋白-生物素复合物,这会导致载体受损,蛋白质变性,从而失去生物活性。为了克服这一限制,多年来人们开发出了各种改进方法。 一种方法是使用生物素的修饰版本,如可切割生物素,亚氨基生物素和脱硫生物素。另一种方法是修饰亲和素 / 链霉素亲和素树脂,使其对生物素的亲和力较低。
可裂解生物素标记试剂可用于捕获生物素化蛋白后纯化,或从生物素化样品中去除结合有抗生物素的蛋白。如下所示,可裂解生物素化试剂在间隔臂中设计了二硫键。在还原条件下(50 mM 二硫苏糖醇、10 mM 2-巯基乙醇或 1% 硼氢化钠),二硫键被裂解,释放出生物素标签和与之结合的任何抗生物素蛋白。
可裂解的生物素化试剂。这些试剂设计有二硫键,在还原条件下(虚线)可裂解,从而从标记的蛋白质(绿色;非按比例绘制)上释放生物素标签(蓝色)。
吡啶二硫醚生物素化试剂(如 Thermo Scientific EZ-Link HPDP-Biotin)通过形成二硫键来激活标记巯基。因此,二硫键还原不仅可以从亲和素释放带一次标记的蛋白质,还可以精确地逆转标记反应。
除了使用可裂解的生物素化试剂来释放纯化的蛋白质外,还可以用生物素的改良版本来标记它们。生物素是一种环状胍基生物素类似物,可从抗生物素蛋白中洗脱出来,因为其对抗生物素蛋白的结合亲和力较弱(Ka=108M-1 与Ka=1015M-1) , 且与pH值有关。在 pH 值为 9 时,生物素-亚氨基生物素标记的蛋白质与抗生物素蛋白结合,但在 pH 值为 4 时,抗生物素蛋白-生物素-亚氨基生物素复合物会分离,从而使捕获的蛋白质在不发生变性的情况下得以纯化。虽然纯化的蛋白质仍然带有生物素,但这种方法可以从抗生物素蛋白复合物中释放出具有生物学功能的蛋白质。
亚氨基生物素琼脂糖的化学结构。每个多孔亚氨基生物素琼脂糖珠直径为 45 至 16 5µm,含有数万亿个亚氨基生物素基团。
脱硫生物素是一种单环、无硫生物素类似物,与链霉亲和素结合的特异性几乎相同,但亲和力低于生物素(Ka=1011M-1 与 Ka=1015M-1)。因此,脱硫生物素化的诱饵蛋白及其相互作用伴侣可以在温和条件下,通过游离生物素的竞争性置换,从链霉亲和素亲和树脂上轻松、特异地进行洗脱。对于生物样品的沉降检测实验,脱硫生物素的这种软释放特性还有助于减少内源性生物素化分子的共纯化,这些分子在用游离生物素洗脱目标蛋白复合物时仍与链霉亲和素结合。改良的抗生物素蛋白-生物素亲和系统还消除了使用苛刻洗脱条件的需求,这些条件可能会使复合物分离和/或损坏目标蛋白或细胞。当使用未用融合标签表达的天然或重组蛋白以及在天然条件下分离捕获的蛋白(例如靶向完整细胞或细胞表面蛋白)时,基于去硫生物素的技巧是理想的选择。
去硫生物素在试剂中的缓释特性可减少天然生物素化分子的分离,从而避免影响结果,同时避免使用可能破坏复合物和/或靶蛋白或细胞的苛刻洗脱条件。各种缓释选项已被用于开发各种应用(例如活性位点探针、RNA-蛋白沉降)的方案。
继续阅读:用于 IHC 检测的 Strept (亲和素) –生物素复合物方法
立即查看:生物素化
立即查看:变性剂和还原剂
立即查看:共免疫沉淀(Co-IP)和沉降
生物素化的目的是在不显著干扰蛋白质正常生物功能的前提下标记目标蛋白质。尽管生物素很小,但如果生物素试剂与调节蛋白质活性的氨基酸结合,例如与底物结合,则生物素化可能会干扰蛋白质的正常功能。许多不同的反应基团可用于通过靶向不同的特定氨基酸官能团来减少潜在的干扰,包括:
非选择性生物素化试剂也可用于标记没有可用伯胺、巯基、羧基或羰基的蛋白质或大分子。
如下面的抗体图所示,蛋白质通常包含多个反应基团的位点。因此,选择合适的反应性部分对于充分标记而不干扰蛋白质功能至关重要。
位于代表性蛋白质上的蛋白质功能基团靶标。该图描述了免疫球蛋白 (IgG) 的通用结构。 重链和轻链通过非共价相互作用与共价链间二硫键的组合保持在一起,形成双边对称结构。H 和 L 链的 V 区域包含免疫球蛋白 (Ig) 分子的抗原结合位点。每个 Ig 单体包含两个抗原结合位点,因此具有二价性。铰链区是第一个和第二个 C 区域之间 H 链的区域,通过二硫键固定在一起。这种灵活的铰链(存在于 IgG、IgA 和 IgD 中,但不存在于 IgM 或 IgE 中)区域允许两个抗原结合位点之间的距离发生变化。图中还显示了几个功能基团,它们是实际生物共轭反应的可选择目标。
下面部分列出的反应基团通常用于所有交联应用,并在蛋白质方法库的单独交联部分中进行了详细描述。因此,本节仅讨论了每种反应性部分的机制,重点放在生物素化反应中的这些反应基团。
Greg T. Hermanson 所著的《生物共轭技术》 (第 3 版,2013 年)是对这本被公认为生物共轭领域权威参考指南的书籍的重大更新。
《生物共轭技术》是一本完整的教科书和操作手册,可供希望学习和掌握生物分子交联、标记和固定化技术的生命科学家使用,这些技术是许多实验室应用的基础。对于希望为全新应用开发新型共轭策略的研究人员来说,本书也是一本详尽而可靠的参考书。书中还广泛介绍了生物共轭领域,涵盖了该技术在不同科学学科中的所有主要应用,以及为任何目的设计最佳生物共轭物的技巧。
继续阅读:交联和蛋白质修饰概述
继续阅读:抗体标记和固定化位点
立即查看:生物素化
由于赖氨酸侧链 ε-胺和 N-端 α-胺含量丰富,胺是最常见的生物素化功能基团。N-羟基琥珀酰亚胺(NHS)酯与伯胺容易形成稳定的键,反应基团很容易被整合并稳定到各种有用的即用型生物素化试剂中。NHS-酯不带电荷,必须先溶于有机溶剂,然后稀释到水相反应混合物中。这些试剂可以穿过疏水性细胞膜,与细胞内或疏水性微环境中的蛋白质结合,从而使其生物素化。
NHS-酯可以通过对N-羟基琥珀酰亚胺环进行磺化来修饰为水溶性,形成磺化 NHS 酯,后者不需要有机溶剂即可用于水相反应。磺化 NHS 酯生物素化试剂带有电荷,因此不能穿过完整的细胞膜;表面生物素化实验利用这一特性将生物素化限制在细胞外蛋白质上。
四氟苯基(TFP)酯包含一个常用的胺反应基团,该基团与伯胺的反应性相似,但比 NHS 更疏水。TFP 生物素化试剂在pH值略高于 NHS 酯的条件下仍能发挥作用,并且在水溶液中具有更高的抗水解稳定性。
巯基存在于暴露的半胱氨酸残基中,是生物素化的第二大常见目标。由于巯基在蛋白质中的存在通常较少,当伯胺位于蛋白质活性位点时,它们通常成为生物素化的目标;这通常会导致比生物素化伯胺更有限的标记,但蛋白质的生物学功能可以得到保留。
巯基反应性生物素化试剂需要游离的巯基。在还原条件下,巯基游离后,二硫键才会与这些试剂发生反应。或者,可以使用 硫醇化试剂 (如 Traut 试剂, SATP , SAT (PEG) 4 或 SATA) 将游离的巯基与赖氨酸结合。由于这些试剂针对游离的巯基,因此生物素化反应必须在不含还原剂的缓冲液中进行。缓冲液配方中也可以加入 EDTA,以螯合促进二硫键形成的微量金属。
虽然疏水性 NHS 酯可以通过修饰使其水溶,但巯基反应性生物素化试剂只能通过添加亲水性间隔臂使其溶于水。
马来酰亚胺基团在酸性至中性 pH 值下对巯基具有高度反应性。BMCC-生物素(1- 生物素酰胺 -4-[4'-(马来酰亚胺甲基)环己烷-羧酰胺基]丁烷)是一种生物素化试剂,具有马来酰亚胺基团和环己烷环,在结合过程中具有更高的稳定性,间隔臂长度增加。像碘乙酰基这样的卤代乙酰基对巯基的反应性也很强,但反应所需的pH值比马来酰亚胺更高(pH 7.5-8.5)。
吡啶二硫醚与其他巯基反应基团的不同之处在于,反应生成的二硫键可以被断裂,从而释放出生物素间隔臂,并纯化不含生物素的蛋白质。此外,交联反应会释放吡啶-2-硫酮,可通过检测该物质来监控反应的进展。
巯基反应基团。马来酰亚胺、碘乙酰基和吡啶二硫醚基团(均以红色表示)是最常见的巯基反应基团,用于标记生物素(蓝色)蛋白。所示试剂为(A)Thermo Scientific EZ-Link BMCC-生物素、(B)碘乙酰基-LC-生物素和(C)HPDP-生物素(虚线表示与硫醇还原剂的切割位点)。
羧基存在于蛋白质的羧基末端以及天冬氨酸和谷氨酸侧链上。不过,与直接与伯胺和巯基反应的生物素化试剂不同,针对羧基的生物素化试剂需要使用零长度的交联剂(如 EDC(一种碳二亚胺))与生物素化试剂上的伯胺结合。因此,虽然羧基反应性生物素化试剂上的胺 本身并不具有反应性,但它们是目标蛋白结合的位点。除了胺,含有肼基的生物素化试剂也可以与EDC一起用于与羧基反应。
通过EDC进行的偶联反应在 pH 4.5-5.5 条件下进行,需要不含伯胺(如 Tris、甘氨酸)和羧基(如乙酸盐、柠檬酸盐)的缓冲液。符合这些标准的少数缓冲剂之一是2-[吗啉基]乙磺酸(MES)缓冲剂。如果在生物素化反应中使用 EDC,而目标蛋白同时含有羧基和伯胺,则会导致聚合;因此,需要优化 EDC 和生物素化试剂的浓度。此外,使用磺基 -NHS 可显著提高生物素化得率,从而稳定中间产物。
虽然羰基在蛋白质中并不常见,但糖蛋白上的碳水化合物残基可以被改造成醛,从而与肼或烷氧胺衍生物生物素化试剂结合。在这些糖蛋白上的醛通过唾液酸碳水化合物使用高碘酸钠氧化产生。然后,醛类物质在 pH 值为 4-6 的条件下与肼或烷氧胺发生特异性反应,形成稳定的连接。
唾液酸残基也可以通过神经氨酸酶预处理,与水合肼或烷氧胺衍生物生物素化,生成半乳糖基团。通过半乳糖氧化酶进一步处理,可将这些糖上的半乳糖和 N- 乙酰半乳糖胺残基选择性地生物素化,将这些糖上的伯羟基转换为相应的醛。
用高碘酸钠对免疫球蛋白进行轻度氧化,抗体Fc部分的碳水化合物部分会产生活性醛,然后可用酰肼进行烷基化。这种方法适用于抗体,因为它们在生物素化的同时还能保持免疫反应性。这种方法是生物素化多克隆抗体的理想方法,因为它们含有大量糖基。单克隆抗体可能缺乏糖基化,因此这种方法的成功与否取决于特定抗体的糖基化程度。
温度、氧化 pH 值和过碘酸浓度都会影响与生物素酰肼衍生物的反应。此外,由于糖基化随每种蛋白质而异,必须确定每种糖蛋白的最佳条件。每种糖蛋白制剂都有最佳的氧化pH值和酰肼介导的生物素化 pH 值。不建议在氧化或生物素化步骤中使用三羟甲基氨基甲烷或其他含伯胺的缓冲液,因为这些缓冲液会与醛类发生反应,从而抑制它们与肼和烷氧胺的反应。
羧基和羰基反应性基团。当与 EDC一起使用时,带有这些反应基团(红色)的试剂会将羧基(蓝色)标记为生物素。酰肼和烷氧基胺也可用于在糖蛋白碳水化合物上标记通过高碘酸盐氧化后的醛。所示试剂为 (A) Thermo Scientific EZ-Link 胺 -PEG2- 生物素, (B) 酰肼 - 生物素 和 (C) 碱性胺 -PEG4- 生物素。
非选择性、光活化的生物素化试剂可用于标记没有可用胺、巯基、羧基和碳水化合物的目标蛋白。大多数光活化的生物素化试剂基于芳基叠氮化物,它们在紫外光(>350nm)的作用下活化,并引发加成反应,插入 C-H 和 N-H 位点。后续环扩增驱动与亲核试剂 (如伯胺) 结合的反应。这些试剂可用于各种缓冲液中,但酸性 pH 值和还原条件会使芳基叠氮化物失活。
通常,当缺乏伯胺和其他官能团时,或者当必须将共轭反应的起始时间控制在孵育期的特定时间点(即通过暴露于紫外光)时,会选择光活化试剂。
非选择性光活化基团。反应基团(红色)在紫外光的作用下被激活,然后非选择性地与氨基酸结合,用生物素(蓝色)标记蛋白质。所示试剂为 Thermo Scientific EZ-Link TFPA-PEG3- 生物素。
确定生物素化反应后的生物素修饰程度有助于优化特定的抗生物素蛋白-生物素测定系统,并确保生物素化过程的可重复性。测量样品生物素化程度的最常用方法是使用 4'-羟基偶氮苯-2-羧酸(HABA)染料,该染料在没有生物素的情况下与抗生物素蛋白非共价结合。当与抗生物素蛋白结合时,HABA 在 500 nm(A500)处呈现波长吸收,这与结合的 HABA 量成正比。当生物素化的样品与 HABA-抗生物素蛋白复合溶液混合时,生物素会取代 HABA 与抗生物素蛋白结合,因为抗生物素蛋白-生物素的相互作用常数远大于 HABA-抗生物素蛋白的相互作用常数(6 x 106 M-1)。 由于 HABA 的吸光度与其与抗生物素的结合成正比,因此可以根据 A500 信号的降低来计算溶液中生物素的量。
近年来,人们开发了更灵敏的检测方法,这些方法基于 HABA 置换的相同原理,但使用荧光报告剂。与传统的 HABA 方法相比,荧光生物素检测方法灵敏度更高,所需的生物素化样品更少。荧光检测需要使用荧光板读数器,而非荧光方法则可以使用标准分光光度计。
继续阅读:交联剂的化学特性
立即查看:生物素定量试剂盒
立即查看:HABA 计算器工具
仅供科研使用,不可用于诊断目的。













