Search
Search
Related Tables
Related Technical Notes
Get Chapter Downloads from The Molecular Probes Handbook, 11th edition |
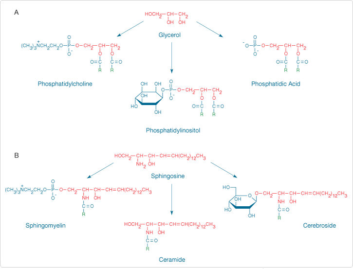
Sphingolipids are essential components of the plasma membrane of eukaryotic cells, where they are typically found in the outer leaflet. Although particularly abundant in mammalian cells, sphingolipids are also present in Saccharomyces cerevisiae,
other fungi and plants. Sphingolipids differ from phospholipids in that they are based on a lipophilic amino alcohol (sphingosine, Figure 13.3.1) rather than glycerol. Sphingolipids play important roles in signal transduction processes
(Probes for Signal Transduction—Chapter 17). Genetic defects in enzymes in the metabolic pathways of sphingolipid synthesis and degradation, including those involved in type I Gaucher (Ashkenazi) disease, type A Niemann–Pick disease, Krabbe disease,
and other lysosomal storage diseases, can be detected at the cellular level using our fluorescent analogs of sphingolipids.
Ceramides are the biological building blocks of more complex sphingolipids. Metabolism of ceramides typically occurs in Golgi and endoplasmic reticulum membranes, and fluorescent ceramide analogs (Probes for the Endoplasmic Reticulum and Golgi Apparatus—Section 12.4) are important probes for measuring the intracellular distribution and transport of the labeled molecules in live cells.![]()
If the hydroxyl group of the ceramide is esterified to phosphocholine, the sphingolipid is a sphingomyelin (Figure 13.3.1). The main pathway of sphingomyelin biosynthesis in mammalian cells is based on the transfer of phosphocholine from glycerophosphocholine to ceramide, catalyzed by sphingomyelin synthase in the Golgi membrane. Synthesis is followed by exocytosis of the sphingomyelin to the plasma membrane, apparently via a vesicular pathway and flip-flop to the outer membrane.
Sphingomyelinases, which are functionally analogous to phospholipase C in their chemistry, hydrolyze sphingomyelins back to ceramides. Generation of ceramides by hydrolysis of sphingomyelins appears to play a role in mediating the effects of exposure to tumor necrosis factor–α
(TNF-α), γ-interferon and several other agents, all of which induce an apoptosis-like cell death.
Assays for Apoptosis—Section 15.5. describes our extensive selection of reagents for following the diverse morphological and biochemical changes that occur during apoptosis. Sensitive fluorescence-based measurements of sphingomyelinase activity using natural, unlabeled sphingomyelin as the substrate can be carried out using our Amplex Red Sphingomyelinase Assay Kit (A12220), described below.
In glycosylsphingolipids, the free hydroxyl group of the ceramide is glycosylated to give a sphingosyl glycoside (cerebroside) or a ganglioside. These glycosphingolipids form cell-type–specific patterns at the cell surface that change with cell growth, differentiation, viral transformation and oncogenesis.
Glycosphingolipids interact at the cell surface with toxins, viruses and bacteria, as well as with receptors and enzymes
and are involved in cell-type–specific adhesion processes.
Gangliosides modulate the trophic factor–stimulated dimerization, tyrosine phosphorylation and subsequent signal transduction events of several tyrosine kinase receptors.
Ganglioside GM1 has anti-neurotoxic, neuroprotective and neurorestorative effects on various central neurotransmitter systems.
Gangliosides, including ganglioside GM1, partition into lipid rafts—detergent-insoluble, sphingolipid- and cholesterol-rich membrane microdomains that form lateral assemblies in the plasma membrane.
We offer Vybrant Lipid Raft Labeling Kits (V34403, V34404, V34405; see below), as well as Alexa Fluor dye conjugates of subunit B of cholera toxin (Lectins and Other Carbohydrate-Binding Proteins—Section 7.7), a protein that selectively binds to ganglioside GM1 in lipid rafts.
Ceramides (N-acylsphingosines), like diacylglycerols, are lipid second messengers that function in signal transduction processes.
The concentration-dependent spectral properties of BODIPY FL C5-ceramide (D3521, B22650), BODIPY FL C5-sphingomyelin
(D3522) and BODIPY FL C12-sphingomyelin
(D7711) make them particularly suitable for investigating sphingolipid transport, metabolism and microdomains,
in addition to their well-documented use as structural markers for the Golgi complex
(Probes for the Endoplasmic Reticulum and Golgi Apparatus—Section 12.4,
). BODIPY FL C5-ceramide can be visualized by fluorescence microscopy
(
,
) or by electron microscopy following diaminobenzidine (DAB) photoconversion to an electron-dense product
(Fluorescent Probes for Photoconversion of Diaminobenzidine Reagents—Note 14.2).
BODIPY sphingolipids also includes the long-wavelength light–excitable BODIPY TR ceramide
(D7540) and BODIPY FL C5-ganglioside GM1
(B13950). All of Molecular Probes sphingolipids are prepared from D-erythro-sphingosine and therefore have the same stereochemical conformation as natural biologically active sphingolipids.![]()
Complexing fluorescent lipids with bovine serum albumin (BSA) facilitates cell labeling by eliminating the need for organic solvents to dissolve the lipophilic probe—the BSA-complexed probe can be directly dissolved in water. We offer three BODIPY sphingolipid–BSA complexes for the study of lipid metabolism and trafficking, including BODIPY FL C5-ceramide, BODIPY TR ceramide and BODIPY FL C5-lactosylceramide, each complexed with defatted BSA (B22650, B34400, B34402).
BODIPY FL C5-ceramide has been used to investigate the linkage of sphingolipid metabolism to protein secretory pathways
and neuronal growth.
Internalization of BODIPY FL C5-sphingomyelin from the plasma membrane of human skin fibroblasts results in a mixed population of labeled endosomes that can be distinguished based on the concentration-dependent green (~515 nm) or red (~620 nm) emission of the probe
(
). BODIPY C5-sphingomyelin has also been used to assess sphingomyelinase gene transfer and expression in hematopoietic stem and progenitor cells.
Studies by Martin and Pagano have shown that the internalization routes for BODIPY FL C5-glucocerebroside follow both endocytic and nonendocytic pathways and are quite different from those for BODIPY FL C5-sphingomyelin.![]()
BODIPY FL C5-lactosylceramide, BODIPY FL C5-ganglioside GM1 and BODIPY FL cerebrosides are useful tools for the study of glycosphingolipid transport and signaling pathways in cells
and for diagnosis of lipid-storage disorders such as Niemann–Pick disease,
Gaucher disease, GM1 gangliosidosis, Morquio syndrome and type IV mucolipidosis
(ML-IV). Addition of BODIPY FL C5-lactosylceramide to the culture medium of cells from patients with sphingolipid-storage diseases (sphingolipidosis) results in fluorescent product accumulation in lysosomes, whereas this probe accumulates in the Golgi apparatus of normal cells and cells from patients with other storage diseases.
BODIPY FL C5-ganglioside GM1 has been shown to form cholesterol-enhanced clusters in membrane complexes with amyloid β-protein in a model of Alzheimer disease amyloid fibrils.
As observed by fluorescence microscopy, the colocalization of BODIPY FL C5-ganglioside GM1 and fluorescent cholera toxin B conjugates (Lectins and Other Carbohydrate-Binding Proteins—Section 7.7) provides a direct indication of the association of these molecules in lipid rafts
(
).
NBD C6-ceramide (N1154) and NBD C6-sphingomyelin analogs predate their BODIPY counterparts and have been extensively used for following sphingolipid metabolism in cells
and in multicellular organisms.
As with BODIPY FL C5-ceramide, we also offer NBD C6-ceramide complexed with defatted BSA (N22651) to facilitate cell loading without the use of organic solvents to dissolve the probe. Koval and Pagano have prepared NBD analogs of both the naturally occurring D-erythro and the nonnatural L-threo stereoisomers of sphingomyelin and have compared their intracellular transport behavior in Chinese hamster ovary (CHO) fibroblasts.![]()
NBD C6-ceramide lacks the useful concentration-dependent optical properties of the BODIPY FL analog and is less photostable; however, the fluorescence of NBD C6-ceramide is apparently sensitive to the cholesterol content of the Golgi apparatus, a phenomenon that is not observed with BODIPY FL C5-ceramide. If NBD C6-ceramide–containing cells are starved for cholesterol, the NBD C6-ceramide that accumulates within the Golgi apparatus appears to be severely photolabile but this NBD photobleaching can be reduced by stimulation of cholesterol synthesis. Thus, NBD C6-ceramide may be useful in monitoring the cholesterol content of the Golgi apparatus in live cells.![]()
The Vybrant Lipid Raft Labeling Kits (V34403, V34404, V34405) are designed to provide convenient, reliable and extremely bright fluorescent labeling of lipid rafts in live cells. Lipid rafts are detergent-insoluble, sphingolipid- and cholesterol-rich membrane microdomains that form lateral assemblies in the plasma membrane.
Lipid rafts also sequester glycophosphatidylinositol (GPI)-linked proteins and other signaling proteins and receptors, which may be regulated by their selective interactions with these membrane microdomains.
Lipid rafts play a role in a variety of cellular processes—including the compartmentalization of cell-signaling events,
the regulation of apoptosis
and the intracellular trafficking of certain membrane proteins and lipids
—as well as in the infectious cycles of several viruses and bacterial pathogens.
Examining the formation and regulation of lipid rafts is a critical step in understanding these aspects of eukaryotic cell function.
The Vybrant Lipid Raft Labeling Kits provide the key reagents for fluorescently labeling lipid rafts in vivo with our bright and extremely photostable Alexa Fluor dyes (
). Live cells are first labeled with the green-fluorescent Alexa Fluor 488, orange-fluorescent Alexa Fluor 555 or red-fluorescent Alexa Fluor 594 conjugate of cholera toxin subunit B (CT-B). This CT-B conjugate binds to the pentasaccharide chain of plasma membrane ganglioside GM1, which selectively partitions into lipid rafts.
All of Molecular Probes CT-B conjugates are prepared from recombinant CT-B and are completely free of the toxic subunit A, thus eliminating any concern for toxicity or ADP-ribosylating activity. An antibody that specifically recognizes CT-B is then used to crosslink the CT-B–labeled lipid rafts into distinct patches on the plasma membrane, which are easily visualized by fluorescence microscopy.![]()
Each Vybrant Lipid Raft Labeling Kit contains sufficient reagents to label 50 live-cell samples in a 2 mL assay, including:
Because they are compatible with various multilabeling schemes, the Vybrant Lipid Raft Labeling Kits can also serve as important tools for identifying physiologically significant membrane proteins that associate with lipid rafts. Cells can be labeled with other live-cell probes during the lipid raft labeling protocol or immediately following the antibody crosslinking step, depending on the specific labeling requirements of the other probes. Alternatively, once the lipid rafts have been labeled and crosslinked, the cells can be fixed for long-term storage or fixed and permeabilized for subsequent labeling with antibodies or other probes that are impermeant to live cells.
The Amplex Red Sphingomyelinase Assay Kit (A12220) is designed for measuring sphingomyelinase activity in solution using a fluorescence microplate reader or fluorometer
(Figure 13.3.2). This assay should be useful for screening sphingomyelinase activators or inhibitors or for detecting sphingomyelinase activity in cell and tissue extracts. The assay, which uses natural sphingomyelin as the principal substrate, employs an enzyme-coupled detection scheme in which phosphocholine liberated by the action of sphingomyelinase is cleaved by alkaline phosphatase to generate choline. Choline is, in turn, oxidized by choline oxidase, generating H2O2, which drives the conversion of the Amplex Red reagent (A12222, A22177; Substrates for Oxidases, Including Amplex Red Kits—Section 10.5) to red-fluorescent resorufin. This sensitive assay technique has been employed to detect activation of acid sphingomyelinase associated with ultraviolet radiation–induced apoptosis
and to characterize an insecticidal sphingomyelinase C produced by Bacillus cereus.![]()
The Amplex Red Sphingomyelinase Assay Kit contains:
Each kit provides sufficient reagents for approximately 500 assays using a fluorescence microplate reader and a reaction volume of 200 µL per assay.
Figure 13.3.2 Measurement of sphingomyelinase activity using the Amplex Red Sphingomyelinase Assay Kit (A12220). Each reaction contained 50 µM Amplex Red reagent, 1 U/mL horseradish peroxidase (HRP), 0.1 U/mL choline oxidase, 4 U/mL of alkaline phosphatase, 0.25 mM sphingomyelin and the indicated amount of Staphylococcus aureus sphingomyelinase in 1X reaction buffer. Reactions were incubated at 37°C for one hour. Fluorescence was measured with a fluorescence microplate reader using excitation at 530 ± 12.5 nm and fluorescence detection at 590 ± 17.5 nm.
Most steroids are neutral lipids and, as such, localize primarily within the cell's membranes, in lipid vacuoles and bound to certain lipoproteins. Fluorescent analogs of these biomolecules, most of which are derived from BODIPY and NBD dyes, are highly lipophilic probes. One application of these probes is to detect enzymatic activity—either in vitro or in vivo—through hydrolysis of the fatty acid esters to fluorescent fatty acids.
Although the substrates and products in these enzyme assays typically have similar fluorescence properties, they are readily extracted by an organic solvent and separated by chromatography.
We have also developed sensitive fluorometric assays for cholesterol, cholesteryl esters and enzymes that metabolize natural cholesterol derivatives; the assay reagents and protocols are available in our Amplex Red Cholesterol Assay Kit (A12216) described below. A review of the cellular organization, functions and transport of cholesterol has recently been published.![]()
Cholesteryl esters consist of a fatty acid esterified to the 3β-hydroxyl group of cholesterol. These very nonpolar species are the predominant lipid components of atherosclerotic plaque and low- and high-density lipoprotein (LDL and HDL) cores. We offer cholesteryl esters of three of our BODIPY fatty acids—BODIPY FL C12 (C3927MP), BODIPY 542/563 C11 (C12680) and BODIPY 576/589 C11—all of which have long-wavelength visible emission. BODIPY FL cholesteryl ester can be used as a tracer of cholesterol transport and receptor-mediated endocytosis of lipoproteins by fluorescence microscopy
(
) and as a general nonexchangeable membrane marker. Addition of methyl β-cyclodextrin to BODIPY FL cholesteryl ester is reported to facilitate its uptake by cells and tissues.
Researchers have extensively used BODIPY FL cholesteryl ester to measure cholesteryl ester–transfer protein (CETP) activity using fluorescence microplate readers.
The longer-wavelength BODIPY 542/563 and BODIPY 576/589 cholesteryl esters likely have similar applications.
We offer an NBD-labeled cholesterol analog in which the fluorophore replaces the terminal segment of cholesterol's flexible alkyl tail. The environment-sensitive NBD fluorophore of the NBD cholesterol analog (N1148) localizes in the membrane's interior, unlike the anomalous positioning of NBD-labeled phospholipid acyl chains
(Figure 13.2.1B in Fatty Acid Analogs and Phospholipids—Section 13.2). As with other NBD lipid analogs, this probe is useful for investigating lipid transport processes
and lipid–protein interactions.
NBD cholesterol is selectively taken up by high-density lipoproteins via the scavenger receptor B1.
A lipid droplet–specific protein binds unesterified NBD cholesterol with extremely high affinity
(Kd = 2 nM).
The Amplex Red Cholesterol Assay Kit (A12216) provides an exceptionally sensitive assay for both cholesterol and cholesteryl esters in complex mixtures and is suitable for use with either fluorescence microplate readers or fluorometers. The assay provided in this kit can detect as little as 5 ng/mL (5 × 10-4 mg/dL) cholesterol (Figure 13.3.3) and can accurately measure the cholesterol or cholesteryl ester content in the equivalent of 0.01 µL of human serum.
The assay uses an enzyme-coupled reaction scheme in which cholesteryl esters are hydrolyzed by cholesterol esterase into cholesterol, which is then oxidized by cholesterol oxidase to yield H2O2 and the corresponding ketone steroidal product (Figure 13.3.4). The H2O2 is then detected using the Amplex Red reagent in combination with horseradish peroxidase (HRP).
The Amplex Red cholesterol assay is continuous and requires no separation or wash steps. These characteristics make the assay particularly well suited for the rapid and direct analysis of cholesterol in blood and food samples using automated instruments. By performing two separate measurements in the presence and absence of cholesterol esterase, this assay is also potentially useful for determining the fraction of cholesterol that is in the form of cholesteryl esters within a sample. In addition, by adding an excess of cholesterol to the reaction, this assay can be used to sensitively detect the activity of cholesterol oxidase.
The Amplex Red Cholesterol Assay Kit contains:
Each kit provides sufficient reagents for approximately 500 assays using a fluorescence microplate reader and a reaction volume of 100 µL per assay.
Figure 13.3.3 Detection of cholesterol using the Amplex Red Cholesterol Assay Kit (A12216). Each reaction contained 150 µM Amplex Red reagent, 1 U/mL horseradish peroxidase (HRP), 1 U/mL cholesterol oxidase, 1 U/mL cholesterol esterease and the indicated amount of cholesterol in reaction buffer. Reactions were incubated at 37°C for 30 minutes. Fluorescence was measured with a fluorescence microplate reader using excitation at 560 ± 10 nm and fluorescence detection at 590 ± 10 nm. The insert above shows the high sensitivity and excellent linearity of the assay at low cholesterol levels (0–10 ng/mL).
The fluorescent triacylglycerol 1,2-dioleoyl-3-(1-pyrenedodecanoyl)-rac-glycerol has a pyrene fatty acid ester replacing one of the three fatty acyl residues of a natural triacylglycerol. Pyrene has the important spectral property of forming excimers (Figure 13.3.5) when two fluorophores are in close proximity during the excited state. Pyrene triacylglycerols are useful for measuring cholesteryl ester transfer protein–mediated triacylglycerol transport between plasma lipoproteins.
They are also excellent substrates for lipoprotein lipase and hepatic triacylglycerol lipase.![]()
![]() | Figure 13.3.5 Excimer formation by pyrene in ethanol. Spectra are normalized to the 371.5 nm peak of the monomer. All spectra are essentially identical below 400 nm after normalization. Spectra are as follows: 1) 2 mM pyrene, purged with argon to remove oxygen; 2) 2 mM pyrene, air-equilibrated; 3) 0.5 mM pyrene (argon-purged); and 4) 2 µM pyrene (argon-purged). The monomer-to-excimer ratio (371.5 nm/470 nm) is dependent on both pyrene concentration and the excited-state lifetime, which is variable because of quenching by oxygen. |
We offer fluorescent conjugates of lipopolysaccharides (LPS) from Escherichia coli and Salmonella minnesota (Probes for Following Receptor Binding and Phagocytosis—Section 16.1, Fluorescent lipopolysaccharide conjugates—Table 16.1), including:
LPS, also known as endotoxins, are a family of complex glycolipid molecules located on the surface of gram-negative bacteria. LPS play a large role in protecting the bacterium from host defense mechanisms and antibiotics. Binding of LPS to the CD14 cell-surface receptor of phagocytes (Figure 13.3.6) is the key initiation step in the mammalian immune response to infection by gram-negative bacteria. The structural core of LPS, and the primary determinant of its biological activity, is an N-acetylglucosamine derivative, lipid A (Figure 13.3.7). Two plasma proteins, LPS-binding protein (LBP) and soluble CD14 (sCD14), play primary roles in transporting LPS and mediating cellular responses.
If the fatty acid residues are removed from the lipid A component, the toxicity of the LPS can be reduced significantly, however, the mono- or diphosphoryl forms of lipid A are inherently toxic. In many gram-negative bacterial infections, LPS are responsible for clinically significant symptoms like fever, low blood pressure and tissue edema, which can lead to disseminated intravascular coagulation, organ failure and death. Studies also clearly indicate that LPS induce various signal transduction pathways, including those involving protein kinase C
and protein myristoylation,
and stimulate a variety of immunochemical responses, including B lymphocyte
and G-protein activation.![]()
The fluorescent Alexa Fluor LPS conjugates, which are labeled with succinimidyl esters of these dyes, allow researchers to follow LPS binding, transport and cell internalization processes. Lipopolysaccharide internalization activates endotoxin-dependent signal transduction in cardiomyocytes.
The Alexa Fluor 488 LPS conjugates (L23351, L23356) selectively label microglia in a mixed culture containing oligodendrocyte precursors, astrocytes and microglia.
A biologically active conjugate of galactose oxidase–oxidized S. minnesota LPS and our Alexa Fluor 488 hydrazide (A10436, Reagents for Modifying Aldehydes and Ketones—Section 3.3) has been used to elucidate molecular mechanisms of septic shock.![]()
The BODIPY FL derivative of LPS from E. coli strain LCD25 was used to measure the transfer rate of LPS from monocytes to high-density lipoprotein
(HDL). Another study utilized a BODIPY FL derivative of LPS from S. minnesota to demonstrate transport to the Golgi apparatus in neutrophils,
although this could have been due to probe metabolism. It has been reported that organelles other than the Golgi are labeled by some fluorescent or nonfluorescent LPS.
Cationic lipids are reported to assist the translocation of fluorescent lipopolysaccharides into live cells;
cell surface–bound LPS can be quenched by trypan blue.
Molecular Probes fluorescent LPS can potentially be combined with other fluorescent indicators, such as Ca2+-, pH- or organelle-specific stains, for monitoring intracellular localization and real-time changes in cellular response to LPS.
Figure 13.3.6 Flow cytometry analysis of blood using an Alexa Fluor 488 lipopolysaccharide (LPS). Human blood was incubated with Alexa Fluor 488 LPS from Escherichia coli (L23351) and anti-CD14 antibody on ice for 20 minutes. The red blood cells were lysed and the sample was analyzed on a flow cytometer equipped with a 488 nm Ar-Kr excitation source and a 525 ± 12 nm bandpass emission filter. Monocytes were identified based on their light scatter and CD14 expression.
Figure 13.3.7 Structure of the lipid A component of Salmonella minnesota lipopolysaccharide.
The Pro-Q Emerald 300 Lipopolysaccharide Gel Stain Kit (P20495) provides a simple, rapid and highly sensitive method for staining lipopolysaccharides (LPS) in gels (Figure 13.3.8, Figure 13.3.9, Figure 13.3.10). The structure of this important class of molecules can be analyzed by SDS-polyacrylamide gel electrophoresis, during which the heterogeneous mixture of polymers separates into a characteristic ladder pattern. This ladder has conventionally been detected using silver staining.
However, despite the long and complex procedures required, silver staining provides poor sensitivity and cannot differentiate LPS from proteins in the sample. An alternative staining method that makes use of the reaction of the carbohydrates with detectable hydrazides obtains higher sensitivity, but requires blotting to a membrane and time- and labor-intensive procedures.![]()
By comparison, the staining technology used in the Pro-Q Emerald 300 Lipopolysaccharide Gel Stain Kit vastly simplifies detection of LPS in SDS-polyacrylamide gels. The key to this novel methodology is our bright green-fluorescent Pro-Q Emerald 300 dye, which covalently binds to periodate-oxidized carbohydrates of LPS. This dye allows the detection of as little as 200 pg of LPS in just a few hours using a simple UV transilluminator. The sensitivity is at least 50–100 times that of silver staining and requires much less hands-on time. This dye is also used in our Pro-Q Emerald 300 Glycoprotein Stain Kits (P21855, P21857; Detecting Protein Modifications—Section 9.4) and may be useful for detection of other molecules containing carbohydrates or aldehydes.
The Pro-Q Emerald 300 Lipopolysaccharide Gel Stain Kit contains:
Sufficient materials are supplied to stain ten 8 cm × 10 cm gels, 0.5–0.75 mm thick.
Figure 13.3.8 Lipopolysaccharide staining with the Pro-Q Emerald 300 Lipopolysaccharide Gel Stain Kit. Lipopolysaccharides (LPS) were electrophoresed through a 13% acrylamide gel and stained using the Pro-Q Emerald 300 Lipopolysaccharide Gel Stain Kit (P20495). From left to right, the lanes contain: CandyCane glycoprotein molecular weight standards (~250 ng/band), blank, 4, 1 and 0.25 µg of LPS from Escherichia coli smooth serotype 055:B5 and 4, 1 and 0.25 µg of LPS from E. coli rough mutant EH100 (Ra mutant).
Figure 13.3.9 Characterization of lipopolysaccharides. Lipopolysaccharides (LPS) from Escherichia coli smooth serotype 055:B5 were loaded onto a 13% polyacrylamide gel. Following electrophoresis, the gel was stained using the Pro-Q Emerald 300 Lipopolysaccharide Gel Stain Kit (P20495), and the fluorescence was measured for the lane. A plot of fluorescence signal versus the relative distance from the dye front shows a characteristic laddering profile for smooth-type LPS.
Figure 13.3.10 Linearity of the Pro-Q Emerald 300 stain for lipopolysaccharide (LPS) detection. A dilution series of lipopolysaccharides from Escherichia coli smooth serotype 055:B5 was loaded onto a 13% polyacrylamide gel. Following electrophoresis, the gel was stained using the Pro-Q Emerald 300 Lipopolysaccharide Gel Stain Kit (P20495) and the same band from each lane was quantitated using a CCD camera. A plot of the fluorescence intensity versus the mass of LPS loaded shows a linear range over two orders of magnitude.
For a detailed explanation of column headings, see Definitions of Data Table Contents
| Cat # | MW | Storage | Soluble | Abs | EC | Em | Solvent | Notes |
|---|---|---|---|---|---|---|---|---|
| B13950 BODIPY FL C5-ganglioside GM1 | 1582.50 | F,D,L | DMSO, EtOH | 505 | 80,000 | 512 | MeOH | 1 |
| B22650 BODIPY FL C5-ceramide complexed to BSA | ~66,000 | F,D,L | H2O | 505 | 91,000 | 511 | MeOH | 1, 2 |
| B34400 BODIPY TR ceramide complexed to BSA | ~66,000 | F,D,L | H2O | 589 | 65,000 | 616 | MeOH | 2 |
| BODIPY FL C5-ganglioside GM1 complexed to BSA | ~66,000 | F,D,L | H2O | 505 | 80,000 | 512 | MeOH | 1, 2 |
| B34402 BODIPY FL C5-lactosylceramide complexed to BSA | ~66,000 | F,D,L | H2O | 505 | 80,000 | 511 | MeOH | 1, 2 |
| C3927MP cholesteryl BODIPY FL C12 | 786.98 | F,D,L | CHCl3 | 505 | 86,000 | 511 | MeOH | 3 |
| C12680 cholesteryl BODIPY 542/563 C11 | 851.02 | F,D,L | CHCl3 | 543 | 57,000 | 563 | MeOH | 3 |
| cholesteryl BODIPY 576/589 C11 | 809.97 | F,D,L | CHCl3 | 579 | 98,000 | 590 | MeOH | 3 |
| D3521 BODIPY FL C5-ceramide | 601.63 | FF,D,L | CHCl3, DMSO | 505 | 91,000 | 511 | MeOH | 1 |
| D3522 BODIPY FL C5-sphingomyelin | 766.75 | FF,D,L | see Notes | 505 | 77,000 | 512 | MeOH | 1, 4 |
| 1,2-dioleoyl-3-(1-pyrenedodecanoyl)-rac-glycerol | 1003.54 | FF,D,L,A | CHCl3 | 341 | 40,000 | 376 | MeOH | 5, 6 |
| BODIPY FL C12-galactocerebroside | 861.96 | FF,D,L | DMSO, EtOH | 505 | 85,000 | 511 | MeOH | 1 |
| D7540 BODIPY TR ceramide | 705.71 | FF,D,L | CHCl3, DMSO | 589 | 65,000 | 616 | MeOH | |
| D7711 BODIPY FL C12-sphingomyelin | 864.94 | FF,D,L | DMSO | 505 | 75,000 | 513 | MeOH | 1, 7 |
| BODIPY FL C5-ceramide | 925.91 | FF,D,L | DMSO, EtOH | 505 | 80,000 | 511 | MeOH | 1 |
| N1148 NBD cholesterol | 494.63 | L | CHCl3, MeCN | 469 | 21,000 | 537 | MeOH | 8 |
| N1154 NBD C6-ceramide | 575.75 | FF,D,L | CHCl3, DMSO | 466 | 22,000 | 536 | MeOH | 8 |
| NBD C6-sphingomyelin | 740.88 | FF,D,L | see Notes | 466 | 22,000 | 536 | MeOH | 4, 8 |
| N22651 NBD C6-ceramide complexed to BSA | ~66,000 | F,D,L | H2O | 466 | 22,000 | 536 | MeOH | 2, 8 |
| ||||||||
仅供科研使用,不可用于诊断目的。








