Search
Search
Lipids and lipid metabolites are abundant in cells and have both a structural function and a role in cell regulation. Phospholipases, in particular, play an important part in cellular signaling processes via the generation of second messengers such as diacylglycerols, arachidonate and inositol 1,4,5-triphosphate
(Ins 1,4,5-P3, I3716; Calcium Regulation—Section 17.2). In addition, phospholipase A2 activation is a key step in inflammation processes, and phospholipase A2 plays major roles in bacterial virulence and in the pathogenesis of acute respiratory distress syndrome
(ARDS), making this class of enzymes important therapeutic targets.![]()
Phospholipases are classified according to the cleavage site on the phospholipid substrate (Figure 17.4.1). There are at least three types of fluorescence-based phospholipase detection methods:![]()
- Continuous methods, which permit direct fluorometric monitoring of enzymatic activity using self-quenching or excimer-forming probes
- Methods that continuously detect nonfluorescent product formation from natural phospholipids, such as detection of fatty acids with our ADIFAB reagent or enzyme-coupled detection of choline with our Amplex Red Phospholipase Assay Kits
- Discontinuous methods, which require resolution of fluorescent substrates and products by TLC, HPLC or other separation techniques
Fluorescence-based phospholipase assays—Table 17.3 summarizes Molecular Probes products for fluorescence-based phospholipase assays. Other applications for our wide range of fluorescent phospholipids are described in Probes for Lipids and Membranes—Chapter 13.
Figure 17.4.1 Cleavage specificities of phospholipases. R1 and R2 are typically saturated or unsaturated aliphatic groups. The polar head group R3 can be choline, ethanolamine, glycerol, inositol, inositol phosphate, serine or other alcohols.
The importance of phospholipases in cellular signaling, lipid metabolism, inflammatory responses and pathological disorders related to these processes has stimulated demand for fluorescence-based enzyme activity monitoring methods. Several of the fluorogenic phospholipase A substrates described here are designed to provide continuous monitoring of phospholipase A activity in purified enzyme preparations, cell lysates and live cells; applications of some of these substrates extend as far as in vivo small animal imaging.
The phospholipase A substrates are generally dye-labeled phospholipids of two types—glycerophosphocholines with BODIPY dye–labeled sn-1 or sn-2 (or both) acyl or alkyl chains and glycerophosphoethanoloamines with BODIPY dye–labeled acyl chains and dinitrophenyl quencher–modified head groups (Figure 17.4.5). These structural variations determine specificity for phospholipase A1 (which hydrolyzes the sn-1 ester linkage between phospholipids and fatty acids) versus phospholipase A2 (which hydrolyzes the sn-2 ester linkage between phospholipids and fatty acids, Figure 17.4.1), and the fluorescence response associated with enzymatic cleavage of the substrate (Fluorescence-based phospholipase assays—Table 17.3).
PED-A1 (A10070) is a fluorogenic substrate designed to provide specific, real-time monitoring of phospholipase A1 activity in purified enzyme preparations, cell lysates and live cells.
PED-A1 is comprised of a dinitrophenyl quencher–modified glycerophosphoethanolamine head group and a green-fluorescent BODIPY FL dye–labeled acyl chain at the sn-1 position. Upon cleavage by phospholipase A1, PED-A1 exhibits an increase in green fluorescence (measured at excitation/emission = 488/530 nm). Phospholipase A1 specificity is imparted by the placement of the BODIPY FL acyl chain in the sn-1 position and by incorporation of an acyl group with an enzymatic-resistant (noncleavable) ether linkage in the sn-2 position.
The EnzChek Phospholipase A1 Assay Kit (E10219, E10221) provides a simple, fluorometric method for continuous monitoring of phospholipase A1 activity based on the phospholipase A1–specific PED-A1 substrate (A10070, described above). The EnzChek Phospholipase A1 Assay Kit can detect phospholipase A1 activity at 0.04 U/mL or lower (Figure 17.4.2). This microplate-based assay is well suited for rapid and direct analysis of phospholipase A1 in purified enzyme preparations and cell lysates using automated instrumentation, as well as for characterizing phospholipase A1 inhibitors.
Each EnzChek Phospholipase A1 Assay Kit (2-plate size, E10219; 10-plate size, E10221) provides:
- PED-A1 phospholipase A1 substrate
- Phospholipase A1 (Lecitase Ultra)
- Concentrated phospholipase A1 reaction buffer
- Dioleoylphosphatidylcholine (DOPC)
- Dioleoylphosphatidylglycerol (DOPG)
- Dimethylsulfoxide (DMSO)
- Detailed assay protocols (EnzChek Phospholipase A1 Assay Kit)
The 2-plate assay kit provides sufficient reagents for 200 reactions in 96-well microplates at a volume of 100 µL per well or 800 reactions using low-volume 384-well microplates at a volume of ≤25 µL per well. The 10-plate assay kit provides sufficient reagents for 1000 reactions in 96-well microplates at a volume of 100 µL per well or 4000 reactions using low-volume 384-well microplates at a volume of ≤25 µL per well.
Figure 17.4.2 Detection of phospholipase A1 (PLA1) using the EnzChek Phospholipase A1 Assay Kit (E10219, E10221). PLA1 reactions were run at ambient temperature with liposomes for 30 minutes according to the assay protocol provided, and fluorescence emission was measured using 460 nm excitation on a Spectra Max M5 (Molecular Devices). Background fluorescence determined for the no-enzyme control reaction has been subtracted.
Red/Green BODIPY PC-A2 (A10072) is a ratiometric fluorogenic substrate designed to provide selective, real-time monitoring of phospholipase A2 activity in purified enzyme preparations, cell lysates and live cells. Cleavage of the BODIPY FL pentanoic acid substituent at the sn-2 position results in decreased quenching by fluorescence resonance energy transfer (FRET) of the BODIPY 558/568 dye attached at the sn-1 position. Thus, upon cleavage by phospholipase A2, Red/Green BODIPY PC-A2 exhibits an increase in BODIPY FL fluorescence, detected from 515–545 nm (Figure 17.4.3). The FRET-sensitized BODIPY 558/568 fluorescence signal is expected to show a reciprocal decrease; in practice, however, this longer-wavelength fluorescence may show a decrease or a slight increase, depending on the formulation of the substrate and the instrument wavelength settings. The ratiometric detection mode of this substrate (emission intensity ratio at 515⁄575 nm with excitation at ~460 nm) allows measurements of phospholipase A2 activity that are essentially independent of instrumentation and assay conditions. The dual-emission properties of this substrate also provide the capacity to localize the lysophospholipid and fatty acid products of the phospholipase A2 cleavage via their distinct spectroscopic signatures in imaging experiments.
Figure 17.4.3 Fluorescence emission spectra (excitation at 480 nm) of Red/Green BODIPY PC-A2 phospholipase A2 substrate (A10072) incorporated in liposomes with addition of bee venom phospholipase A2 at ambient temperature.
The EnzChek Phospholipase A2 Assay Kit (E10217, E10218) provides a simple, fluorometric method for continuous monitoring of phospholipase A2 activity based on the phospholipase A2–selective Red/Green BODIPY PC-A2 (A10072, described above). This phospholipase A2 assay can be used in an intensity-based detection mode, by following the fluorescence increase at ~515 nm, or in a ratiometric-based detection mode, by following the changes in the emission intensity ratio at 515/575 nm with excitation at ~460 nm (Figure 17.4.4). The EnzChek Phospholipase A2 Assay Kit can detect bee venom phospholipase A2activity at 0.05 U/mL or lower (Figure 17.4.4). This microplate-based assay is well suited for rapid and direct analysis of phospholipase A2 in purified enzyme preparations and cell lysates using automated instrumentation, as well as for characterizing phospholipase A2 inhibitors.
Each EnzChek Phospholipase A2 Assay Kit (2-plate size, E10217; 10-plate size, E10218) provides:
The 2-plate assay kit provides sufficient reagents for 200 reactions in 96-well microplates at a volume of 100 µL per well or 800 reactions using low-volume 384-well microplates at a volume of ≤25 µL per well. The 10-plate assay kit provides sufficient reagents for 1000 reactions in 96-well microplates at a volume of 100 µL per well or 4000 reactions using low-volume 384-well microplates at a volume of ≤25 µL per well.
Figure 17.4.4 Detection of phospholipase A2 (PLA2) using the EnzChek Phospholipase A2 Assay Kit (E10217, E10218). PLA2 reactions were run at ambient temperature with liposomes for 10 minutes according to the assay protocol provided, and fluorescence emission was measured using 460 nm excitation on a Spectra Max M5 (Molecular Devices). Background fluorescence determined for the no-enzyme control reaction has been subtracted. Top panel shows ratiometric-based (515/575 nm) detection mode; bottom panel shows intensity-based (515 nm channel) detection mode. Background fluorescence determined for the no-enzyme control reaction has been subtracted for each value.
PED6 (D23739) is a fluorogenic substrate for phospholipase A2 incorporating a BODIPY FL dye–labeled sn-2 acyl chain and a dinitrophenyl quencher–labeled head group
(Figure 17.4.5). Cleavage of the dye-labeled acyl chain by phospholipase A2eliminates the intramolecular quenching effect of the dinitrophenyl group, resulting in a corresponding fluorescence increase. Continuous kinetic assays show PED6 to be a good substrate for both secreted and cytosolic phospholipase A2 and platelet-activating factor acetylhydrolase.
PED6 has been used by Steven Farber and co-workers for in vivo analysis of intestinal lipid metabolism in zebrafish larvae as a basis for identifying and screening mutant phenotypes
(
). PED6 is also useful for high-throughput screening of potential phospholipase A2 inhibitors or activators.
The bis-BODIPY phospholipase A substrate—bis-BODIPY FL glycerophosphocholine (bis-BODIPY FL C11-PC, B7701)—has been specifically designed to allow continuous monitoring of phospholipase A action and to be spectrally compatible with argon-ion laser excitation sources.
When this probe is incorporated into cell membranes, the proximity of the BODIPY FL fluorophores on adjacent phospholipid acyl chains causes fluorescence self-quenching (Figure 17.4.5). Separation of the fluorophores upon hydrolytic cleavage of one of the acyl chains by either phospholipase A1 or A2 results in increased fluorescence. Bis-BODIPY FL C11-PC has been developed in collaboration with Elizabeth Simons, who has successfully employed it for flow cytometric detection of phospholipase A activity in neutrophils.
More recently, bis-BODIPY FL C11-PC has been used to detect phospholipase A2 activation induced by tumor necrosis factor (TNF)
and for high-throughput assays of endothelial lipase, a critical determinant of HDL cholesterol levels.![]()
Specificity for phospholipase A2 versus phospholipase A1 can be obtained using phospholipids with nonhydrolyzable, ether-linked alkyl chains in the sn-1 position. A 1-O-alkyl–substituted phospholipid containing the BODIPY FL fluorophore (D3771) is a useful substrate for a phospholipase A2–specific chromatographic assay.![]()
The singly labeled BODIPY phospholipase A2 substrate—β-BODIPY FL C5-HPC (D3803)—has been used to quantitatively delineate a discontinuous increase of Ca2+-dependent cytosolic phospholipase A2 (cPLA2) activity during zebrafish embryogenesis. The analytical method developed for this study uses a fluorescence image scanner to quantitatively detect the free BODIPY FL dye–labeled fatty acid generated by the action of cPLA2
(
).
Our bis-pyrenyl phospholipase A probes (B3781, B3782) both emit at ~470 nm, indicating that their adjacent pyrene fluorophores form excited-state dimers (Figure 17.4.6). Phospholipase A–mediated hydrolysis separates the fluorophores, which then emit as monomers at ~380 nm.
These substrates have proven to be effective phospholipase A2 substrates in model membrane systems (Fluorescence-based phospholipase assays—Table 17.3); however, it has been reported that 1,2-bis-(1-pyrenebutanoyl)-sn-glycero-3-phosphocholine (B3781) is highly resistant to degradation by phospholipases in human skin fibroblasts.
1,2-Bis-(1-pyrenebutanoyl)-sn-glycero-3-phosphocholine has been used in a sensitive, continuous assay for lecithin:cholesterol acyltransferase
(LCAT).
Excimer formation by pyrene in ethanol. Spectra are normalized to the 371.5 nm peak of the monomer. All spectra are essentially identical below 400 nm after normalization. Spectra are as follows: 1) 2 mM pyrene, purged with argon to remove oxygen; 2) 2 mM pyrene, air-equilibrated; 3) 0.5 mM pyrene (argon-purged); and 4) 2 µM pyrene (argon-purged). The monomer-to-excimer ratio (371.5 nm/470 nm) is dependent on both pyrene concentration and the excited-state lifetime, which is variable because of quenching by oxygen.
Singly Labeled Pyrenyl and NBD Phospholipase A2 Substrates Phospholipase A2 activity has also been measured using phospholipids labeled with a single pyrene (H361, structure; H3809, structure) or NBD (N3786; N3787, structure) fluorophore (Fluorescence-based phospholipase assays—Table 17.3). Because only the sn-2 phospholipid acyl chain is labeled, these probes can discriminate between phospholipase A2 and phospholipase A1 activity. To obtain a direct fluorescence response to enzymatic cleavage, sufficient phospholipid must be loaded into membranes to cause either intermolecular self-quenching (NBD-acyl phospholipids) or excimer formation ref (pyreneacyl phospholipids). Pyrene-labeled acidic phospholipids—particularly the phosphoglycerol derivative ref (H3809)—are preferred as substrates by pancreatic and intestinal phospholipase A2, whereas labeled phosphocholine (H361, structure) is preferred by phospholipase A2 from snake venom.ref ADIFAB: A Different View of Phospholipase A Activity The ADIFAB fatty acid indicator (A3880, Figure 17.4.7) functions as a fluorescent sensor for the free fatty acid cleavage products of phospholipases.ref It does not require membrane loading and can be used to monitor hydrolysis of natural (rather than synthetic) substrates. Assaying lysophospholipase activity with ADIFAB yields sensitivity comparable to radioisotopic methods.ref Richieri and Kleinfeld have described a methodology for using the ADIFAB reagent to measure the activity of phospholipase A2 on cell and lipid-vesicle membranes; their assay is capable of detecting hydrolysis rates as low as 10–12 mole/minute.ref See below for more information on the ADIFAB fatty acid indicator. Ribbon representation of the ADIFAB Figure 17.4.7. Ribbon representation of the ADIFAB free fatty acid indicator (A3880). In the left-hand image, the fatty acid binding site of intestinal fatty acid–binding protein (yellow) is occupied by a covalently attached acrylodan fluorophore (blue). In the right-hand image, a fatty acid molecule (gray) binds to the protein, displacing the fluorophore (green) and producing a shift of its fluorescence emission spectrum. Image contributed by Alan Kleinfeld, FFA Sciences LLC, San Diego.
Figure 17.4.7. Ribbon representation of the ADIFAB free fatty acid indicator (A3880). In the left-hand image, the fatty acid binding site of intestinal fatty acid–binding protein (yellow) is occupied by a covalently attached acrylodan fluorophore (blue). In the right-hand image, a fatty acid molecule (gray) binds to the protein, displacing the fluorophore (green) and producing a shift of its fluorescence emission spectrum. Image contributed by Alan Kleinfeld, FFA Sciences LLC, San Diego.
The EnzChek Direct Phospholipase C Assay Kit (E10215, E10216) provides a simple and robust microplate-based method for monitoring phosphatidylcholine-specific phospholipase C (PC-PLC) activity in purified enzyme preparations. PC-PLC plays a crucial role in many cell signaling pathways involved in apoptosis and cell survival, as well as in diseases as diverse as cancer and HIV. This assay uses a proprietary substrate (glycerophosphoethanolamine with a dye-labeled sn-2 acyl chain) to detect PC-PLC activity. Substrate cleavage by PC-PLC releases the dye-labeled diacylglycerol, which produces a positive fluorescence signal that can be measured continuously using a fluorescence microplate reader. The reaction product has fluorescence excitation and emission maxima of 509 nm and 516 nm, respectively.
The EnzChek Direct Phospholipase C Assay Kit has been optimized using purified PC-PLC from Bacillus cereus. This assay may be amenable for use with cells and cell lysates, although the presence of phospholipase A2 or phospholipase D activity can potentially result in confounding signal enhancement. Using the EnzChek Direct Phospholipase C Assay Kit with purified enzyme from Bacillus cereus, we can typically detect as little as 10 mU/mL PC-PLC after one hour incubation at room temperature (Figure 17.4.8). This kit is also useful for characterizing PC-PLC inhibition, and because it offers a direct measurement, the potential for false positives in a compound screen is reduced.
Each EnzChek Direct Phospholipase C Assay Kit (2-plate size, E10215; 10-plate size, E10216) provides:
- Phosphatidylcholine-specific phospholipase C (PC-PLC) substrate
- Phospholipase C from Bacillus cereus
- Concentrated phospholipase C reaction buffer
- Phosphatidylcholine (lecithin)
- Dimethylsulfoxide (DMSO)
- Detailed assay protocols (EnzChek Direct Phospholipase C Assay Kit)
The 2-plate assay kit provides sufficient reagents for 200 reactions in 96-well microplates at a volume of 200 µL per well or 2000 reactions using low-volume 384-well microplates at a volume of 20 µL per well. The 10-plate assay kit provides sufficient reagents for 1000 reactions in 96-well microplates at a volume of 200 µL per well or 10,000 reactions using low-volume 384-well microplates at a volume of 20 µL per well.
The Amplex Red Phosphatidylcholine-Specific Phospholipase C Assay Kit (A12218) provides a sensitive method for continuously monitoring phosphatidylcholine-specific phospholipase C (PC-PLC) activity in vitro using a fluorescence microplate reader or fluorometer.
In this enzyme-coupled assay, PC-PLC activity is monitored indirectly using the Amplex Red reagent, a sensitive fluorogenic probe for H2O2 (Substrates for Oxidases, Including Amplex Red Kits—Section 10.5). First, PC-PLC converts the phosphatidylcholine (lecithin) substrate to form phosphocholine and diacylglycerol. After the action of alkaline phosphatase, which hydrolyzes phosphocholine to inorganic phosphate and choline, choline is oxidized by choline oxidase to betaine and H2O2. Finally, H2O2, in the presence of horseradish peroxidase, reacts with the Amplex Red reagent in a 1:1 stoichiometry to generate the highly fluorescent product, resorufin. Because resorufin has absorption and fluorescence emission maxima of approximately 571 nm and 585 nm, respectively, there is little interference from autofluorescence in most biological samples.
The Amplex Red Phosphatidylcholine-Specific Phospholipase C Assay Kit is potentially useful for detecting PC-PLC activity in cell extracts and for screening PC-PLC inhibitors. Experiments with purified PC-PLC from Bacillus cereus indicate that the Amplex Red Phosphatidylcholine-Specific Phospholipase C Assay Kit can detect PC-PLC levels as low as 0.2 mU/mL using a reaction time of one hour (Figure 17.4.9). One unit of PC-PLC is defined as the amount of enzyme that will liberate 1.0 micromole of water-soluble organic phosphorus from L-α-phosphatidylcholine per minute at pH 7.3 at 37°C.
Each Amplex Red Phosphatidylcholine-Specific Phospholipase C Assay Kit includes:
Each kit provides sufficient reagents for approximately 500 assays using a fluorescence microplate reader and a reaction volume of 200 µL per assay.
Figure 17.4.2 Detection of phospholipase A1 (PLA1) using the EnzChek Phospholipase A1 Assay Kit (E10219, E10221). PLA1 reactions were run at ambient temperature with liposomes for 30 minutes according to the assay protocol provided, and fluorescence emission was measured using 460 nm excitation on a Spectra Max M5 (Molecular Devices). Background fluorescence determined for the no-enzyme control reaction has been subtracted.
Phosphatidylinositol-specific phospholipase C (PI-PLC, EC 3.1.4.10) from Bacillus cereus cleaves phosphatidylinositol (PI), yielding water-soluble D-myo-inositol 1,2-cyclic monophosphate and lipid-soluble diacylglycerol.
This enzyme also functions to release enzymes that are linked to glycosylphosphatidylinositol (GPI) membrane anchors. We offer highly purified B. cereus PI-PLC (P6466), which has been used in studies of PI synthesis and export across the plasma membrane.
PI-PLC generates diacylglycerols for PKC-linked signal transduction studies
and provides an efficient means of releasing most GPI-anchored proteins from cell surfaces under conditions in which the cells remain viable.![]()
The Amplex Red Phospholipase D Assay Kit (A12219) provides a sensitive method for measuring phospholipase D (PLD) activity in vitro using a fluorescence microplate reader or fluorometer.
In this enzyme-coupled assay, PLD activity is monitored indirectly using the Amplex Red reagent (Substrates for Oxidases, Including Amplex Red Kits—Section 10.5). First, PLD cleaves the phosphatidylcholine (lecithin) substrate to yield choline and phosphatidic acid. Second, choline is oxidized by choline oxidase to betaine and H2O2. Finally, H2O2, in the presence of horseradish peroxidase, reacts with the Amplex Red reagent to generate the highly fluorescent product, resorufin (excitation/emission maxima ~571/585 nm).
The Amplex Red Phospholipase D Assay Kit is designed for detecting PLD activity in cell extracts and for screening PLD inhibitors. This kit can be used to continuously assay PLD enzymes with near-neutral pH optima, whereas PLD enzymes with acidic pH optima can be assayed in a simple two-step procedure. Experiments with purified PLD from Streptomyces chromofuscus indicate that the Amplex Red Phospholipase D Assay Kit can detect PLD levels as low as 10 mU/mL using a reaction time of one hour (Figure 17.4.10). One unit of PLD is defined as the amount of enzyme that will liberate 1.0 µmole of choline from L-α-phosphatidylcholine per minute at pH 8.0 at 30°C. Each Amplex Red Phospholipase D Assay Kit includes:
- Amplex Red reagent
- Dimethylsulfoxide (DMSO)
- Horseradish peroxidase (HRP)
- H2O2 for use as a positive control
- Concentrated reaction buffer
- Choline oxidase from Alcaligenes sp.
- L-α-Phosphatidylcholine (lecithin)
- Detailed protocols (Amplex Red Phospholipase D Assay Kit)
Each kit provides sufficient reagents for approximately 500 assays using a fluorescence microplate reader and a reaction volume of 200 µL per assay.
![]() | Figure 17.4.10 Quantitation of phospholipase D from Streptomyces chromofuscus using the Amplex Red Phospholipase D Assay Kit (A12219). Fluorescence was measured with a fluorescence microplate reader using excitation at 530 ± 12.5 nm and fluorescence detection at 590 ± 17.5 nm. The inset shows the sensitivity at very low enzyme concentrations (0–25 mU/mL). |
The products of phospholipase A2, C and D cleavage of 1-O-alkyl-2-decanoyl-sn-glycero-3-phosphocholine labeled with the BODIPY FL fluorophore (D3771) can be separated and independently quantitated based on their differential migration on TLC or HPLC.
Our BODIPY FL analog is preferred for this application because it is relatively photostable and the fluorescence properties of its different enzymatic products are all very similar.
Researchers have taken advantage of these features to detect and quantitate phospholipase D activity in vascular smooth muscle cells,
cultured mammalian cells
and yeast.![]()
The triacylglycerol-based EnzChek lipase substrate (E33955) offers higher throughput and better sensitivity than chromogenic (TLC or HPLC) assays, and a visible light–excitable alternative to 6,8-difluoro-4-methylumbelliferyl octanoate (DiFMU octanoate, D12200; Substrates for Microsomal Dealkylases, Acetyltransferases, Luciferases , and Other Enzymes—Section 10.6). In the presence of lipases, the nonfluorescent EnzChek lipase substrate produces a bright, green-fluorescent product (excitation/emission maxima of ~505/515 nm) for the accurate and sensitive detection of lipase activity in solution.
Phosphatidylinositol (PI or PtdIns) and its phosphorylated derivatives represent only a small fraction of eukaryotic cellular phospholipids but are functionally significant in a disproportionately large number of regulatory and signal transduction processes.
The most familiar of these processes is the phospholipase C–mediated generation of the ubiquitous second messengers inositol 1,4,5-triphosphate (InsP3) and diacylglycerol (DAG) from phosphatidylinositol 4,5-diphosphate (PtdIns(4,5)P2; Calcium Regulation—Section 17.2). Research has revealed the direct action of phosphatidylinositol 4,5-diphosphate (PtdIns(4,5)P2) and phosphatidylinositol 3,4,5-triphosphate (PtdIns(3,4,5)P3) on a diverse array of cellular functions, including actin assembly and cytoskeletal dynamics, vesicular protein trafficking, protein kinase localization and activation, cell proliferation and apoptosis. We offer mouse monoclonal IgM antibodies to PtdIns(4,5)P2 (A21327) and PtdIns(3,4,5)P3 (A21328) for immunocytochemical localization of these important lipid metabolites.
Both antibodies have been shown to recognize their cognate phosphoinositides in murine and human cells with only slight crossreactivity with other phosphoinositides or phospholipids.
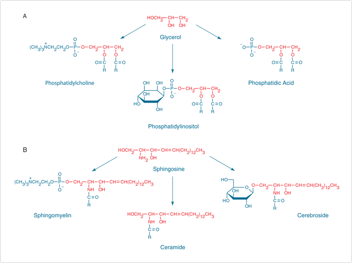
Sphingolipids include sphingomyelins, which are phospholipid analogs, as well as ceramides, glycosyl ceramides (cerebrosides), gangliosides and other derivatives (Figure 17.4.11). Several excellent reviews of the chemistry and biology of sphingolipids and glycosphingolipids and their role in the process of signal transduction are available.![]()
Ceramides (N-acylsphingosines), like diacylglycerols, are lipid second messengers that function in signal transduction processes.
The concentration-dependent spectral properties of BODIPY FL C5-ceramide (D3521, B22650), BODIPY FL C5-sphingomyelin
(D3522) and BODIPY FL C12-sphingomyelin
(D7711) make them particularly suitable for investigating sphingolipid transport and metabolism,
in addition to their applications as structural markers for the Golgi complex
(Probes for the Endoplasmic Reticulum and Golgi Apparatus—Section 12.4). BODIPY FL C5-ceramide can be visualized by fluorescence microscopy
(
,
) or by electron microscopy following diaminobenzidine (DAB) photoconversion to an electron-dense product.
(Fluorescent Probes for Photoconversion of Diaminobenzidine Reagents—Note 14.2).
Our range of BODIPY sphingolipids also includes the long-wavelength light–excitable BODIPY TR ceramide
(D7540), as well as BODIPY FL C5-lactosylceramide
(D13951), BODIPY FL C5-ganglioside GM1
(B13950) and BODIPY FL C12-galactocerebroside (D7519). All of our sphingolipids are prepared from D-erythro-sphingosine and therefore have the same stereochemical conformation as natural biologically active sphingolipids.![]()
Complexing fluorescent lipids with defatted bovine serum albumin (BSA) facilitates cell labeling by eliminating the need for organic solvents to dissolve the lipophilic probe; the BSA-complexed probe can be directly dissolved in water.
We offer four BODIPY sphingolipid–BSA complexes for the study of lipid metabolism and trafficking, including:
BODIPY FL C5-ceramide has been used to investigate the linkage of sphingolipid metabolism to protein secretory pathways
and neuronal growth.
Internalization of BODIPY FL C5-sphingomyelin (D3522) from the plasma membrane of human skin fibroblasts results in a mixed population of labeled endosomes that can be distinguished based on the concentration-dependent green (~515 nm) or red (~620 nm) emission of the probe
(
). BODIPY C5-sphingomyelin has also been used to assess sphingomyelinase gene transfer and expression in hematopoietic stem and progenitor cells.
BODIPY FL C5-lactosylceramide, BODIPY FL C5-ganglioside GM1 and BODIPY FL cerebrosides are useful tools for the study of glycosphingolipid transport and signaling pathways in cells.
BODIPY FL C5-ganglioside GM1 has been shown to form cholesterol-enhanced clusters in membrane complexes with amyloid β-protein in a model of Alzheimer disease amyloid fibrils.
Colocalization of fluorescent cholera toxin B conjugates (Lectins and Other Carbohydrate-Binding Proteins—Section 7.7) and BODIPY FL C5-ganglioside GM1 observed by fluorescence microscopy provides a direct indication of the association of these molecules in lipid rafts
(
,
).
NBD C6-ceramide (N1154) and NBD C6-sphingomyelin (N3524) analogs predate their BODIPY counterparts and have been extensively used for following sphingolipid metabolism in cells
and in multicellular organisms.
As with BODIPY FL C5-ceramide, we also offer NBD C6-ceramide complexed with defatted BSA (N22651) to facilitate cell loading without the use of organic solvents to dissolve the probe.
Elimination of NBD fluorescence at the extracellular surface by dithionite reduction (Figure 17.4.12) can be used to assess endocytosis and recycling of NBD sphingolipids.
Figure 17.4.12 Dithionite reduction of 6-(N-(7-nitrobenz-2-oxa-1,3-diazol-4-yl)amino)hexanoic acid (NBD-X, N316). The elimination of fluorescence associated with this reaction, coupled with the fact that extraneously added dithionite is not membrane permeant, can be used to determine whether the NBD fluorophore is located in the external or internal monolayer of lipid bilayer membranes.
The Amplex Red Sphingomyelinase Assay Kit (A12220) is designed for measuring sphingomyelinase activity in solution using a fluorescence microplate reader or fluorometer (Figure 17.4.13). This assay should be useful for screening sphingomyelinase activators or inhibitors or for detecting sphingomyelinase activity in cell and tissue extracts. The assay, which uses natural sphingomyelin as the principal substrate, employs an enzyme-coupled detection scheme in which phosphocholine liberated by the action of sphingomyelinase is cleaved by alkaline phosphatase to generate choline. Choline is, in turn, oxidized to betaine by choline oxidase, generating H2O2, which drives the conversion of the Amplex Red reagent (A12222, A22177; Substrates for Oxidases, Including Amplex Red Kits—Section 10.5) to red-fluorescent resorufin. This sensitive assay technique has been employed to detect activation of acid sphingomyelinase associated with ultraviolet radiation–induced apoptosis
and to characterize an insecticidal sphingomyelinase C produced by Bacillus cereus.![]()
The Amplex Red Sphingomyelinase Assay Kit contains:
Each kit provides sufficient reagents for approximately 500 assays using a fluorescence microplate reader and a reaction volume of 200 µL per assay.
Figure 17.4.13 Measurement of sphingomyelinase activity using the Amplex Red Sphingomyelinase Assay Kit (A12220). Each reaction contained 50 µM Amplex Red reagent, 1 U/mL horseradish peroxidase (HRP), 0.1 U/mL choline oxidase, 4 U/mL of alkaline phosphatase, 0.25 mM sphingomyelin and the indicated amount of Staphylococcus aureus sphingomyelinase in 1X reaction buffer. Reactions were incubated at 37°C for one hour. Fluorescence was measured with a fluorescence microplate reader using excitation at 530 ± 12.5 nm and fluorescence detection at 590 ± 17.5 nm.
Elevated levels of free fatty acids (FFA)—which are associated with multiple pathological states, including cancer, diabetes and cardiac ischemia
—are generated by inflammatory responses, phospholipase A activity and cytotoxic phenomena.
Sensitive techniques are required to detect and quantitate free fatty acids because these important metabolites have low aqueous solubility and are usually found complexed to carriers. ADIFAB (A3880) is a dual-wavelength fluorescent FFA indicator that consists of a polarity-sensitive fluorescent probe (acrylodan, A433; Thiol-Reactive Probes Excited with Ultraviolet Light—Section 2.3) conjugated to I-FABP, a rat intestinal fatty acid–binding protein with a low molecular weight (15,000 daltons) and a high binding affinity for FFA
(Figure 17.4.7).
As shown in Figure 17.4.14, titration of the ADIFAB reagent with oleic acid results in a shift of its fluorescence maximum from ~432 nm to ~505 nm. The ratio (R) of these signals (505 nm/432 nm) can be converted to an FFA concentration by using the FFA dissociation constant (Kd) and employing analysis procedures similar to those developed for Ca2+ indicators
(Indicators for Ca2+, Mg2+, Zn2+ and Other Metal Ions—Chapter 19). Values of Kd vary considerably for different fatty acids; a typical value is 0.28 µM for oleic acid
(determined at 37°C). There is little, if any, interference from bile acids, glycerides, sterols or bilirubin. With appropriate precautions, which are described in the product information sheet accompanying this product (ADIFAB Free Fatty Acid Indicator), ADIFAB can be used to determine FFA concentrations in the range 1 nM to >20 µM.
ADIFAB was used to investigate the physical basis of cis-unsaturated fatty acid inhibition of cytotoxic T cells.
This effect is due to inhibition of a specific tyrosine phosphorylation event that normally accompanies antigen stimulation.
Measurements using ADIFAB have also revealed previously undetected differences in FFA binding affinities among fatty acid–binding proteins from different tissues
and have enabled quantitation of FFA levels in human serum as a potential diagnostic tool.![]()
Figure 17.4.14 The free fatty acid–dependent spectral shift of ADIFAB (A3880). Spectra shown represent 0.2 µM ADIFAB in pH 8.0 buffer with (+OA) and without (–OA) addition of 4.7 µM cis-9-octadecenoic (oleic) acid (OA). The ratio of fluorescence emission intensities at 505 nm and 432 nm can be quantitatively related to free fatty acid concentrations
| Cat # | MW | Storage | Soluble | Abs | EC | Em | Solvent | Notes |
|---|---|---|---|---|---|---|---|---|
| A3880 | ~15,350 | FF,L,AA | H2O | 365 | 10,500 | 432 | H2O | 1 |
| A10070 | 880.68 | FF,D,L | DMSO | 505 | 92,000 | 512 | MeOH | 2, 16 |
| A10072 | 986.67 | FF,D,L | DMSO | 505 | 85,000 | 567 | MeOH | 2, 17, 18 |
| B3781 | 797.88 | FF,D,L | see Notes | 342 | 75,000 | 471 | EtOH | 2, 3 |
| B3782 | 966.20 | FF,D,L | see Notes | 340 | 62,000 | 473 | EtOH | 2, 4 |
| B7701 | 1029.80 | FF,D,L | see Notes | 505 | 123,000 | 512 | MeOH | 2, 5 |
| B13950 | 1582.50 | F,D,L | DMSO, EtOH | 505 | 80,000 | 512 | MeOH | 6 |
| B22650 | ~66,000 | F,D,L | H2O | 505 | 91,000 | 511 | MeOH | 6, 7 |
| B34400 | ~66,000 | F,D,L | H2O | 589 | 65,000 | 616 | MeOH | 7 |
| B34401 | ~66,000 | F,D,L | H2O | 505 | 80,000 | 512 | MeOH | 6, 7 |
| B34402 | ~66,000 | F,D,L | H2O | 505 | 80,000 | 511 | MeOH | 6, 7 |
| D3521 | 601.63 | FF,D,L | CHCl3, DMSO | 505 | 91,000 | 511 | MeOH | 6 |
| D3522 | 766.75 | FF,D,L | see Notes | 505 | 77,000 | 512 | MeOH | 2, 6 |
| D3771 | 854.86 | FF,D,L | see Notes | 506 | 71,000 | 512 | EtOH | 2 |
| D3803 | 797.77 | FF,D,L | see Notes | 503 | 80,000 | 512 | MeOH | 2, 8 |
| D7519 | 861.96 | FF,D,L | DMSO, EtOH | 505 | 85,000 | 511 | MeOH | 6 |
| D7540 | 705.71 | FF,D,L | CHCl3, DMSO | 589 | 65,000 | 616 | MeOH | |
| D7711 | 864.94 | FF,D,L | DMSO | 505 | 75,000 | 513 | MeOH | 6, 9 |
| D13951 | 925.91 | FF,D,L | DMSO, EtOH | 505 | 80,000 | 511 | MeOH | 6 |
| D23739 | 1136.13 | FF,D,L | DMSO | 505 | 92,000 | 511 | MeOH | 2, 10 |
| E33955 | 1011.15 | F,D,L | CHCl3, DMSO | 505 | 94,000 | 515 | MeOH | 11 |
| H361 | 850.13 | FF,D,L | see Notes | 342 | 37,000 | 376 | MeOH | 2, 12, 13 |
| H3809 | 856.09 | FF,D,L | see Notes | 341 | 38,000 | 376 | MeOH | 2, 12, 13 |
| N1154 | 575.75 | FF,D,L | CHCl3, DMSO | 466 | 22,000 | 536 | MeOH | 14 |
| N3524 | 740.88 | FF,D,L | see Notes | 466 | 22,000 | 536 | MeOH | 2, 14 |
| N3786 | 771.89 | FF,D,L | see Notes | 465 | 21,000 | 533 | EtOH | 2, 14, 15 |
| N3787 | 856.05 | FF,D,L | see Notes | 465 | 22,000 | 534 | EtOH | 2, 14, 15 |
| N22651 | ~66,000 | F,D,L | H2O | 466 | 22,000 | 536 | MeOH | 7, 14 |
| ||||||||
仅供科研使用,不可用于诊断目的。










