Search
Search
Related Tables
Get Chapter Downloads from The Molecular Probes Handbook, 11th edition |
We offer an assortment of Invitrogen™ Molecular Probes™ products for the generation of reactive oxygen species (ROS), including singlet oxygen (1O2), superoxide (•O2–), hydroxyl radical (HO•) and various peroxides (ROOR') and hydroperoxides (ROOH) (Reactive oxygen species—Table 18.1), as well as for their fluorometric detection in solution. Although there are no sensors that reversibly monitor the level of reactive oxygen species, this section discusses a number of probes that trap or otherwise react with singlet oxygen, hydroxyl radicals or superoxide. The optical or electron spin properties of the resulting products can be used as a measure of the presence or quantity of the reactive oxygen species and, in certain cases, can report the kinetics and location of their formation.
Singlet oxygen is responsible for much of the physiological damage caused by reactive oxygen species, including nucleic acid modification through selective reaction with deoxyguanosine to form 8-hydroxydeoxyguanosine
(8-OHdG). The lifetime of singlet oxygen is sufficiently long (4.4 microseconds in water
) to permit significant diffusion in cells and tissues.
In the laboratory, singlet oxygen is usually generated in one of three ways: photochemically from dioxygen (3O2) using a photosensitizing dye (Figure 18.2.1), chemically by thermal decomposition of a peroxide or dioxetane, or by microwave discharge through an oxygen stream. Singlet oxygen can be directly detected by its characteristic weak chemiluminescence at 1270 nm.![]()
Among the most efficient reagents for generating singlet oxygen is the photosensitizer hypericin, a natural pigment isolated from plants of the genus Hypericum. This heat-stable dye exhibits a quantum yield for singlet oxygen generation in excess of 0.7, as well as high photostability, making it an important agent for both anticancer and antiviral research.![]()
Rose bengal diacetate is an efficient, cell-permeant generator of singlet oxygen.
It is an iodinated xanthene derivative that has been chemically modified by the introduction of acetate groups. These modifications inactivate both its fluorescence and photosensitization properties, while increasing its ability to cross cell membranes. Once inside a live cell, esterases remove the acetate groups, restoring rose bengal to its native structure. Its intracellular localization allows rose bengal diacetate to be a very effective photosensitizer.
Photoirradiation of merocyanine 540 produces both singlet oxygen and other reactive oxygen species, including oxygen radicals.
Merocyanine 540 is often used as a photosensitizer in photodynamic therapy.![]()
Unlike other fluorescent and chemiluminescent singlet oxygen detection reagents, the Singlet Oxygen Sensor Green reagent (S36002) is highly selective for singlet oxygen (1O2); it shows no appreciable response to other reactive oxygen species, including hydroxyl radical (HO•), superoxide (•O2–) and nitric oxide (NO) (Figure 18.2.1). Before reaction with singlet oxygen, this probe initially exhibits weak blue fluorescence with excitation peaks at 372 and 393 nm and emission peaks at 395 and 416 nm. In the presence of singlet oxygen, however, it emits a green fluorescence similar to that of fluorescein (excitation/emission maxima ~504/525 nm).
We have observed that the fluorescent product of Singlet Oxygen Sensor Green reagent can degrade with time in some solutions and that Singlet Oxygen Sensor Green reagent can become fluorescent at alkaline pH in the absence of singlet oxygen. Nevertheless, with the proper controls the intensity of the green-fluorescent signal can be correlated with singlet oxygen concentration, without significant interference from other reactive oxygen species. The Singlet Oxygen Sensor Green reagent (S36002) has demonstrated utility for detecting singlet oxygen in solution
and in plant tissues.![]()
trans-1-(2'-Methoxyvinyl)pyrene can be used to detect picomole quantities of singlet oxygen in chemical and biological systems (Figure 18.2.2), making this compound one of the most sensitive singlet oxygen probes currently available.
Furthermore, this highly selective chemiluminescent probe does not react with other activated oxygen species such as hydroxyl radical, superoxide or hydrogen peroxide.
Hydroxyl and superoxide radicals have been implicated in a number of pathological conditions, including ischemia, reperfusion and aging. The superoxide anion (Reactive oxygen species—Table 18.1) may also play a role in regulating normal vascular function. The hydroxyl radical is a very reactive oxygen species
that has a lifetime of about 2 nanoseconds in aqueous solution and a radius of diffusion of about 20 Å. Thus, it induces peroxidation only when it is generated in close proximity to its target. The hydroxyl radical can be derived from superoxide in a Fenton reaction catalyzed by Fe2+ or other transition metals, as well as by the effect of ionizing radiation on dioxygen. Superoxide is most effectively generated from a hypoxanthine–xanthine oxidase generating system
(Figure 18.2.1).
Malachite green is a nonfluorescent photosensitizer that absorbs at long wavelengths (~630 nm). Its photosensitizing action can be targeted to particular cellular sites by conjugating malachite green isothiocyanate (M689) to specific antibodies.
Enzymes and other proteins within ~10 Å of the binding site of the malachite green–labeled antibody can then be selectively destroyed upon irradiation with long-wavelength light. Studies by Jay and colleagues have demonstrated that this photoinduced destruction of enzymes in the immediate vicinity of the chromophore is apparently the result of localized production of hydroxyl radicals, which have short lifetimes that limit their diffusion from the site of their generation.![]()
Conjugation of the iodoacetamide of 1,10-phenanthroline to thiol-containing ligands confers the metal-binding properties of this important complexing agent on the ligand. For example, the covalent copper–phenanthroline complex of oligonucleotides or nucleic acid–binding molecules in combination with hydrogen peroxide acts as a chemical nuclease to selectively cleave DNA or RNA.
Hydroxyl radicals or other reactive oxygen species appear to be involved in this cleavage.![]()
Mitochondrial superoxide is generated as a by-product of oxidative phosphorylation. In an otherwise tightly coupled electron transport chain, approximately 1–3% of mitochondrial oxygen consumed is incompletely reduced; these "leaky" electrons can quickly interact with molecular oxygen to form superoxide anion, the predominant reactive oxygen species in mitochondria.
Increases in cellular superoxide production have been implicated in cardiovascular diseases, including hypertension, atherosclerosis and diabetes-associated vascular injuries,
as well as in neurodegenerative diseases such as Parkinson disease, Alzheimer disease and amyotrophic lateral sclerosis (ALS).![]()
MitoSOX Red mitochondrial superoxide indicator (M36008) is a cationic derivative of dihydroethidium (also known as hydroethidine; see below) designed for highly selective detection of superoxide in the mitochondria of live cells (
). The cationic triphenylphosphonium substituent of MitoSOX Red indicator is responsible for the electrophoretically driven uptake of the probe in actively respiring mitochondria. Oxidation of MitoSOX Red indicator (or dihydroethidium) by superoxide results in hydroxylation at the 2-position (Figure 18.2.3). 2-hydroxyethidium (and the corresponding derivative of MitoSOX Red indicator) exhibit a fluorescence excitation peak at ~400 nm
that is absent in the excitation spectrum of the ethidium oxidation product generated by reactive oxygen species other than superoxide. Thus, fluorescence excitation at 400 nm with emission detection at ~590 nm provides optimum discrimination of superoxide from other reactive oxygen species
(Figure 18.2.4).
Measurements of mitochondrial superoxide generation using MitoSOX Red indicator in mouse cortical neurons expressing caspase-cleaved tau microtubule-associated protein have been correlated with readouts from fluorescent indicators of cytosolic and mitochondrial calcium and mitochondrial membrane potential.
The relationship of mitochondrial superoxide generation to dopamine transporter activity, measured using the aminostyryl dye substrate 4-Di-1-ASP (Probes for Mitochondria—Section 12.2), has been investigated in mouse brain astrocytes.
MitoSOX Red indicator has been used for confocal microscopy analysis of reactive oxygen species (ROS) production by mitochondrial NO synthase (mtNOS) in permeabilized cat ventricular myocytes
and, in combination with Amplex Red reagent (see below), for measurement of mitochondrial superoxide and hydrogen peroxide production in rat vascular endothelial cells.
In addition to imaging and microscope photometry measurements, several flow cytometry applications of MitoSOX Red have also been reported. Detailed protocols for simultaneous measurements of mitochondrial superoxide generation and apoptotic markers APC annexin V (A35110, Assays for Apoptosis—Section 15.5) and SYTOX Green (S7020, Nucleic Acid Stains—Section 8.1) in human coronary artery endothelial cells by flow cytometry have been published by Mukhopadhyay and co-workers.![]()
Although dihydroethidium, which is also called hydroethidine, is commonly used to analyze respiratory bursts in phagocytes,
it has been reported that this probe undergoes significant oxidation in resting leukocytes, possibly through the uncoupling of mitochondrial oxidative phosphorylation.
Cytosolic dihydroethidium exhibits blue fluorescence; however, once this probe is oxidized to ethidium, it intercalates within DNA, staining the cell nucleus a bright fluorescent red
(
). The mechanism of dihydroethidium's interaction with lysosomes and DNA has been described.
Similar to MitoSOX Red mitochondrial superoxide indicator (Figure 18.2.3), dihydroethidium is oxidized by superoxide to 2-hydroxyethidium.
It is frequently used for mitochondrial superoxide detection,
although MitoSOX Red indicator provides more specific mitochondrial localization. Indeed, in some cases researchers have used dihydroethidium and MitoSOX Red to provide discrete indications of cytosolic and mitochondrial superoxide production respectively.![]()
Dihydroethidium (hydroethidine) is available in a 25 mg vial (D1168), as a stabilized 5 mM solution in DMSO (D23107) or specially packaged in 10 vials of 1 mg each (D11347); the stabilized DMSO solution or special packaging is recommended when small quantities of the dye will be used over a long period of time.
Hydroxyl radicals have usually been detected after reaction with spin traps. TEMPO-9-AC and proxyl fluorescamine
are two fluorogenic probes for detecting hydroxyl radicals
and superoxide. Each of these molecules contains a nitroxide moiety that effectively quenches its fluorescence. However, once TEMPO-9-AC or proxyl fluorescamine traps a hydroxyl radical or superoxide, its fluorescence is restored and the radical's electron spin resonance signal is destroyed, making these probes useful for detecting radicals either by fluorescence or by electron spin resonance spectroscopy. TEMPO-9-AC has been reported to detect glutathionyl radicals but not phenoxyl radicals.
Proxyl fluorescamine can be used to detect the methyl radicals that are formed by reacting hydroxyl radicals with DMSO.
Radical-specific scavengers (Scavengers of reactive oxygen species (ROS)—Table 18.2)—such as the superoxide-specific p-benzoquinone and superoxide dismutase
or the hydroxyl radical–specific mannitol and dimethylsulfoxide (DMSO)
—can be used to identify the detected species.
In the absence of apoaequorin, the luminophore coelenterazine (C2944) produces chemiluminescence in response to superoxide generation in cells, organelles, bacteria
and tissues.
Unlike luminol, coelenterazine exhibits luminescence that does not depend on the activity of cell-derived myeloperoxidase and is not inhibited by azide.![]()
In addition to coelenterazine, MCLA is useful for detecting superoxide.
MCLA and coelenterazine are superior alternatives to lucigenin
for this application because lucigenin can reportedly sensitize superoxide production, leading to false-positive results.
An additional advantage of MCLA is that its pH optimum for luminescence generation is closer to the physiological near-neutral range than are the pH optima of luminol and lucigenin.![]()
Nitro blue tetrazolium salt (NBT, N6495; Tetrazolium salts for detecting redox potential in living cells and tissues—Table 18.3) and other tetrazolium salts are chromogenic probes useful for superoxide determination.
The superoxide sensitivity of tetrazolium salts can be a confounding factor in their more common applications for cell viability and proliferation assays.![]()
In peroxisomes, H2O2 is produced by several enzymes that use molecular oxygen to oxidize organic compounds. This H2O2 is then used by catalase to oxidize other substrates, including phenols, formic acid, formaldehyde and alcohol. In liver and kidney cells, these oxidation reactions are important for detoxifying a variety of compounds in the bloodstream.
However, H2O2 also plays a role in neurodegenerative and other disorders through induction of apoptosis
and DNA strand breaks,
modification of intracellular Ca2+ levels and mitochondrial potential, and oxidation of glutathione. In addition, H2O2 is released from cells during hypoxia.![]()
Peroxidation of unsaturated lipids affects cell membrane properties,
signal transduction pathways,
apoptosis and the deterioration of foods and other biological compounds.
Lipid hydroperoxides have been reported to accumulate in oxidatively stressed individuals, including HIV-infected patients.
Lipid peroxidation may also be responsible for aging, as well as for pathological processes such as drug-induced phototoxicity and atherosclerosis,
and is often the cause of free radical–mediated damage in cells. To directly assess the extent of lipid peroxidation, researchers either measure the amount of lipid hydroperoxides directly or detect the presence of secondary reaction products
(e.g., 4-hydroxy-2-nonenal or malonaldehyde; see below).
Peroxyl radicals are formed by the decomposition of various peroxides and hydroperoxides, including lipid hydroperoxides. The hydroperoxyl radical is also the protonated form of superoxide, and approximately 0.3% of the superoxide in the cytosol is present as this protonated radical.
Experimentally, peroxyl radicals, including alkylperoxyl (ROO•) and hydroperoxyl (HOO•) radicals, are generated from compounds such as 2,2'-azobis(2-amidinopropane) and from hydroperoxides such as cumene hydroperoxide.
Fluorescence quenching of the fatty acid analog cis-parinaric acid has been used in several lipid peroxidation assays,
including quantitative determinations in live cells.
Parinaric acid's extensive unsaturation makes it quite susceptible to oxidation if not rigorously protected from air.
When provided in deoxygenated ethanol that is stored protected from light under an inert argon atmosphere at -20°C, the stock solution should be stable for at least six months. During experiments, we advise handling parinaric acid samples under inert gas and preparing solutions using degassed buffers and solvents. Parinaric acid is also somewhat photolabile and undergoes photodimerization when exposed to intense illumination, resulting in loss of fluorescence.![]()
Hydroperoxides in lipids, serum, tissues and foodstuffs can be directly detected using the fluorogenic reagent diphenyl-1-pyrenylphosphine
(DPPP). DPPP is essentially nonfluorescent until oxidized to a phosphine oxide by peroxides; in vitro, DPPP remains nonfluorescent in the presence of hydroxyl radicals generated by the Cu2+-ascorbate method.
DPPP has previously been used to detect picomole levels of hydroperoxides by HPLC.
Its solubility in lipids makes DPPP quite useful for detecting hydroperoxides in the membranes of live cells
and in low-density lipoprotein particles.![]()
The BODIPY 581/591 C11 fatty acid (D3861) is a sensitive fluorescent reporter for lipid peroxidation, undergoing a shift from red to green fluorescence emission upon oxidation of the phenylbutadiene segment of the fluorophore.
This oxidation-dependent emission shift enables fluorescence ratio imaging of lipid peroxidation in live cells.
Other common applications of BODIPY 581/591 C11 include fluorometric assays of antioxidant efficacy in plasma
and in lipid vesicles.
The oxidation and nitroxidation products of this BODIPY fatty acid have been characterized by mass spectrometry.
Based on mass spectrometry analysis of oxidation products, MacDonald and co-workers report that BODIPY 581/591 C11 is more sensitive to oxidation than endogenous lipids, and therefore tends to overestimate oxidative damage and underestimate antioxidant protection effects.![]()
Peroxyl radicals have also been detected in erythrocyte and red blood cell membranes using BODIPY FL EDA
(D2390, Derivatization Reagents for Carboxylic Acids and Carboxamides—Section 3.4), a water-soluble BODIPY dye, or BODIPY FL hexadecanoic acid (D3821, Fatty Acid Analogs and Phospholipids—Section 13.2). BODIPY FL hexadecanoic acid exhibits the red shift common to the fluorescence of lipophilic BODIPY dyes when they are concentrated, permitting ratiometric measurements of hydroxyl radical production and allowing the onset of lipid peroxidation in live cells to be monitored.![]()
The fluorescence of several other probes is lost following interaction with peroxyl radicals. Lipophilic fluorescein dyes such as hexadecanoylaminofluorescein
(H110, Other Nonpolar and Amphiphilic Probes—Section 13.5) and fluorescein-labeled phosphatidylethanolamine (F362, Fatty Acid Analogs and Phospholipids—Section 13.2) have been useful for detecting peroxyl radical formation in membranes and in solution. Phycobiliproteins, such as B-phycoerythrin, allophycocyanin and R-phycoerythrin (P801, Phycobiliproteins—Section 6.4), and phenolic dyes such as fluorescein (F1300, F36915; Introduction to Enzyme Substrates and Their Reference Standards—Section 10.1) are extensively used as substrates in total antioxidant capacity assays of plasma and foods.![]()
Although luminol is not useful for detecting superoxide in live cells,
it is commonly employed to detect peroxidase- or metal ion–mediated oxidative events.
Used alone, luminol can detect oxidative events in cells rich in peroxidases, including granulocytes
and spermatozoa.
This probe has also been used in conjunction with horseradish peroxidase (HRP) to investigate reoxygenation injury in rat hepatocytes.
In these experiments, it is thought that the primary species being detected is hydrogen peroxide. In addition, luminol has been employed to detect peroxynitrite generated from the reaction of nitric oxide and superoxide.![]()
Formation of 4-hydroxy-2-nonenal (HNE) from linoleic acid is a major cause of lipid peroxidation–induced toxicity. Several reagents for the direct fluorometric detection of aldehydes are described in Reagents for Modifying Aldehydes and Ketones—Section 3.3. The biotinylated hydroxylamine ARP (A10550, Biotinylation and Haptenylation Reagents—Section 4.2) is particularly useful for this purpose.
Biotinylation using click chemistry coupling (Click Chemistry—Section 3.1) enables affinity purification of HNE-modified proteins.![]()
In the presence of horseradish peroxidase (HRP), Amplex Red reagent (10-acetyl-3,7-dihydroxyphenoxazine, A12222, A22177) reacts with H2O2 in a 1:1 stoichiometry to produce highly fluorescent resorufin
(Introduction to Enzyme Substrates and Their Reference Standards—Section 10.1, Figure 18.2.5). Amplex Red reagent has greater stability, yields less background and produces a red-fluorescent product that is more readily detected than the similar reduced methylene blue derivatives commonly used for colorimetric determination of lipid peroxides in plasma, sera, cell extracts and a variety of membrane systems.![]()
Amplex Red reagent has been used to detect the release of H2O2 from activated human leukocytes,
to measure the activity of monoamine oxidase in bovine brain tissue,
to demonstrate the extracellular production of H2O2 produced by UV light stimulation of human keratinocytes
and for microplate assays of H2O2 and lipid hydroperoxide generation by isolated mitochondria.
Amplex Red reagent is available in a single 5 mg vial (A12222) or packaged as a set of 10 vials, each containing 10 mg of the substrate, for high-throughput screening applications (A22177).
Amplex UltraRed reagent (A36006) improves upon the performance of Amplex Red reagent, offering brighter fluorescence and enhanced sensitivity on a per-mole basis in horseradish peroxidase or horseradish peroxidase-coupled enzyme assays (Figure 18.2.6). Fluorescence of oxidized Amplex UltraRed reagent is also less sensitive to pH (Figure 18.2.7), and the substrate and its oxidation product exhibit greater stability than Amplex Red reagent in the presence of H2O2 or thiols such as dithiothreitol (DTT). Like Amplex Red reagent, nonfluorescent Amplex UltraRed reagent reacts with H2O2 in a 1:1 stoichiometric ratio to produce a brightly fluorescent and strongly absorbing reaction product (excitation/emission maxima ~568/581 nm) (
). Although the primary applications of the Amplex UltraRed reagent are enzyme-linked immunosorbent assays (ELISAs; see Zen Myeloperoxidase ELISA Kit below) and in vitro antioxidant capacity assays,
it is also frequently used (in combination with HRP) to detect H2O2 production by isolated mitochondria
and cell cultures.![]()
Figure 18.2.6 Detection of H2O2 using Amplex UltraRed reagent (red square) or Amplex Red reagent (blue triangle). Reactions containing 50 µM Amplex UltraRed or Amplex Red reagent, 1 U/mL HRP and the indicated amount of H2O2 in 50 mM sodium phosphate buffer, pH 7.4, were incubated for 30 minutes at room temperature. The inset shows the sensitivity and linearity of the Amplex UltraRed assay at low levels of H2O2.
Figure 18.2.7 Comparison of pH-dependent fluorescence of the products derived from oxidation of Amplex UltraRed reagent (solid blue circles) and Amplex Red reagent (open blue squares). Fluorescence intensities were measured using excitation/emission of ~570/585 nm.
The Amplex Red Hydrogen Peroxide/Peroxidase Assay Kit (A22188) provides a simple, sensitive, one-step assay for detecting H2O2 or the activity of horseradish peroxidase either by measuring fluorescence with a fluorescence-based microplate reader or a fluorometer (Figure 18.2.8) or by measuring absorption with an absorption-based microplate reader or a spectrophotometer. The Amplex Red peroxidase substrate can detect the presence of active peroxidases and the release of H2O2 from biological samples, including cells and cell extracts.![]()
The Amplex Red Hydrogen Peroxide/Peroxidase Assay Kit contains:
Each kit provides sufficient reagents for approximately 500 assays using a fluorescence- or absorption-based microplate reader and a reaction volume of 100 µL per assay. Several additional kits that utilize the Amplex Red peroxidase substrate to detect H2O2 in coupled enzymatic reactions are described in Substrates for Oxidases, Including Amplex Red Kits—Section 10.5.
Figure 18.2.8 Detection of HRP using the Amplex Red Hydrogen Peroxide/Peroxidase Assay Kit (A22188). Reactions containing 50 µM Amplex Red reagent, 1 mM H2O2 and the indicated amount of HRP in 50 mM sodium phosphate buffer, pH 7.4, were incubated for 30 minutes at room temperature. Fluorescence was measured with a fluorescence microplate reader using excitation at 530 ± 12.5 nm and fluorescence detection at 590 ± 17.5 nm. Background fluorescence (3 units), determined for a no-HRP control reaction, was subtracted from each value. The inset shows the sensitivity of the assay at very low levels of HRP.
Xanthine oxidase (E.C. 1.2.3.2) plays a key role in the production of free radicals, including superoxide, in the body. The Amplex Red Xanthine/Xanthine Oxidase Assay Kit (A22182) provides an ultrasensitive method for detecting xanthine or hypoxanthine or for monitoring xanthine oxidase activity. In the assay, xanthine oxidase catalyzes the oxidation of purine nucleotides, hypoxanthine or xanthine, to uric acid and superoxide. In the reaction mixture, the superoxide spontaneously degrades to H2O2, which in the presence of HRP reacts stoichiometrically with Amplex Red reagent to generate the red-fluorescent oxidation product, resorufin. Resorufin has absorption and fluorescence emission maxima of approximately 571 nm and 585 nm, respectively, and because the extinction coefficient is high (54,000 cm-1M-1), the assay can be performed either fluorometrically or spectrophotometrically.
The Amplex Red Xanthine/Xanthine Oxidase Assay Kit (A22182) contains:
Each kit provides sufficient reagents for approximately 400 assays using either a fluorescence- or absorption-based microplate reader and a reaction volume of 100 µL per assay.
In healthy individuals, xanthine oxidase is present in appreciable amounts only in the liver and jejunum. In various liver disorders, however, the enzyme is released into circulation. Therefore, determination of serum xanthine oxidase levels serves as a sensitive indicator of acute liver damage such as jaundice. The Amplex Red xanthine/xanthine oxidase assay has been used as a marker of recovery from exercise stress.
Previously, researchers have utilized chemiluminescence or absorbance to monitor xanthine oxidase activity. The Amplex Red Xanthine/Xanthine Oxidase Assay Kit permits the detection of xanthine oxidase in a purified system at levels as low as 0.1 mU/mL by fluorescence (Figure 18.2.9). This kit can also be used to detect as little as 200 nM hypoxanthine or xanthine (Figure 18.2.10), and, when coupled to the purine nucleotide phosphorylase enzyme, to detect inorganic phosphate.![]()
Figure 18.2.9 Detection of xanthine oxidase using the Amplex Red Xanthine/Xanthine Oxidase Assay Kit (A22182). Each reaction contained 50 µM Amplex Red reagent, 0.2 U/mL horseradish peroxidase, 0.1 mM hypoxanthine and the indicated amount of xanthine oxidase in 1X reaction buffer. After 30 minutes, fluorescence was measured in a fluorescence microplate reader using excitation at 530 ± 12.5 nm and detection at 590 ± 17.5 nm. A background of 65 fluorescence units was subtracted from each data point. The inset shows the assay’s sensitivity and linearity at low hypoxanthine concentrations.
Figure 18.2.10 Detection of hypoxanthine using the Amplex Red Xanthine/Xanthine Oxidase Assay Kit (A22182). Each reaction contained 50 µM Amplex Red reagent, 0.2 U/mL horseradish peroxidase, 20 mU/mL xanthine oxidase and the indicated amount of hypoxanthine in 1X reaction buffer. Reactions were incubated at 37°C. After 30 minutes, fluorescence was measured in a fluorescence microplate reader using excitation at 530 ± 12.5 nm and detection at 590 ± 17.5 nm. A background of 54 fluorescence units was subtracted from each data point. The inset shows the assay’s sensitivity and linearity at low enzyme concentrations.
Myeloperoxidase (MPO, EC 1.11.1.7) is a lysosomal hemoprotein located in the azurophilic granules of polymorphonuclear (PMN) leukocytes and monocytes. It is a dimeric protein composed of two 59 kD and two 13.5 kD subunits. MPO is a unique peroxidase that catalyzes the conversion of hydrogen peroxide (H2O2) and chloride to hypochlorous acid, a strong oxidant with powerful antimicrobial activity and broad-spectrum reactivity with biomolecules. MPO is considered an important marker for inflammatory diseases, autoimmune diseases and cancer. MPO is also experimentally and clinically important for distinguishing myeloid from lymphoid leukemia and, due to its role in the pathology of atherogenesis, has been advocated as a prognostic marker of cardiovascular disease.
The ferric, or native, MPO reacts with hydrogen peroxide (H2O2) to form the active intermediate MPO-I, which oxidizes chloride (Cl–) to HOCl; these reactions make up the chlorination cycle (Figure 18.2.11). MPO also oxidizes a variety of substrates, including phenols and anilines, via the classic peroxidation cycle. The relative concentrations of chloride and the reducing substrate determine whether MPO uses hydrogen peroxide for chlorination or peroxidation. Assays based on measurement of chlorination activity are more specific for MPO than those based on peroxidase substrates such as tetramethylbenzidine (TMB).
The EnzChek Myeloperoxidase (MPO) Activity Assay Kit (E33856) provides assays for rapid and sensitive determination of both chlorination and peroxidation activities of MPO in solution and in cell lysates
(Figure 18.2.11). For detection of chlorination, the kit provides nonfluorescent 3'-(p-aminophenyl) fluorescein (APF), which is selectively cleaved by hypochlorite (–OCl) to yield fluorescein. Peroxidation is detected using nonfluorescent Amplex UltraRed reagent, which is oxidized by the H2O2-generated redox intermediates MPO-I and MPO-II to form a fluorescent product. The EnzChek Myeloperoxidase Activity Assay Kit can be used to continuously detect these activities at room temperature over a broad dynamic range (1.5 to 200 ng/mL) (Figure 18.2.12, Figure 18.2.13). The speed (30 minutes), sensitivity, and mix-and-read convenience make this kit ideal for measuring MPO activities and for high-throughput screening for MPO-specific inhibitors.
Each EnzChek Myeloperoxidase (MPO) Activity Assay Kit contains:
Sufficient reagents are provided to perform 200 assays for chlorination and 200 assays for peroxidation activity in a 96-well fluorescence microplate format (100 µL per assay).
Figure 18.2.13 Detection of HRP using the Amplex Red Hydrogen Peroxide/Peroxidase Assay Kit (A22188). Reactions containing 50 µM Amplex Red reagent, 1 mM H2O2 and the indicated amount of HRP in 50 mM sodium phosphate buffer, pH 7.4, were incubated for 30 minutes at room temperature. Fluorescence was measured with a fluorescence microplate reader using excitation at 530 ± 12.5 nm and fluorescence detection at 590 ± 17.5 nm. Background fluorescence (3 units), determined for a no-HRP control reaction, was subtracted from each value. The inset shows the sensitivity of the assay at very low levels of HRP.
The generation of reactive oxygen species (ROS) is inevitable for aerobic organisms and, in healthy cells, occurs at a controlled rate. Under conditions of oxidative stress, however, there is an imbalance between the production of ROS and the ability of cells to scavenge them, resulting in subsequent alteration of membrane lipids, proteins and nucleic acids. Oxidative damage of these biomolecules is associated with aging and with a variety of pathological events, including atherosclerosis, carcinogenesis, ischemic reperfusion injury and neuorodegenerative disorders.![]()
Assaying oxidative activity in live cells with fluorogenic, chemiluminescent or chromogenic probes is complicated by the frequent presence of multiple reactive oxygen species in the same cell. Scavengers and enzymes such as superoxide dismutase and catalase are useful knockdown reagents for triaging the optical response of ROS probes (Scavengers of reactive oxygen species (ROS)—Table 18.2). Quantitative analysis can be further hindered due to: 1) the high intracellular concentration of glutathione, which can form thiyl or sulfinyl radicals or otherwise trap or reduce oxygen species;
2) the variable concentration of metals, which can either catalyze or inhibit radical reactions; and 3) the presence of other free radical–quenching agents such as spermine.![]()
Fluorescein, rhodamine and various other dyes can be chemically reduced to colorless, nonfluorescent leuco dyes. These "dihydro" derivatives are readily oxidized back to the parent dye by reactive oxygen species and thus can serve as fluorogenic probes for detecting oxidative activity in cells and tissues.
Oxidation also occurs spontaneously, albeit slowly, in air and via photosensitization when illuminated for fluorescence excitation.
Careful storage and handling, as well as minimizing the duration and intensity of light exposure, are particularly recommended when using these dyes. In general, dihydrofluorescein and dihydrorhodamine do not discriminate between the various reactive oxygen species. It has been reported that dichlorodihydrofluorescein (H2DCF) and dihydrorhodamine 123 react with intracellular hydrogen peroxide in a reaction mediated by peroxidase, cytochrome c or Fe2+,
and these leuco dyes also serve as fluorogenic substrates for peroxidase enzymes (Substrates for Oxidases, Including Amplex Red Kits—Section 10.5).
CellROX oxidative stress reagents—including CellROX Green reagent (C10444), CellROX Orange reagent (C10443), CellROX Deep Red reagent (C10422) and a variety pack (C10448)—are fluorogenic probes designed to reliably measure reactive oxygen species (ROS) in live cells. The cell-permeable CellROX reagents are nonfluorescent or very weakly fluorescent while in their reduced state; upon oxidation, however, they become brightly fluorescent, with excitation/emission maxima at 485/520 nm, 545/565 nm and 640/665 nm, respectively. Upon oxidation, CellROX Green reagent binds to DNA and thus its signal is localized primarily in the nucleus and mitochondria. In contrast, CellROX Orange and Deep Red reagents are localized in the cytoplasm.
The resulting fluorescence can be measured using traditional fluorescence microscopy, high-content imaging and analysis, microplate fluorometry or flow cytometry. These reagents can be detected using the appropriate benchtop instrument, including the Attune Acoustic Focusing Cytometer, Tali Image-Based Cytometer and FLoid Cell Imaging Station. The staining workflow is simple, and the reagent can be applied to cells in complete growth medium or buffer. All of the CellROX reagents are very photostable when compared with traditional ROS detection dyes. In addition, both CellROX Green and CellROX Deep Red reagents are retained in cells after formaldehyde fixation, providing assay flexibility and improved workflows when compared with classic dyes used for ROS detection. CellROX Green staining is also stable to detergent permeabilization.
CellROX oxidative stress reagents specifically detect reactive oxygen species, as shown by the strong reduction of fluorescence when cells are preincubated with either MnTBAP, a superoxide scavenger, or diphenyleneiodonium (DPI), a NADPH oxidase inhibitor (Figure 18.2.14). inhibition of menadione-induced ROS in endothelial cells. These probes have been used to evaluate ROS generated by various agents including lipopolysaccharide, menadione, angiotensin II and nefazodone in several different live-cell models. The probe can also be multiplexed with other cell health detection reagents, making it useful in multiplex fluorescence assays to measure a variety of cellular phenomena.
In addition to these stand-alone reagents, we offer CellROX Green, CellROX Orange and CellROX Deep Red Flow Cytometry Assay Kits (C10492, C10493, C10491), which are validated for use in flow cytometry. These kits provide a complete set of reagents for distinguishing oxidatively stressed cells, nonstressed cells and dead cells, including:
The CellROX Flow Cytometry Assay Kits contain reagents that have been formulated to work well together and exhibit minimal overlap with fluorophores excited by other laser lines. These kits can be used to multiplex oxidative stress detection with other measures of cell structure or function, such as probes for mitochondrial membrane potential, cytoskeleton integrity or apoptosis.
The cell-permeant 2',7'-dichlorodihydrofluorescein diacetate (H2DCFDA, D399), also known as dichlorofluorescin diacetate, is commonly used to detect the generation of reactive oxygen intermediates in neutrophils and macrophages.
Upon cleavage of the acetate groups by intracellular esterases and oxidation, the nonfluorescent H2DCFDA is converted to the highly fluorescent 2',7'-dichlorofluorescein (DCF).
Oxidation of H2DCFDA is reportedly not sensitive to singlet oxygen directly, but singlet oxygen can indirectly contribute to the formation of DCF through its reaction with cellular substrates that yield peroxy products and peroxyl radicals.
In a cell-free system, H2DCF has been shown to be oxidized to DCF by peroxynitrite anion (ONOO–), by horseradish peroxidase (in the absence of H2O2) and by Fe2+ (in the absence of H2O2).
Furthermore, the oxidation of H2DCF by Fe2+ in the presence of H2O2 was reduced by the HO• radical scavenger formate and the iron chelator deferoxamine.
In addition, DCF itself can act as a photosensitizer for H2DCFDA oxidation, both priming and accelerating the formation of DCF.
Because the oxidation of DCF and H2DCFDA appears to also generate free radicals, their use for measuring free radical production must be carefully controlled.![]()
A review by Tsuchiya and colleagues outlined methods for visualizing the generation of oxidative species in whole animals. For example, they suggest using propidium iodide (P1304MP; P3566, P21493; Nucleic Acid Stains—Section 8.1) with H2DCFDA to simultaneously monitor oxidant production and cell injury.
H2DCFDA has been used to visualize oxidative changes in carbon tetrachloride–perfused rat liver
and in venular endothelium during neutrophil activation,
as well as to examine the effect of ischemia and reperfusion in lung and heart tissue.
Using H2DCFDA, researchers characterized hypoxia-dependent peroxide production in Saccharomyces cerevisiae as a possible model for ischemic tissue destruction.
In neutrophils, H2DCFDA has proven useful for flow cytometric analysis of nitric oxide, forming a product that has spectral properties identical to those produced when it reacts with hydrogen peroxide.
In this study, H2DCFDA's reaction with nitric oxide was blocked by adding the nitric oxide synthase inhibitor NG-methyl-L-arginine (L-NMMA) to the cell suspension.
2',7'-Dichlorofluorescein—the oxidation product of H2DCF—can reportedly be further oxidized to a phenoxyl radical in a horseradish peroxidase–catalyzed reaction, and this reaction may complicate the interpretation of results obtained with this probe in cells undergoing oxidative stress.
Although other more specialized ROS probes have been—and continue to be—developed, H2DCFDA and its chloromethyl derivative CM-H2DCFDA (see below) remain the most versatile indicators of cellular oxidative stress.![]()
Intracellular oxidation of H2DCF tends to be accompanied by leakage of the product, 2',7'-dichlorofluorescein,
which may make quantitation or detection of slow oxidation difficult. To enhance retention of the fluorescent product, we offer the carboxylated H2DCFDA analog
(carboxy-H2DCFDA, C400), which has two negative charges at physiological pH, and its di(acetoxymethyl ester)
(C2938,
). Upon cleavage of the acetate and ester groups by intracellular esterases and oxidation, both analogs form carboxydichlorofluorescein (Polar Tracers—Section 14.3), with additional negative charges that impede its leakage out of the cell.
The fluorinated analog 5-(and 6-)carboxy-2',7'-difluorodihydrofluorescein diacetate (carboxy-H2DFFDA, C13293) is also useful for visualizing oxidative bursts and inflammatory and infectious processes.
As the oxidation potential of deacetylated carboxy-H2DFFDA is more positive than that of the corresponding chloro compound carboxy-H2DCFDA, its oxidant sensitivity profile is presumably shifted; however, it is not known if this difference is large enough to have practical utility. The diacetate derivatives of the dichloro- and difluorodihydrofluoresceins are quite stable. When used for intracellular applications, the acetates are cleaved by endogenous esterases, releasing the corresponding dichloro- or difluorodihydrofluorescein derivative. If, however, these nonfluorescent diacetate derivatives are used for in vitro assays, they must first be hydrolyzed with mild base to form the colorless probe.![]()
In addition, we have developed 5-(and 6-)chloromethyl-2',7'-dichlorodihydrofluorescein diacetate, acetyl ester (CM-H2DCFDA, C6827; Figure 18.2.15), which is a chloromethyl derivative of H2DCFDA that exhibits much better retention in live cells.
As with our other chloromethyl derivatives (see the description of our CellTracker probes in Membrane-Permeant Reactive Tracers—Section 14.2), CM-H2DCFDA passively diffuses into cells, where its acetate groups are cleaved by intracellular esterases and its thiol-reactive chloromethyl group reacts with intracellular glutathione and other thiols. Subsequent oxidation yields a fluorescent adduct that is trapped inside the cell, thus facilitating long-term studies.
Among its many applications, CM-H2DCFDA has been used to:
Figure 18.2.15 An oxidative burst was detected by flow cytometry of cells labeled with 5-(and 6-)chloromethyl-2',7'-dichlorodihydrofluorescein diacetate, acetyl ester (CM-H2DCFDA, C6827). Jurkat cells were incubated with 100 nM CM-H2DCFDA. The cells were washed and resuspended in either phosphate-buffered saline (PBS, red) or PBS with 0.03% H2O2 (blue). The samples were analyzed on a flow cytometer equipped with a 488 nm argon-ion laser and a 525 ± 10 nm bandpass emission filter.
The Image-iT LIVE Green Reactive Oxygen Species Detection Kit (I36007) provides the key reagents for detecting reactive oxygen species (ROS) in live cells,
including:
This assay is based on carboxy-H2DCFDA (5-(and 6-)carboxy-2',7'-dichlorodihydrofluorescein diacetate), a reliable fluorogenic marker for reactive oxygen species in live cells.
In addition to carboxy-H2DCFDA, this kit provides the common inducer of ROS production tert-butyl hydroperoxide (TBHP) as a positive control
and the blue-fluorescent, cell-permeant nucleic acid stain Hoechst 33342. Oxidatively stressed and nonstressed cells can be effectively distinguished by fluorescence microscopy using this combination of dyes and the protocol provided.![]()
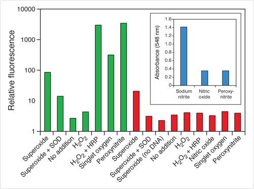
Developed by Nagano, 3'-(p-aminophenyl) fluorescein (APF, A36003) and 3'-(p-hydroxyphenyl) fluorescein (HPF, H36004) provide greater selectivity and stability than dichlorodihydrofluorescein diacetate (H2DCFDA, D399) for ROS detection.
H2DCFDA is probably the most commonly used reagent for detecting intracellular reactive oxygen species despite its lack of specificity and tendency to spontaneously photooxidize. The nonfluorescent H2DCFDA becomes fluorescent in the presence of a wide variety of reactive oxygen species including, but not limited to, peroxyl (ROO•) and hydroxyl (HO•) radicals and the peroxynitrite anion (ONOO–). In contrast, APF and HPF show much more limited reactivity and greater resistance to light-induced oxidation (Fluorescence response of APF, HPF and H2DCFDA to various reactive oxygen species (ROS)—Table 18.4). Both of these fluorescein derivatives are essentially nonfluorescent until they react with the hydroxyl radical,
peroxynitrite anion or singlet oxygen
(Figure 18.2.16). APF will also react with the hypochlorite anion (–OCl), making it possible to use APF and HPF together to selectively detect hypochlorite anion (Detecting Chloride, Phosphate, Nitrite and Other Anions—Section 21.2). In the presence of these specific reactive oxygen species, both APF and HPF yield a bright green-fluorescent product (excitation/emission maxima ~490/515 nm) and are compatible with all fluorescence instrumentation capable of visualizing fluorescein. Using APF, researchers have been able to detect the hypochlorite anion generated by activated neutrophils, a feat that has not been possible with traditional ROS indicators.![]()
We have combined the superior retention of calcein (the intracellular product of calcein AM hydrolysis in viable cells) and the oxidation sensitivity of the dihydrofluoresceins to yield the probe dihydrocalcein AM (contact Custom Services for more information). The oxidant sensitivity profile of dihydrocalcein AM has been characterized relative to that of H2DCFDA
and of alkaline elution assays of oxidative DNA modification.![]()
Fc OxyBURST Green assay reagent (F2902) was developed in collaboration with Elizabeth Simons of Boston University to monitor the oxidative burst in phagocytic cells using fluorescence instrumentation. The Fc OxyBURST Green assay reagent comprises bovine serum albumin (BSA) that has been covalently linked to dichlorodihydrofluorescein (H2DCF) and then complexed with purified rabbit polyclonal anti-BSA antibodies. When these immune complexes bind to Fc receptors, the nonfluorescent H2DCF molecules are internalized within the phagovacuole and subsequently oxidized to green-fluorescent dichlorofluorescein (DCF); see Probes for Following Receptor Binding and Phagocytosis—Section 16.1 for a more complete description.
OxyBURST Green H2HFF BSA (O13291) is a sensitive fluorogenic reagent for detecting extracellular release of oxidative products in a spectrofluorometer or a fluorescence microscope . This reagent comprises BSA that has been covalently linked to dihydro-2',4,5,6,7,7'-hexafluorofluorescein (H2HFF), a reduced dye with improved stability. Unlike Fc OxyBURST Green assay reagent, OxyBURST Green H2HFF BSA is not complexed with IgG. OxyBURST Green H2HFF BSA provides up to 1000-fold greater sensitivity than conventional methods based on spectrophotometric detection of superoxide dismutase–inhibitable reduction of cytochrome c.![]()
As an alternative to Fc OxyBURST Green assay reagent and OxyBURST Green H2HFF BSA, we offer the amine-reactive OxyBURST Green H2DCFDA succinimidyl ester (2',7'-dichlorodihydrofluorescein diacetate, SE; D2935), which can be used to prepare oxidation-sensitive conjugates of a wide variety of biomolecules and particles, including antibodies, antigens, peptides, proteins, dextrans, bacteria, yeast and polystyrene microspheres.
Following conjugation to amines, the two acetates of OxyBURST Green H2DCFDA can be removed by treatment with hydroxylamine at neutral pH to yield the dihydrofluorescein conjugate. OxyBURST Green H2DCFDA conjugates are nonfluorescent until they are oxidized to the corresponding fluorescein derivatives.
Dihydrorhodamine 123 (D632, D23806;
) is the uncharged and nonfluorescent reduction product of the mitochondrion-selective dye rhodamine 123 (R302, R22420; Probes for Mitochondria—Section 12.2). This leuco dye passively diffuses across most cell membranes where it is oxidized to cationic rhodamine 123, which localizes in the mitochondria. Like H2DCF, dihydrorhodamine 123 does not directly detect superoxide,
but rather reacts with hydrogen peroxide in the presence of peroxidase, cytochrome c or Fe2+.
However, dihydrorhodamine 123 also reacts with peroxynitrite, the anion formed when nitric oxide reacts with superoxide.
Peroxynitrite, which may play a role in many pathological conditions, has been shown to react with sulfhydryl groups, DNA and membrane phospholipids, as well as with tyrosine and other phenolic compounds.![]()
Dihydrorhodamine 123 has been used to investigate reactive oxygen intermediates produced by human and murine phagocytes,
activated rat mast cells
and vascular endothelial tissues.
It has also been employed to study the role of the CD14 cell-surface marker in H2O2 production by human monocytes.![]()
Dihydrorhodamine 123 is available as a 10 mg vial (D632) or as a stabilized 5 mM solution in DMSO (D23806). Because of the susceptibility of dihydrorhodamine 123 to air oxidation, the DMSO solution is recommended when only small quantities are to be used at a time.
Intracellular oxidation of dihydrorhodamine 6G yields rhodamine 6G, which localizes in the mitochondria of live cells (Probes for Mitochondria—Section 12.2). As compared with rhodamine 123, this cationic oxidation product has longer-wavelength spectra, making it especially useful in multicolor applications and in autofluorescent cells and tissues. Dihydrorhodamine 6G has been used for fluorescence microplate assays of granulocyte activation
and for analysis of ROS levels in human umbilical vein endothelial (HUVEC) cells by flow cytometry.![]()
Two of our MitoTracker probes—MitoTracker Orange CM-H2TMRos (M7511) and MitoTracker Red CM-H2XRos (M7513)—are chemically reactive reduced rosamines. Unlike MitoTracker Orange CMTMRos and MitoTracker Red CMXRos (M7510, M7512; Probes for Mitochondria—Section 12.2), the reduced versions of these probes do not fluoresce until they enter an actively respiring cell, where they are oxidized by reactive oxygen species to the fluorescent mitochondrion-selective probe and then sequestered in the mitochondria. Although CM-H2TMRos and CM-H2XRos are widely used as indicators of mitochondrial reactive oxygen species,
their fluorescence cannot be unambiguously associated with the site of oxidant generation, as the cationic charge that drives their electrophoretic sequestration in active mitochondria is only present after the probe has been oxidized. This same caveat also applies to dihydrorhodamine 123 and dihydrorhodamine 6G (see above). Probes such as MitoSOX Red mitochondrial superoxide indicator (see above) resolve this ambiguity by having their oxidant response and mitochondrial localization functions associated with different structural elements (Figure 18.2.3).
RedoxSensor Red CC-1 stain (2,3,4,5,6-pentafluorotetramethyldihydrorosamine) passively enters live cells and is subsequently oxidized in the cytosol to a red-fluorescent product (excitation/emission maxima ~540/600 nm), which then accumulates in the mitochondria. Alternatively, this nonfluorescent probe may be transported to the lysosomes where it is oxidized. The differential distribution of the oxidized product between mitochondria and lysosomes appears to depend on the redox potential of the cytosol.
In proliferating cells, mitochondrial staining predominates; whereas in contact-inhibited cells, the staining is primarily lysosomal (
).
Biotinylated glutathione ethyl ester (BioGEE, G36000) is a cell-permeant, biotinylated glutathione analog for the detection of glutathiolation. Under conditions of oxidative stress, cells may transiently incorporate glutathione into proteins. Stressed cells incubated with BioGEE will also incorporate this biotinylated glutathione derivative into proteins, facilitating the identification of oxidation-sensitive proteins.
Once these cells are fixed and permeabilized, glutathiolation levels can be detected with a fluorescent streptavidin conjugate (Avidin, Streptavidin, NeutrAvidin and CaptAvidin Biotin-Binding Proteins and Affinity Matrices—Section 7.6, Molecular Probes avidin, streptavidin, NeutrAvidin and CaptAvidin conjugates—Table 7.9) using either flow cytometry or fluorescence microscopy. Proteins glutathiolated with BioGEE can be captured using streptavidin agarose (S951, Avidin, Streptavidin, NeutrAvidin and CaptAvidin Biotin-Binding Proteins and Affinity Matrices—Section 7.6) and analyzed by mass spectrometry or by western blotting methods.![]()
Tetrazolium salts—especially MTT (M6494)—are widely used for detecting the redox potential of cells for viability, proliferation and cytotoxicity assays. Upon reduction, these water-soluble colorless compounds form uncharged, brightly colored formazans. Several of the formazans precipitate out of solution and are useful for histochemical localization of the site of reduction or, after solubilization in organic solvent, for quantitation by standard spectrophotometric techniques. The extremely water-soluble formazan product of XTT (X6493) does not require solubilization prior to quantitation.
Selected applications of the tetrazolium salts are listed in Tetrazolium salts for detecting redox potential in living cells and tissues—Table 18.3. Our Vybrant MTT Cell Proliferation Assay Kit (V13154, Assays for Cell Enumeration, Cell Proliferation and Cell Cycle—Section 15.4) provides a means of counting metabolically active cells; this Vybrant MTT assay can detect from 2000 to 250,000 cells, depending on the cell type and conditions. See also Viability and Cytotoxicity Assay Reagents—Section 15.2 for additional cell applications of tetrazolium salts.
For a detailed explanation of column headings, see Definitions of Data Table Contents
| Cat # | MW | Storage | Soluble | Abs | EC | Em | Solvent | Notes |
|---|---|---|---|---|---|---|---|---|
| TEMPO-9-AC | 376.48 | F,D,L | DMSO | 358 | 11,000 | 424 | MeOH | 1 |
| A12222 A22177 Amplex Red reagent | 257.25 | FF,D,A | DMSO | 280 | 6000 | none | pH 8 | 2 |
| A36003 APF | 423.42 | RO,L | DMF | 454 | 24,000 | 515 | pH 9 | 3, 4 |
| A36006 Amplex UltraRed reagent | ~300 | FF,D,A | DMSO | 293 | 11,000 | none | pH 8 | 5 |
| B3932 BODIPY 665/676 | 448.32 | F,L | DMSO, CHCl3 | 665 | 161,000 | 676 | MeOH | |
| C400 carboxy-H2DCFDA | 531.30 | F,D | DMSO, EtOH | 290 | 5600 | none | MeCN | 6 |
| C2938 6-carboxy-2´,7´-dichlorodihydrofluorescein diacetate, di(acetoxymethyl ester) | 675.43 | F,D,AA | DMSO | 291 | 5700 | none | MeOH | 6 |
| C2944 coelenterazine | 423.47 | FF,D,LL,AA | MeOH | 429 | 7500 | see Notes | pH 7 | 7, 8, 9 |
| C6827 CM-H2DCFDA | 577.80 | F,D,AA | DMSO | 287 | 9100 | none | MeOH | 6 |
| proxyl fluorescamine | 487.62 | F,D,L | DMSO, H2O | 385 | 5800 | 485 | pH 7 | 1 |
| C13293 carboxy-H2DFFDA | 498.39 | F,D | DMSO, EtOH | 290 | 5500 | none | MeCN | 10 |
| D399 H2DCFDA | 487.29 | F,D | DMSO, EtOH | 258 | 11,000 | none | MeOH | 6 |
| D632 dihydrorhodamine 123 | 346.38 | F,D,L,AA | DMF, DMSO | 289 | 7100 | none | MeOH | 11, 12 |
| dihydrorhodamine 6G | 444.57 | F,D,L,AA | DMF, DMSO | 296 | 11,000 | none | MeOH | 11, 12 |
| D1168 dihydroethidium | 315.42 | FF,L,AA | DMF, DMSO | 355 | 14,000 | see Notes | MeCN | 11, 13 |
| D2935 OxyBURST Green H2DCFDA, SE | 584.37 | F,D,AA | DMF | 258 | 11,000 | none | MeOH | 6 |
| D3861 BODIPY 581/591 C11 | 504.43 | F,L | DMSO | 582 | 140,000 | 591 | MeOH | 14 |
| DPPP | 386.43 | F,D,LL | MeCN | 358 | 29,000 | none | MeOH | 15 |
| D11347 dihydroethidium | 315.42 | FF,L,AA | DMF, DMSO | 355 | 14,000 | see Notes | MeCN | 11, 13 |
| D23107 dihydroethidium | 315.42 | FF,D,L,AA | DMSO | 355 | 14,000 | see Notes | MeCN | 13, 16 |
| dihydrocalcein, AM | 1068.95 | F,D | DMSO | 285 | 5800 | none | MeCN | 17 |
| D23806 dihydrorhodamine 123 | 346.38 | F,D,L,AA | DMSO | 289 | 7100 | none | MeOH | 12, 16 |
| F2902 Fc OxyBURST Green assay reagent | see Notes | RR,L,AA | H2O | <300 | none | 3, 18, 19 | ||
| G36000 BioGEE | 561.67 | F,D | DMSO | <300 | none | |||
| hypericin | 504.45 | F,D,L | DMSO, DMF | 591 | 37,000 | 594 | EtOH | |
| H36004 HPF | 424.41 | RO,L | DMF | 454 | 28,000 | 515 | pH 9 | 3, 4 |
| lucigenin | 510.50 | L | H2O | 455 | 7400 | 505 | H2O | 20, 21 |
| luminol | 177.16 | D,L | DMF | 355 | 7500 | 411 | MeOH | 21 |
| M689 malachite green ITC | 485.98 | F,DD,L | DMF, DMSO | 629 | 75,000 | none | MeCN | 22 |
| M6494 MTT | 414.32 | D,L | H2O, DMSO | 375 | 8300 | none | MeOH | 23, 24 |
| M7511 MitoTracker Orange CM-H2TMRos | 392.93 | F,D,L,AA | DMSO | 235 | 57,000 | none | MeOH | 11, 12 |
| M7513 MitoTracker Red CM-H2Xros | 497.08 | F,D,L,AA | DMSO | 245 | 45,000 | none | MeOH | 11, 12 |
| trans-1-(2'-methoxyvinyl)pyrene | 258.32 | F,L | DMF, DMSO | 352 | 30,000 | 401 | MeOH | 25 |
| MCLA | 291.74 | FF,D,LL,AA | DMSO | 430 | 8400 | 546 | MeOH | 26 |
| merocyanine 540 | 569.67 | D,L | DMSO, EtOH | 555 | 143,000 | 578 | MeOH | |
| M36008 MitoSox Red mitochondrial superoxide indicator | 759.71 | FF,L,AA | DMSO | 356 | 10,000 | 410 | MeCN | 11, 27 |
| N6495 NBT | 817.65 | D,L | H2O, DMSO | 256 | 64,000 | none | MeOH | 23 |
| O13291 OxyBURST Green H2HFF BSA | ~66,000 | F,D,L,AA | H2O | <300 | none | 28 | ||
| B-phycoerythrin | ~240,000 | RR,L | see Notes | 546 | 2,410,000 | 575 | pH 7 | 29 |
| P801 R-phycoerythrin | ~240,000 | RR,L | see Notes | 565 | 1,960,000 | 578 | pH 7 | 29 |
| N-(1,10-phenanthrolin-5-yl)iodoacetamide | 363.16 | F,D,L | DMSO | 270 | 28,000 | none | CHCl3 | 30 |
| cis-parinaric acid | 276.42 | FF,LL,AA | EtOH | 304 | 77,000 | 416 | MeOH | 3, 31 |
| rose bengal diacetate | 1057.75 | F,D | DMSO | 313 | 9700 | none | MeOH | 32 |
| RedoxSensor Red CC-1 | 434.41 | F,D,L,AA | DMSO | 239 | 52,000 | none | MeOH | 11, 33 |
| S36002 Singlet Oxygen Sensor Green | ~600 | F,D,L | DMSO | 508 | 105,000 | 528 | pH 7 | 34, 35 |
| X6493 XTT | 674.53 | F,D | H2O, DMSO | 286 | 15,000 | none | MeOH | 36 |
| ||||||||
仅供科研使用,不可用于诊断目的。














