To obtain accurate and reproducible results from fluorescence imaging applications, it is essential to maximize the intensity and stability of the fluorescence signal in the experimental sample. We have developed several effective antifade reagents that minimize photobleaching of fluorescently labeled specimens. The Invitrogen™ Image-iT™ FX signal enhancer (I36933) blocks nonspecific binding of dye-labeled antibodies, resulting in improved signal:background characteristics in images of immunolabeled cells and tissues. Our Invitrogen™ FluoCells™ prepared microscope slides provide ready-to-use, multicolor-labeled cell or tissue preparations for educational and commercial fluorescence microscopy demonstrations. In collaboration with Grace Bio-Labs, we also offer a wide selection of microscopy accessories, including sample chambers, slides and coverslips.

Likewise, accurate and reproducible results depend on optimal performance of the optical system. The spectral compatibility of dyes and probes (Spectral characteristics of Molecular Probes dyes—Table 23.1) with excitation light sources (Fluorescence excitation sources—Table 23.2) and emission wavelength filters must be carefully evaluated. Downloadable reference spectra are available through our online Fluorescence SpectraViewer tool (www.invitrogen.com/handbook/spectraviewer, Using the Fluorescence SpectraViewer—Note 23.1), and guidance in choosing optical filters can be found in Selecting Optical Filters for Fluorescence Microscopy—Note 23.2. Careful calibration and instrumentation adjustment are also required for high-precision imaging of fluorescent probes, particularly in multicolor applications that involve multiple exposures, repetitive scans or three-dimensional sectioning. We offer a variety of microsphere reference standards designed to facilitate adjustment and calibration of both conventional fluorescence microscopes and confocal laser-scanning microscopes. In addition, the Reference Dye Sampler Kit (R14782) provides ready-made stock solutions of five extensively characterized fluorescence standards for use in spectrofluorometers and fluorescence microplate readers. We are also the source of the NIST-traceable fluorescein standard (F36915), which is directly traceable to the fluorescein standard adopted and maintained by the National Institute of Standards and Technology.

Antifade Reagents and Mounting Media

Loss of fluorescence through irreversible photobleaching processes can lead to a significant reduction in sensitivity, particularly when target molecules are of low abundance or when excitation light is of high intensity or long duration.ref To minimize photobleaching of experimental samples, we have developed the Invitrogen™ ProLong™, ProLong™ Gold, SlowFade™and SlowFade™Gold Antifade Kits and reagents, which have been shown to increase the photostability of many of our fluorophores in fixed cells, fixed tissues and cell-free preparations. The primary function of any antifade reagent is to sustain dye fluorescence, usually by inhibiting the generation and diffusion of reactive oxygen species. Other strategies for avoiding photobleaching include reducing the excitation light intensity by using high–numerical aperture objectives and low magnification as well as hardware control of the excitation light's spatial ref and temporal ref distribution. Loss of fluorescence signal due to attenuated excitation can be compensated to some extent by use of high-quality optical filters and high-efficiency photodetectors.

ProLong Gold Antifade Reagent

ProLong Gold antifade reagent is an improved version of the ProLong antifade reagent, a component of the ProLong Antifade Kit described below. The ProLong Gold antifade reagent causes little or no quenching of the fluorescent signal while protecting the sample from photobleaching (Figure 23.1.1, photo). Furthermore, unlike the reagents in the ProLong Antifade Kit, the ProLong Gold antifade reagent is premixed and ready to use—just add a drop to the preparation and mount. As with our original ProLong antifade reagent, ProLong Gold reagent cures within 24 hours and the sample can be saved for months after mounting. ProLong Gold reagent offers excellent compatibility with a multitude of dyes and dye complexes, making it an especially valuable tool for multicolor applications ref (photo). The ProLong Gold antifade reagent is available in a single 10 mL bottle (P36930) and in a single 2 mL bottle (P10144), as well as in a set of five 2 mL bottles (P36934).

As an added convenience, we also offer ProLong Gold antifade reagent containing DAPI, the popular nuclear and chromosome stain that emits blue fluorescence upon binding to DNA. The addition of DAPI in the mounting media eliminates the need for a separate counterstaining step. ProLong Gold antifade reagent with DAPI is available in a single 10 mL bottle (P36931) and in a single 2 mL bottle (P36941), as well as in a set of five 2 mL bottles (P36935).

fluorescence-microscopy.par.81272.image.559.245.1.s002583-s002582-prolong-gold-and-slowfade-gold-gif
Figure 23.1.1 ProLong Gold and SlowFade Gold antifade reagents provide enhanced resistance to photobleaching. Fluorescein-labeled microspheres were mounted A) with ProLong Gold antifade reagent (P36930, P36934) or ProLong Antifade Kit with SlowFade Gold antifade reagent (S36936, S36937) or SlowFade Antifade Kit (S2828) and illuminated for 30 seconds using a 100-watt Hg-arc lamp. Sampels were imaged using a 40×/1.3 NA oil immersion lens and acquired using a 12-bit monochrome CCD camera. The same exposure settings were used for all images. The data plotted are the average fluorescence intensities from 20 microspheres.

ProLong Antifade Kit

The ProLong Antifade Kit (photo) contains our original ProLong antifade reagent, which has proven to effectively enhance the resistance of many different fluorophores to photobleaching. Furthermore, specimens mounted using the ProLong Antifade Kit exhibit little or no quenching of the fluorescent signal of most dyes.

Each ProLong Antifade Kit contains:

  • ProLong antifade reagent powder
  • ProLong mounting medium
  • Detailed protocols for mounting samples (ProLong Antifade Kit

Bovine pulmonary arterial epithelial cells (BPAEC) labeled with fluorescein phalloidin (F432) photobleached to about 12% of the initial value in 30 seconds in PBS, while staying at the initial value under the same illumination conditions when mounted using the ProLong Antifade Kit (photo). As shown in Figure 23.1.2, the ProLong Antifade Kit provides more fluorescence output than a popular p-phenylenediamine–containing antifade reagent ref when used to mount fluorescein-stained HEp-2 cells. The ProLong antifade reagent also inhibits the fading of tetramethylrhodamine, as well as the fading of DNA-bound nucleic acid stains such as DAPI, propidium iodide and YOYO-1 (Nucleic Acid Stains—Section 8.1), again without significantly quenching the fluorescence of these dyes.ref The compatibility of the ProLong antifade reagent with a multitude of dyes and dye complexes makes it an especially valuable tool for multicolor analysis procedures such as multiplexed fluorescence in situ hybridization ref (FISH).

fluorescence-microscopy.par.85927.image.559.234.1.s000334-red-dye-conjugates-gif
Figure 23.1.2 Bleaching profiles of A) fluorescein and B) Texas Red dye conjugates in cell samples. In these photobleaching experiments, human epithelial (HEp-2) cells were probed with human anti-nuclear antibodies and then developed for visualization with fluorophore-labeled secondary reagents. Identical samples were mounted in ProLong antifade reagent (triangle symbol), Product X (+ symbol) or medium containing no antifade reagent (circle symbol). Although these data were normalized, we observed little or no quenching of samples mounted with the ProLong mounting medium.

SlowFade Antifade Kit

Our original SlowFade antifade formulation (S2828) was designed to reduce the fading rate of fluorescein to almost zero. Because it provides nearly constant emission intensity from fluorescein, this SlowFade antifade reagent is especially useful for quantitative measurements and applications that employ confocal laser-scanning microscopy.ref However, this original SlowFade formulation substantially quenches the fluorescence of fluorescein and almost completely quenches that of the Alexa Fluor 350, Alexa Fluor 405 and Cascade Blue fluorophores.

Each SlowFade Antifade Kit contains:

  • SlowFade antifade reagent in 50% (v/v) glycerol, ready to use and sufficient for at least 200 coverslip-size experiments
  • Concentrated SlowFade antifade reagent solution, provided for those applications in which glycerol may not be compatible
  • Equilibration buffer, which raises the pH of the sample, increasing the protection afforded by the SlowFade antifade formulation
  • Detailed protocols for mounting samples (SlowFade Antifade Kits)

SlowFade Gold Antifade Reagent

To overcome the limitations of the original SlowFade antifade reagent, especially with blue fluorophores, we have developed the SlowFade Gold antifade reagent. The SlowFade Gold antifade formulation slows fluorescein's fading rate by about fivefold without significantly reducing fluorescein's initial fluorescence intensity, thereby dramatically increasing the signal-to-noise ratio in photomicroscopy. Moreover, quenching of the Alexa Fluor 350, Alexa Fluor 405, Cascade Blue, tetramethylrhodamine and Texas Red dyes is minimal. In fact, the SlowFade Gold antifade reagent reduces the fading rate of the Cascade Blue fluorophore to almost zero, while decreasing its emission intensity by only about 30%.

The SlowFade Gold antifade reagent is available in a single 10 mL bottle (S36936) and in a single 2 mL bottle (S36940), as well as in a set of five 2 mL bottles (S36937). As with the ProLong Gold antifade reagents, we also offer SlowFade Gold antifade reagent containing the blue-fluorescent nuclear counterstain DAPI. SlowFade Gold antifade reagent with DAPI is available in a single 10 mL bottle (S36938) and in a single 2 mL bottle (S36942), as well as in a set of five 2 mL bottles (S36939). These reagents permit simultaneous nuclear staining and protection of the stained sample from photobleaching.ref

Unlike the ProLong and ProLong Gold antifade reagents, the SlowFade and SlowFade Gold antifade reagents do not cure over time so samples can be viewed immediately; however, SlowFade Gold reagents are intended for short-term use (3–4 weeks) only and mounted samples may degrade over longer time periods. Secondary sealing of coverslips with wax or nail polish is recommended when working with high magnification objectives or preparing specimens for storage and subsequent imaging.

Qmount Qdot Mounting Media

The unique physical properties of Qdot nanocrystals (Qdot Nanocrystals—Section 6.6) make them largely incompatible with ProLong Gold, SlowFade Gold and other mounting media designed primarily for use with organic dyes. Qmount Qdot mounting media (Q10336) is a specialized mountant that preserves the fluorescence signal of Qdot nanocrystals with little to no quenching of the signal’s initial intensity. The formulation cures within 12 hours and is provided in a convenient and easy-to-use dropper bottle. This mounting medium offers excellent compatibility with all eight Qdot nanocrystal spectral types (Qdot Nanocrystals—Section 6.6) and their conjugates, as well as the nuclear counterstain Qnuclear Deep Red stain (Q10363Probes for the Nucleus—Section 12.5), making it an especially valuable tool for multicolor Qdot nanocrystal imaging applications (Figure 23.1.3). Qmount Qdot mounting media is not recommended for use with Alexa Fluor dyes or fluorescent proteins.

fluorescence-microscopy.par.95127.image.559.263.1.s007301-qdot-nanocrystals-gif
Figure 23.1.3 Human carcinoma (HeLa) cell labeled with Qdot nanocrystals and mounted with Qmount media. Mitochondria were detected with anti–OxPhos complex V inhibitor protein IgG (A21355) and labeled with Qdot 625 goat F(ab’)2 anti–mouse IgG antibody (A10195, red fluorescence); the Golgi apparatus was detected with rabbit anti-giantin antibody and labeled with Qdot 585 goat F(ab’)2 anti–rabbit IgG antibody (Q11411MP, yellow fluorescence); tubulin was detected with rat anti-tubulin antibody and labeled with DSB-X biotin goat anti–rat IgG antibody (D20697) and Qdot 525 streptavidin (Q10141MP, green fluorescence). The nucleus was labeled with Qnuclear Deep Red Stain (Q10363, purple fluorescence), and the slide was mounted with Qmount Qdot mounting media (Q10336)

Image-iT FX Signal Enhancer

By efficiently blocking nonspecific electrostatic interactions of anionic fluorescent dyes with cationic cell and tissue constituents, the Image-iT FX signal enhancer (I36933) dramatically improves the signal-to-noise ratio of immunolabeled cells and tissues,ref allowing clear visualization of targets that would normally be indistinguishable due to background fluorescence (photo, photo, photo). Background staining seen with fluorescent conjugates of streptavidin (Fluorescent dyes successfully tested with the Image-iT FX signal enhancer—Table 7.4), goat anti–mouse IgG antibody or goat anti–rabbit IgG antibody is largely eliminated when Image-iT FX signal enhancer is applied to fixed and permeabilized cells prior to staining.

FluoCells Prepared Microscope Slides

Ideal for educators and instrument manufacturers, our popular FluoCells prepared microscope slides contain multilabeled cell preparations for observation by epifluorescence or confocal laser-scanning microscopy. The multicolor staining in these cell and tissue preparations can deliver publication-quality images and lasts through repeated viewings. These slides are especially useful for setting up microscopes and camera systems and for assessing the capabilities of optical filter sets.ref When stored properly, these permanently mounted specimens will retain their bright and specific staining patterns for at least six months from the date of purchase. We currently offer five different FluoCells prepared microscope slides:

  • FluoCells prepared slide #1 (F36924 shows bovine pulmonary artery endothelial cells (BPAEC) stained with Invitrogen™ MitoTracker™ Red CMXRos for labeling mitochondria, Invitrogen™ Alexa Fluor™ 488 phalloidin for labeling F-actin and DAPI for labeling the nucleus.
  • FluoCells prepared slide #2 ref (F14781, photo) again contains BPAEC, but this time stained with Invitrogen™ Texas Red™-X phalloidin for labeling F-actin, mouse monoclonal anti–α-tubulin antibody in conjunction with Invitrogen™ BODIPY™ FL goat anti–mouse IgG antibody for labeling microtubules and DAPI for labeling the nucleus.
  • FluoCells prepared slide #3 (F24630; photo, photo, photo) contains a 16 µm cryostat section of a mouse kidney. Green-fluorescent  Alexa Fluor 488 wheat germ agglutinin stains the glomeruli and convoluted tubules; red-fluorescent Invitrogen™ Alexa Fluor™ 568 phalloidin labels actin, which is especially prevalent in glomeruli and the brush border of proximal convoluted tubules; finally, DAPI stains the nuclei with blue fluorescence.
  • FluoCells prepared slide #4 (F24631, photo) contains a 16 µm cryostat section of a mouse intestine. Alexa Fluor™ 350 wheat germ agglutinin labels the mucus of goblet cells with blue fluorescence; the red-fluorescent Alexa Fluor 568 phalloidin labels actin filaments, which are especially prevalent in the brush border of the intestinal mucosa; and Invitrogen™ SYTOX™ Green nucleic acid stain labels nuclei with green fluorescence.
  • FluoCells prepared slide #6 (F36925, photo) contains muntjac skin fibroblast cells stained with a combination of fluorescent stains. Green-fluorescent Alexa Fluor 488 phalloidin labels the prominent filamentous actin in these cells; a mouse monoclonal anti–OxPhos Complex V inhibitor protein antibody in conjunction with the orange-fluorescent Alexa Fluor™ 555 goat anti–mouse IgG antibody labels mitochondria; far-red–fluorescent Invitrogen™ TO-PRO™-3 nucleic acid stain labels nuclei. Because it contains no blue-fluorescent dyes, this slide is ideal for use with confocal laser-scanning microscopes that rely on non–UV laser light sources.

FocalCheck Fluorescent Microspheres

FocalCheck Ring-Stained Fluorescent Microspheres

Invitrogen™ FocalCheck™ fluorescent microspheres are specifically designed for examining the alignment, sensitivity and stability of confocal laser-scanning microscopes.ref They are particularly useful for confirming the optical sectioning thickness (Z-resolution) in three-dimensional imaging applications. These polystyrene beads—available in 6 µm and 15 µm diameters—have been treated using a proprietary method in which a fluorescent dye is allowed to penetrate to only a limited depth within the microsphere. The resulting beads have a well-defined dye layer that, when viewed in cross section in the confocal laser-scanning microscope, appears as a fluorescent ring of varying dimensions depending on the focal plane (Figure 23.1.4, photo). We refer to this proprietary staining procedure as ring staining to differentiate it from routine staining throughout the bead.

FocalCheck microspheres are available in a variety of color configurations provided by five different fluorescent stains:

  • Blue (365/430 nm)
  • Green (505/515 nm)
  • Orange (560/580 nm)
  • Red (575/600 nm)
  • Dark red (660/680 nm) 

The excitation/emission maxima of the different stains are well matched to the laser sources and optical filters commonly used in confocal laser-scanning microscopy and are especially useful in testing and aligning confocal laser-scanning microscopes with multiple laser lines and detection channels (Figure 23.1.5). Moreover, because the dyes are localized within the bead and therefore protected from environmental factors, the FocalCheck microspheres are brighter and much more photostable than conventional surface-stained beads.

FocalCheck products are available in various different color configurations, including three suspensions that contain microspheres exhibiting ring stains of two or three different fluorescent colors:

  • Blue-fluorescent and orange-fluorescent ring stains (15 µm, F7234)
  • Green-fluorescent and dark red–fluorescent ring stains (15 µm, F7240)
  • Green-fluorescent, orange-fluorescent and dark red–fluorescent ring stains (6 µm, F14806; 15 µm, F7235)

We also supply four suspensions that contain microspheres exhibiting a ring stain of one fluorescent color combined with a stain of a second fluorescent color throughout the bead:

  • Green-fluorescent ring stain with blue-fluorescent stain throughout (6 µm, F14808; 15 µm, F7237)
  • Green-fluorescent ring stain with dark red–fluorescent stain throughout (15 µm, F7238)
  • Orange-fluorescent ring stain with blue-fluorescent stain throughout (15 µm, F7236)
  • Dark red–fluorescent ring stain with green-fluorescent stain throughout (6 µm, F14807; 15 µm, F7239, photo)

The sharp ring stains exhibited by the FocalCheck microspheres produce a striking visual representation of instrument misalignment or other aberrations, making them ideal as reference standards for confocal laser-scanning microscopy. Correct image registration is indicated when the multiple ring images of the ring-stained FocalCheck beads (or the ring and disk images of the combination ring-stained and stained-throughout FocalCheck beads) are perfectly coincident in all dimensions (Figure 23.1.4).

fluorescence-microscopy.par.77832.image.420.613.1.s002002-focal-check-microspheres-gif


Figure 23.1.4 Confocal laser-scanning microscope optical cross-sectioning and alignment with FocalCheck microspheres. A) Serial optical sectioning from top to bottom along the z-axis of ring-stained microspheres reveals a continuous pattern of disc-to-ring-to-disc images. B) The diameter of the fluorescent ring (or disc) seen is dependent on the depth of the optical focal plane. C) In the confocal laser-scanning microscope, separate light paths exist for UV and visible wavelengths. Also, emitted fluorescence is detected by different photomultipliers. Proper optical alignment may be obtained with either of two types of FocalCheck microspheres. For example, the microspheres with an orange ring stain that are blue-fluorescent throughout the bead allow UV/visible wavelength alignment in three dimensions upon aligning the orange ring with the blue disc. Focal alignment is also possible simultaneously in three colors by aligning the green, orange and dark red rings of the FocalCheck microspheres containing fluorescent green/orange/dark red ring stains.

fluorescence-microscopy.par.75165.image.460.324.1.s000972-excitation-spectra-dyes-gif


Figure 23.1.5 Normalized excitation spectra of the dyes contained in the FocalCheck microspheres. Emission lines of several commonly used laser excitation sources are superimposed on the dyes' excitation spectra to illustrate the wide range of usage of these beads as calibration references. Ar = Argon-ion laser. Kr-Ar = Krypton–argon laser. He-Ne = Helium–neon laser.

FocalCheck Thin-Ring Fluorescent Microspheres

Our Invitrogen™ FocalCheck™ Thin-Ring Fluorescent Microspheres Kit (F14791) contains smaller-diameter microspheres that have spectral and physical features similar to those of our 6 µm and 15 µm FocalCheck microspheres. Because we prepare these 1.0 µm beads using fluorescent stains that are restricted to the surface only, they exhibit sharper and thinner fluorescent ring patterns when viewed in cross section with a confocal laser-scanning microscope. The FocalCheck Thin-Ring Fluorescent Microspheres Kit (FocalCheck Thin-Ring Fluorescent Microspheres) contains three 200 µL suspensions of 1.0 µm beads. Each suspension contains beads with a different color configuration:

  • Green-fluorescent (495/515 nm) and red-fluorescent (575/600 nm) ring stains
  • Green-fluorescent (495/515 nm) ring stain with dark red–fluorescent (660/680 nm) stain throughout the bead
  • Red-fluorescent (575/600 nm) ring stain with blue-fluorescent (365/430 nm) stain throughout the bead

FocalCheck Microspheres Pre-Mounted on Microscope Slides

In addition to the bead suspensions described above, we offer FocalCheck microspheres pre-mounted on microscope slides. The FocalCheck Fluorescent Microsphere Kits feature mounted samples of three different color configurations, in either the 6 µm (F24633) or the 15 µm (F24634) bead size:

  • FocalCheck beads with green-fluorescent, orange-fluorescent and dark red–fluorescent ring stains
  • FocalCheck beads with green-fluorescent ring stain and blue-fluorescent stain throughout the bead
  • FocalCheck beads with dark red–fluorescent ring stain and green-fluorescent stain throughout the bead

FocalCheck Fluorescence Microscope Test Slides

Invitrogen™ FocalCheck™ fluorescence microscope test slides #1, #2, and #3 are specifically designed for calibrating fluorescence microscope systems and evaluating system and filter performance:

The slides each contain 10 sample areas (arranged in 2 rows) coated with proprietary fluorescent microspheres designed specifically for microscopy applications (Contents of FocalCheck fluorescence microscope tests slides—Table 23.3). Detailed descriptions of the slide configurations are provided in the product information sheet (FocalCheck Fluorescence Microscope Test Slides). The microspheres are mounted in optical cement (refractive index ~1.52) for maximal stability. The optical thickness of the mounted bead specimens may result in spherical aberration or inability to focus when using certain types of objectives. Users who encounter these problems are encouraged to contact our Technical Assistance Department.

FocalCheck Fluorescent Microspheres for Spectral Unmixing

We have prepared two FocalCheck Fluorescent Microspheres Kits for testing spectral separation on spectral imaging systems.ref These microspheres are stained with two different fluorescent dyes that appear similar in color by eye but are sufficiently different to be resolved by linear-unmixing techniques. When linear-unmixing data-processing algorithms are applied, the dyes are shown to be spectrally distinct and spatially separated—one appears only within the outer ring and the other appears throughout the microsphere (photo). These 6 µm, dual-stained microspheres are provided mounted on a microscope slide in each of the following kits:

  • FocalCheck DoubleGreen Fluorescent Microspheres Kit (F36905), with a green-fluorescent (500/512 nm) ring dye and a slightly longer-wavelength green-fluorescent (512/525 nm) core dye
  • FocalCheck DoubleOrange Fluorescent Microspheres Kit (F36906), with an orange-fluorescent (532/552 nm) ring dye and a slightly longer-wavelength orange-fluorescent (545/565 nm) core dye 

For generating reference spectra, these kits also contain two additional slides containing microspheres stained uniformly with each of the individual dyes. Downloadable reference spectra are also available through our online Fluorescence SpectraViewer tool (www.invitrogen.com/handbook/spectraviewerUsing the Fluorescence SpectraViewer—Note 23.1).

MultiSpeck, TetraSpeck and Constellation Fluorescent Microspheres

The Invitrogen™ MultiSpeck™ and TetraSpeck™ fluorescent microspheres greatly facilitate the adjustment and calibration of conventional fluorescence microscopes, confocal laser-scanning microscopes and associated image-processing equipment for multicolor applications. These uniform, multiply stained microspheres are useful for colocalizing and focusing different wavelengths of light in the same optical plane, as well as for checking multicolor image resolution, magnification and sensitivity.

MultiSpeck Multispectral Fluorescence Microscopy Standards Kit

The 4 µm MultiSpeck microspheres in our Invitrogen™ MultiSpeck™ Multispectral Fluorescence Microscopy Standards Kit (M7901) exhibit three relatively distinct emission bands—blue, green and red—throughout every particle (photo). The spectral characteristics (excitation/emission peaks at 365/405 nm, 520/525 nm and 580/600 nm) are compatible with optical filter sets designed for commonly used blue, green and red fluorophores (e.g., DAPI, fluorescein and rhodamine or Texas Red dyes or their Alexa Fluor dye counterparts). The MultiSpeck beads can be used as external references for assessing image registration in two and three dimensions, allowing the researcher to accurately determine the spatial relationships of different labels in multiparameter experiments. The MultiSpeck Multispectral Fluorescence Microscopy Standards Kit contains:

  • Suspension of MultiSpeck multispectral microspheres
  • Mixed suspension of separately stained blue-, green- and red-fluorescent microspheres, which exhibit the same three excitation/emission bands as the multispectral microspheres but in separate beads
  • Mounting medium
  • Slide-mounting protocol (Multispeck Multispectral Fluorescence Microscopy Standards Kit

Both suspensions are provided at a ready-to-use density and can be mounted on slides or incorporated into an experimental sample. Each kit supplies a sufficient amount of material for ~50 slide preparations using either of the two bead suspensions provided.

TetraSpeck Fluorescent Microspheres and Sampler Kits

Our TetraSpeck fluorescent microspheres ref expand the multispectral strategy introduced with the MultiSpeck beads in two important ways. First, the TetraSpeck beads have been stained throughout with a mixture of four different fluorescent dyes, yielding four well-separated excitation and emission peaks (Figure 23.1.6, photo). The excitation/emission maxima of the dyes are 350/440 nm (blue), 505/515 nm (green), 575/585 nm (orange) and 655/685 nm (dark red). Second, these microspheres are available in five nominal sizes (actual bead diameters are indicated on the product labels), spanning the range from subresolution to nearly cell-size particles:

Each of these products provides a 0.5 mL suspension sample of TetraSpeck microspheres that is sufficient for about 100 slides (TetraSpeck Fluorescent Microsphere Standards). We offer the Invitrogen™ TetraSpeck™ Fluorescent Microspheres Sampler Kit (T7284) and the TetraSpeck™ Fluorescent Microspheres Size Kit (T14792). The TetraSpeck Fluorescent Microspheres Sampler Kit consists of separate suspension samples of our 0.1 µm, 0.5 µm and 4.0 µm TetraSpeck beads, each sufficient for preparing about 20 slides. The TetraSpeck Fluorescent Microspheres Size Kit contains six microscope slides; five slides with a mounted sample of the 0.1 µm, 0.2 µm, 0.5 µm, 1.0 µm or 4.0 µm diameter TetraSpeck microspheres, and a sixth slide with a mixture of all five sizes. TetraSpeck microspheres have been used to calibrate the spatial distribution of illumination for high-content screening (HCS),ref and as reference markers for image alignment in high-resolution immunofluorescence colocalization analysis.ref In addition, various FluoSpheres and TetraSpeck beads have been used as reference standards for two-photon excitation microscopy, and in particular for the in situ determination of the two-photon excitation point-spread function (PSF).ref

fluorescence-microscopy.par.16263.image.275.244.1.s007949-tetraspeck-jpg


Figure 23.1.6 Normalized fluorescence emission spectra of the blue (1), green (2), orange (3) and dark red (4) dyes contained in TetraSpeck fluorescent microspheres. These spectra and the corresponding fluorescence excitation spectra can be plotted in relation to excitation laser lines and excitation and emission filter bandpass characteristics using our online Fluorescence SpectraViewer (www.invitrogen.com/handbook/spectraviewer).

Constellation Microspheres for Imaging

Constellation microspheres for imaging (C14837photophoto) are 3 mL suspensions of assorted fluorescent microspheres with a variety of sizes and colors. Designed for use in laboratory tutorials and customer training sessions, they provide inexpensive and robust test samples for demonstrating filter switching, focus adjustment and other functional capabilities of fluorescence microscopes. The Constellation microspheres can be stored at room temperature, protected from light.

PS-Speck Microscope Point Source Kit

The fluorescent microspheres in the Invitrogen™ PS-Speck™ Microscope Point Source Kit (P7220) have a diameter of 0.175 ± 0.005 µm, making them ideal subresolution fluorescent sources for calibrating instrument optics. They are particularly useful for measuring the point-spread function (PSF) required for computational image deconvolution procedures ref (photo, photo). This kit's four ready-to-use suspensions contain bright monodisperse particles in the following fluorescent colors (and excitation/emission peaks):

  • Blue (360/440 nm)
  • Green (505/515 nm)
  • Orange (540/560 nm)
  • Deep red (633/660 nm)

The kit also includes mounting medium and a mounting protocol for the user's convenience. Each suspension provides sufficient material to mount about 100 slides. PS-Speck microspheres are too large to represent point source objects for microscopes equipped with high numerical aperture (e.g., NA 1.4) oil immersion objectives. In such cases, we recommend our 0.1 µm TetraSpeck fluorescent microspheres (T7279, see above) or 0.1 µm and 0.04 µm FluoSpheres carboxylate-modified microspheres (Microspheres—Section 6.5) for PSF determinations.

InSpeck Microscopy Image Intensity Calibration Kits

Invitrogen™ InSpeck™ Microscope Image Intensity Calibration Kits provide microsphere standards that generate a series of well-defined fluorescence intensity levels (Figure 23.1.7) for constructing calibration curves and evaluating sample brightness.ref InSpeck microspheres have been used to estimate the global background and signal response for high-content screening (HCS).ref

Most of the kits are offered in a choice of two different microsphere sizes (2.5 µm or 6 µm) and five different fluorescent colors:

  • InSpeck Blue (350/440 nm) Kit, (2.5 µm, I7221)
  • InSpeck Green (505/515 nm) Kits (2.5 µm, I7219; 6 µm, I14785)
  • InSpeck Orange (540/560 nm) Kits (2.5 µm, I7223; 6 µm, I14786)
  • InSpeck Red (580/605 nm) Kits (2.5 µm, I7224; 6 µm, I14787)
  • InSpeck Deep Red (633/660 nm) Kit (2.5 µm, I7225

Each kit includes six separate suspensions of InSpeck fluorescent microspheres with relative fluorescence intensities of 100%, 30%, 10%, 3%, 1% and 0.3% (Figure 23.1.7), covering the range of intensities commonly encountered in microscopy applications. Unstained control beads and mounting medium are also supplied. The aqueous suspensions of microspheres may be applied directly to the sample for calibrating fluorescence intensities or mounted separately in an adjacent well or on another slide (InSpeck Microscope Image Intensity Calibration Kits). Each suspension provides sufficient material to prepare about 100 slides.

fluorescence-microscopy.par.96911.image.398.321.1.s001045-inspeck-green-microscope-gif


Figure 23.1.7 Flow cytometric analysis of the beads in the 6 µm InSpeck Green Microscope Image Intensity Calibration Kit (I14785). The microspheres have nominal relative fluorescence intensities of 100%, 30%, 10%, 3%, 1%, 0.3%. For each lot, actual relative intensities are determined by flow cytometry and printed on the product labels.

Fluorescence Reference Standards

Fluorescein NIST-Traceable Standard

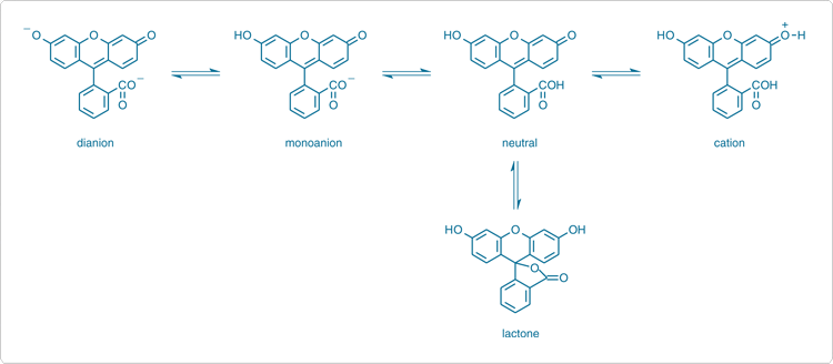
The National Institute of Standards and Technology (NIST) chose high-grade Invitrogen fluorescein to create Standard Reference Material 1932 (SRM 1932), a certified fluorescein solution. We now offer a NIST-traceable fluorescein standard (F36915) that not only meets the stringent criteria established by NIST, but is also directly traceable to SRM 1932. We supply our NIST-traceable fluorescein standard as a calibrated 50 µM solution of fluorescein in 100 mM sodium borate buffer, pH 9.5; under these conditions, fluorescein is completely ionized ref and is therefore in its most fluorescent form (Figure 23.1.8, Figure 23.1.9), exhibiting an extremely high quantum yield of 0.93 (Probes Useful at Near-Neutral pH—Section 20.2).

Academic researchers and industry scientists alike can use our NIST-traceable fluorescein standard to assess day-to-day or experiment-to-experiment variation in fluorescence-based instrumentation, as well as to determine the Molecules of Equivalent Soluble Fluorophore (MESF) value for an experimental solution. The MESF value is defined not as the actual number of dye molecules present, but rather as the number of fluorophores that would yield a fluorescence intensity equivalent to that of the experimental solution when analyzed on the same instrument under the same conditions.ref Consequently, the MESF value is an important tool for characterizing the fluorescence intensity of a solution containing spectrally similar dye molecules attached to antibodies, nucleic acids, microspheres or other substrates that might enhance or diminish the fluorescence. When its pH is carefully matched with that of the experimental solution, our NIST-traceable fluorescein standard can be used for accurate MESF determinations of a wide range of green-fluorescent dye solutions and on an assortment of fluorescence-based instruments.

fluorescence-microscopy.par.26668.image.750.328.1.s000309-ionization-equilibria-fluorescein-gif
Figure 23.1.8 Ionization equilibria of fluorescein.
fluorescence-microscopy.par.55367.image.700.262.1.s000316-spectra-fluorescein-gif
Figure 23.1.9 The pH-dependent spectra of fluorescein (F1300): A) absorption spectra, B) emission spectra

Reference Dye Sampler Kit

Our Reference Dye Sampler Kit (R14782) provides samples of five extensively characterized fluorescence standards with emission spectra covering the entire visible wavelength range.ref All five fluorescent standards are supplied as 1 mM stock solutions in 1 mL units, sufficient to prepare approximately 500 diluted working samples for spectrofluorometry. The compositions of the stock solutions are as follows:

  • Quinine sulfate in 0.1 M sulfuric acid (H2SO4)
  • Fluorescein in dimethylsulfoxide (DMSO)
  • 5-Carboxytetramethylrhodamine in DMSO
  • Sulforhodamine 101 in DMSO
  • Nile blue perchlorate in DMSO

Spectroscopic data for the five standards are summarized in Spectroscopic data for components of the Reference Dye Sampler Kit—Table 23.4. Reference spectra for all five fluorescent standard solutions are provided through our online Fluorescence SpectraViewer tool (www.invitrogen.com/handbook/spectraviewer).

Sample Chambers, Slides and Coverslips

In collaboration with Grace Bio-Labs, we offer a collection of accessories for imaging and microscopy. These accessories make slide preparation easy, facilitate sample perfusion and simplify sample manipulation during in situ hybridization and other procedures that involve multiple wash steps.

CultureWell Cell Culture Systems

The Invitrogen™ CultureWell™ cell culture systems provide an integrated set of tools for preparing cultured cells for staining and imaging. Each system uses medical-grade silicone gaskets preassembled with standard optical-quality coverslips into convenient inserts that fit into matching cell culture plates (Figure 23.1.10). The entire system is provided sterile and ready to use. Cell culture, treatment and staining are performed on the coverslip, which adheres securely to the culture plate via a silicone backing. The samples can then be imaged with or without the silicone gaskets. Two types of systems are available in several configurations to suit a variety of needs (CultureWell cell culture systems and chambered coverslips—Table 23.5).

fluorescence-microscopy.par.56410.image.275.211.1.s001445-culturewell-gif


Figure 23.1.10 CultureWell cell culture system.

The CultureWell multiwell cell culture systems use precut silicone gaskets to form convenient no-leak wells on 24 × 50 mm coverslips. The wells are spaced for compatibility with microfluidic handling robots. Low numbers of wells are ideal for titering antibody dilutions or other staining conditions, whereas the higher numbers of wells facilitate high-throughput screening. Each insert includes four coverslips with gaskets, preassembled into a culture plate. Silicone dividers (C24770Figure 23.1.11) are also available for separating portions of the coverslip into leak-proof wells, for different treatment and washing conditions.

fluorescence-microscopy.par.47817.image.275.186.1.s001821-culture-well-silicone-dividers-gif


Figure 23.1.11 CultureWell silicone dividers (C24770).

The CultureWell multislip cell culture systems comprise multiple coverslips arrayed on a sheet of silicone and assembled into a convenient insert. The silicone backing adheres the coverslips to the tissue culture plate, preventing movement during plating, cell culture and washing steps. Each coverslip can be removed separately for individual staining experiments. The CultureWell cell culture systems are provided in a set of 10 preassembled inserts in plates.

CultureWell Chambered Coverslips

The CultureWell chambered coverslips (CultureWell cell culture systems and chambered coverslips—Table 23.5Figure 23.1.12) are the same gasketed coverslips provided in our CultureWell cell culture systems (see above), but they are not preassembled into inserts. The chambered coverslip can be placed in CultureWell plates (C24769) or other cell culture dishes for cell culture and staining. The silicone gasket can be easily removed and the coverslip placed on a slide for microscopy. The CultureWell chambered coverslips provide maximum versatility for designing smaller scale cell culture applications. They are provided in sets of five sterile pouches, with four chambered coverslips per pouch.

fluorescence-microscopy.par.1653.image.275.186.1.s001808-culturewell-coverslips-gif


Figure 23.1.12 CultureWell chambered coverslips.

CultureWell Chambered Coverglasses

The CultureWell chambered coverglass—provided sterile and ready to use—contains 16 wells that can each hold up to 250 µL, allowing cells to be cultured in a number of different conditions on a single slide (Figure 23.1.13). A silicone gasket forms a leakproof seal between the polystyrene upper structure and the coverglass. When the cells are ready to be imaged, coverglass removal is made easy by the use of a simple tool that separates the parts without the need for excessive force, eliminating the risk of coverglass breakage (Figure 23.1.14). Removal of the silicone gasket leaves no residue. The components of the chambered coverglass are manufactured and assembled with special orientation features to allow easy location of a specific specimen after the coverglass is mounted. Frosted microscope slides are also provided for mounting. The CultureWell removable chambered coverglass has several important features:

  • Black silicone gasket reduces light scatter, enhancing fluorescence applications.
  • Inert, non-cytotoxic silicone permits edge-to-edge growth of cells in the wells.
  • Wells are spaced to allow the use of multichannel pipettes for fast and easy cell culturing.
  • Silicone gasket remains attached to the coverglass after separation, allowing the wells to be used as reagent reservoirs.
  • Gasket design is ideally suited for small-volume incubations, in situ hybridization and immunostaining.
  • Chambered coverglass is provided sterile and ready to use.

We offer the CultureWell chambered coverglass in a package containing eight chambered coverglasses and the removal tool (C37000), as well as in a sample size containing a pair of chambered coverglasses (C37005).

fluorescence-microscopy.par.34762.image.275.202.1.s002226-culturewell-gif


Figure 23.1.13 The CultureWell removable chambered coverglass for cell culture (C37000).

fluorescence-microscopy.par.38973.image.275.265.1.s002227-cell-culture-gif


Figure 23.1.14 Using the CultureWell removable chambered coverglass for cell culture (C37000). When the cells are ready to be imaged, coverglass removal is made easy by the use of a simple tool (included with the coverglass) that separates the parts without the need for excessive force, eliminating the risk of coverglass breakage.

CoverWell Imaging Chamber Gaskets

CoverWell imaging chamber gaskets (CoverWell chamber gaskets—Table 23.6Figure 23.1.15) incorporate a thin, optically clear plastic cover, making them ideal for light, epifluorescence and confocal laser-scanning microscopy.ref By simply pressing an imaging chamber gasket to a microscope slide or coverslip, a sealed chamber is formed to contain mounting medium. The watertight chamber supports and stabilizes thick and free-floating specimens, permitting resolution of fine internal structures and analysis of markers without the compression or movement artifacts that affect observations made using an ordinary coverslip.

fluorescence-microscopy.par.86853.image.275.194.1.s000860-chamber-gaskets-gif


Figure 23.1.15 CoverWell imaging chamber gaskets.

CoverWell Perfusion Chamber Gaskets

CoverWell perfusion chamber gaskets (CoverWell chamber gaskets—Table 23.6Figure 23.1.16) are designed for live-cell imaging and manipulation. With the same silicone gasket technology as the CoverWell imaging chamber gaskets, these gaskets form watertight "press-to-seal" chambers with dual-access ports for addition and removal of perfusing media. The access ports can be covered using adhesive seal tabs (A18211), which are available separately. The heat-resistant gaskets can be sterilized and used for direct culturing of cells and tissues. CoverWell perfusion chamber gaskets are available in single- or multiwell configurations, allowing multiple experiments to be performed on a single microscope slide or coverslip.

fluorescence-microscopy.par.36116.image.275.206.1.s000865-perfusion-chamber-gif


Figure 23.1.16 CoverWell perfusion chamber gaskets.

CoverWell Incubation Chamber Gaskets

CoverWell incubation chamber gaskets (CoverWell chamber gaskets—Table 23.6Figure 23.1.17) are silicone gaskets with a clear plastic cover that are expressly designed for immunocytochemistry and in situ hybridization.ref The gasket is simply pressed onto a wet or dry microscope slide to form a watertight chamber that holds reactants in place and prevents evaporation. The chambers improve the uniformity and sensitivity of staining by enclosing a large sample area while minimizing the reagent volume required. The incubation chamber gaskets are easily removed and reapplied for multiple-step procedures. These chamber gaskets are heat resistant, autoclavable and nuclease free.

fluorescence-microscopy.par.74378.image.275.206.1.s000864-incubation-chamber-gaskets-gif


Figure 23.1.17 CoverWell incubation chamber gaskets.

Press-to-Seal Silicone Isolators and Secure-Seal Adhesive Spacers

For the ultimate in utility and flexibility, Press-to-Seal silicone isolators (Press-to-Seal gaskets and Secure-Seal spacers—Table 23.7Figure 23.1.18) are removable hydrophobic barriers that can be customized to meet specific experimental requirements. They may be used to isolate cells grown in culture dishes or to separate specimens on microscopy slides during staining procedures. The silicone material can be autoclaved and adheres to any smooth surface. Isolators without adhesive can be easily removed and reapplied for multiple incubation steps. Isolators are also available with adhesive on one side for added security or permanent mounting. In addition, we offer uncut silicone sheets that can easily be trimmed to prepare customized enclosures.

Similar to the Press-to-Seal silicone isolators, Secure-Seal adhesive spacers are ultra-thin gaskets with adhesive that can be stacked to any depth desired. For high-resolution microscopy, the spacer and specimen can be sandwiched between two No. 0 glass coverslips. The spacers are available in several configurations (Press-to-Seal gaskets and Secure-Seal spacers—Table 23.7).

fluorescence-microscopy.par.64968.image.275.206.1.s000866-silicone-isolators-gif


Figure 23.1.18 Press-to-Seal silicone isolators.

HybriSlip Hybridization Covers

HybriSlip hybridization covers (Tools for hybridization experiments—Table 23.8Figure 23.1.19) are nuclease free, ready-to-use and designed specifically for in situ hybridization.ref These hydrophobic coverslips do not require lengthy preparation or blocking procedures to prevent probe trapping or binding. They are heat resistant and do not curl, even at high temperatures, making them ideal for denaturation steps or in situ PCR incubations. HybriSlip covers are available in three sizes.

fluorescence-microscopy.par.26222.image.275.206.1.s001318-hybridslip-gif


Figure 23.1.19 HybriSlip hybridization covers.

HybriWell Hybridization Sealing Systems

HybriWell hybridization sealing systems (Tools for hybridization experiments—Table 23.8Figure 23.1.20) are coverslip–seal combinations that attach to microscope slides to form microwells optimized for carrying out in situ hybridization procedures. These ready-to-use hybridization gaskets have a special adhesive that bonds to glass slides in seconds, creating a water-tight seal that is temperature resistant but can also be removed cleanly and easily after hybridization. Solutions are easily added or removed through dual-access ports without disrupting the specimen. The hydrophobic coverslips are nuclease free and will not trap or bind probes, allowing uniform distribution of the reagent over the specimen. The HybriWell sealing systems also include a quick-seal tool to secure the hydrophobic cover to the microscope slide, as well as nuclease-free adhesive seal tabs to cover the access ports. Adhesive seal tabs (A18211) are also available separately in sets of 400.

fluorescence-microscopy.par.56907.image.275.206.1.s001316-hybridization-gif


Figure 23.1.20 HybriWell hybridization sealing systems.

Secure-Seal Hybridization Chambers

Like the HybriWell hybridization sealing systems, Secure-Seal hybridization chambers (Tools for hybridization experiments—Table 23.8Figure 23.1.21) are designed to isolate single or multiple specimens on a slide during in situ hybridization procedures. Access ports in the chamber surface allow for the addition or removal of solutions and are easily sealed using adhesive seal tabs (A18211), available separately. Because they are deeper than the HybriWell chambers, the Secure-Seal chambers provide optimum surface-to-volume fluid dynamics, which facilitate more uniform hybridization. However, the shallower chambers created by the HybriWell sealing systems hold a smaller reagent volume, minimizing the amount of probe required.

fluorescence-microscopy.par.18445.image.275.206.1.s001131-hybridization-chambers-gif


Figure 23.1.21 Secure-Seal hybridization chambers.

ONCYTE MultiWells with Slide and Matching Gasket

The versatile ONCYTE MultiWells (Figure 23.1.22) consist of a two-piece set that includes a slide printed with nitrocellulose circles and a matching removable gasket to enclose and isolate each sample. The nitrocellulose coating on the slide is specially formulated for fluorescence imaging. This ultra-thin microporous coating ensures uniform binding of tissue prints, cells or macromolecules and becomes transparent in a variety of mounting media. The matching press-to-seal silicone gaskets adhere easily to the surface of the slide to isolate specimens and reagents and prevent cross contamination. A coverslip can be added to create enclosed chambers for long incubations. Gaskets can be removed and cleaned simply by peeling them off. ONCYTE MultiWells are available in two configurations: a set of 20 slides and gaskets, each with 12 wells, 5 mm in diameter (O24750), or a set of 20 slides and gaskets, each with a single well, 13 mm in diameter (O24751).

fluorescence-microscopy.par.24507.image.275.206.1.s001205-multi-wells-gif


Figure 23.1.22 ONCYTE MultiWells.

Attofluor Cell Chamber

The Attofluor cell chamber (A7816Figure 23.1.24) is a durable and practical coverslip holder designed for viewing live-cell specimens on upright or inverted microscopes; spare O-rings for the Attofluor cell chamber are available in sets of 10 (O14804). Features of the Attofluor cell chamber include:

  • Surgical stainless steel construction
  • Autoclavable, allowing cells to be grown directly in the chamber
  • O-ring seal design that prevents sample contamination by oil and leakage of media from the coverslip
  • Accepts 25 mm–diameter round coverslips and mounts in a standard 35 mm–diameter stage holder
  • Thin 0.5 mm base, allowing clearance for the objective when focusing
fluorescence-microscopy.par.56262.image.275.206.1.s000348-attofluor-cell-gif


Figure 23.1.24 Attofluor cell chamber (A7816).

Coverslip Mini-Rack and Coverslip Maxi-Rack

Our unique coverslip mini-rack (C14784Figure 23.1.25) is a miniature support designed to vertically hold eight standard round or square coverslips. The mini-rack fits easily into a standard 50 milliliter beaker and can accommodate a small stir bar beneath the rack. Use of the mini-rack eliminates the necessity for repeatedly moving coverslips between solutions with forceps. Because it is constructed of fluoropolymers, the mini-rack does not adsorb biopolymers, withstands strong acids and bases, is not damaged by heat and may be sterilized by a variety of methods such as autoclaving, organic solvent treatment or ethylene oxide exposure. The mini-rack is easily disassembled for cleaning and storage. The mini-rack is particularly useful in immunocytochemical and in situ hybridization procedures involving sequential wash steps where thorough and consistent removal staining, fixation, permeabilization or blocking reagents from the coverslips is critical. The coverslip maxi-rack (C24784Figure 23.1.26) provides efficient support for the simultaneous staining and washing of up to 50 samples on 18 mm square or circular coverslips in a self-contained covered container. The maxi-rack includes a convenient handle to remove the rack from the staining solution.

fluorescence-microscopy.par.94385.image.275.206.1.s000851-mini-rack-gif


Figure 23.1.25 Coverslip mini-rack (C14784).

fluorescence-microscopy.par.60337.image.275.206.1.s001797-maxi-rack-gif


Figure 23.1.26 Coverslip maxi-rack (C24784).

仅供科研使用,不可用于诊断目的。