Search
Search
Related Tables
Get Chapter Downloads from The Molecular Probes Handbook, 11th edition |
Nitric oxide (NO) plays a critical role as a molecular mediator of a variety of physiological processes, including blood-pressure regulation and neurotransmission.
In endothelial cells, as well as in neurons and astrocytes, NO is synthesized from L-arginine in a reaction catalyzed by nitric oxide synthase
(NOS) (Figure 18.3.1). NO that diffuses into smooth muscle cells binds to the heme group of guanylate cyclase.
Because free NO is a transient species with a half-life of about 5 seconds, many investigations of this gaseous molecule have relied largely on studies of NOS. Preparing NO solutions and detecting NO in experimental systems require special precautions to achieve reproducibility.
NO also reacts at diffusion-controlled rates with superoxide to form a strong oxidant, peroxynitrite anion
(ONOO–, Reactive oxygen species—Table 18.1). Peroxynitrite is a well-known inflammatory mediator in various cardiovascular pathologies but has more recently been recognized as a modulator of signal transduction pathways due to its ability to nitrate tyrosine residues and thereby influence cellular processes dependent on tyrosine phosphorylation.
Activated macrophage and neutrophils produce nitric oxide and superoxide, and thus peroxynitrite anion, at similar rates.
NO generators are also reported to produce an accumulation of chelatable Zn2+ in hippocampal neuronal perikarya, as determined with some of our Zn2+ indicators
(Fluorescent Indicators for Zn2+ and Other Metal Ions—Section 19.7, Fluorescent indicators for Zn2+—Table 19.6).
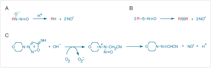
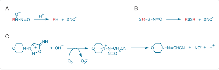
Spermine NONOate solids provide a means of preparing aqueous NO solutions.
When dissolved in buffer, cell culture medium or blood, spermine NONOate dissociates to form two molecules of NO and one molecule of the corresponding amine
(Figure 18.3.2). The delivery of NO can be easily controlled by preparing moderately basic solutions of this NONOate and then lowering the pH to initiate NO generation. Spermine NONOate releases NO slowly (half-life of 39 minutes at 37°C in pH 7.4 buffer), making it suitable for whole animal infusions and experiments with long incubations,
as well as for in situ calibration of DAF-FM
(see below).
NO donors SNAP (S-nitroso-N-acetylpenicillamine) and SIN-1 (3-morpholinosydnonimine, hydrochloride) spontaneously release NO (and superoxide in the case of SIN-1) under physiological conditions (Figure 18.3.2), thereby stimulating cyclic GMP production.
SNAP and SIN-1 have been shown to be potent vasodilators in vivo and in vitro and to inhibit smooth muscle cell mitogenesis and proliferation.
The relationship between NO generated from SNAP and SIN-1 and intracellular Ca2+ has been studied using fluorescent Ca2+ indicators
(Indicators for Ca2+, Mg2+, Zn2+ and Other Metal Ions—Chapter 19). It has also been reported that NO released from SNAP stimulates Ca2+-independent synaptic vesicle release,
which can be detected with FM 1-43 (T3163, T35356; Probes for Following Receptor Binding and Phagocytosis—Section 16.1).
Carboxy-PTIO is a water-soluble and stable free radical molecule that reacts stoichiometrically with NO.
Carboxy-PTIO can be used in vivo to inhibit the physiological effects mediated by NO
or to quantitate NO levels in vitro by ESR spectrometry.![]()
SNAP (S-nitroso-N-acetylpenicillamine has been shown to release NO in response to light stimulation in both aqueous and isopropyl alcohol solutions.
The potential spatial and temporal control of nitric oxide release made possible by photolysis of NO precursors makes this an attractive approach for generating NO in experimental systems.
The nitric oxide (NO) radical is short-lived and physiological concentrations are very low,
making in situ detection a challenging proposition. NO is readily oxidized to the nitrosonium cation (NO+), which is moderately stable in aqueous solutions but highly reactive with nucleophiles or other nitrogen oxides. Under aerobic conditions, these reactive nitrogen oxides (Reactive oxygen species—Table 18.1) can be trapped by various amines, in particular by aromatic amines to form diazonium salts or by aromatic 1,2-diamines to form benzotriazoles (Figure 18.3.3).
First described in 1998,
vicinal diamine derivatives of fluorescein generate stronger fluorescence signals at longer wavelengths than prototypes such as 2,3-diaminonaphthalene (see below). These characteristics result in much enhanced performance for in situ nitric oxide detection. DAF-FM (4-amino-5-methylamino-2',7'-difluorofluorescein) is the foremost example of this class of compounds.
We offer DAF-FM (D23841) and its cell-permeant diacetate derivative (D23842, D23844). Like dihydrofluorescein, dihydrorhodamine and dihydroethidium probes (Generating and Detecting Reactive Oxygen Species—Section 18.2), and in contrast to BAPTA-based Ca2+ indicators (Fluorescent Ca2+ Indicators Excited with UV Light—Section 19.2, Fluorescent Ca2+ Indicators Excited with Visible Light—Section 19.3), DAF-FM is an endpoint dosimeter. DAF-FM is not a reversible equilibrium sensor, limiting its ability to track rapid fluctuations of the target analyte (NO) in real time. Extracellularly applied DAF-FM diacetate spontaneously crosses the plasma membrane and is cleaved by esterases to generate intracellular DAF-FM, which is then oxidized by NO to a triazole product accompanied by increased fluorescence (Figure 18.3.3, Figure 18.3.4). The fluorescence quantum yield of DAF-FM is reported to be 0.005 but increases about 160-fold to 0.81 after reacting with NO.
The second step of the process as depicted in Figure 18.3.3 is an oversimplification. In fact, DAF-FM must first be nonspecifically oxidized to an anilinyl radical, which then reacts with NO to form the fluorescent triazole product.
This mechanistic complication must be borne in mind when interpreting experimental data. Specifically, the question of whether nonspecific pre-oxidation or reaction with NO is the dominant factor controlling observed DAF-FM fluorescence signals requires critical scrutiny.
Applications of DAF-FM and DAF-FM diacetate include:
In a reaction similar to that of DAF-FM (Figure 18.3.3), 2,3-diaminonaphthalene reacts with the nitrosonium cation that forms spontaneously from NO to form the fluorescent product 1H-naphthotriazole.
Using 2,3-diaminonaphthalene, researchers have developed a rapid, quantitative fluorometric assay that can detect from 10 nM to 10 µM nitrite and is compatible with a 96-well microplate format.![]()
For directly detecting NO levels in vivo, we offer 1,2-diaminoanthraquinone (DAA). This nitric oxide probe is reported to be nonfluorescent until it reacts with NO to produce a red-fluorescent precipitate. 1,2-Diaminoanthraquinone has been used to detect changes in NO levels in rat retinas after injury to the optic nerve.
This methodology may make it possible to test the actions of NO in neurodegeneration, inflammation and other biological processes. The role of NO production in hippocampal long-term potentiation has also been investigated using 1,2-diaminoanthraquinone for spatial imaging of NO in rat brain slices.![]()
NBD methylhydrazine (N-methyl-4-hydrazino-7-nitrobenzofurazan) is a unique reagent for the detection of nitrite. Reaction of NBD methylhydrazine with NO2– in the presence of mineral acids leads to formation of fluorescent products with excitation/emission maxima of ~468/537 nm. This reaction serves as the principle behind a selective fluorogenic method for the determination of NO2– (Figure 18.3.5). Although NBD methylhydrazine has been used to quantitate nitrite in water using a fluorescence microplate reader,
it does not seem to have been used yet to detect nitrite formed by spontaneous oxidation of NO.
In addition to their extensive use for detecting other reactive oxygen species such as superoxide, dichlorodihydrofluorescein diacetate (H2DCFDA) and dihydrorhodamine 123 (D399, D632; Generating and Detecting Reactive Oxygen Species—Section 18.2) have been reported to be useful for detecting peroxynitrite formation in both solution and in live cells.![]()
High levels of nitrotyrosine are associated with a large number of diseases, including multiple sclerosis, Alzheimer disease and Parkinson disease.
Increased levels of nitrotyrosine are also indicative of vascular and tissue injury from ischemia–reperfusion and inflammation.
Several pathways for the nitration of tyrosine have been suggested. Peroxynitrite (OONO–), formed by spontaneous reaction of nitric oxide (NO) with superoxide (•O2–), elicits downstream tyrosine nitration.
Heme peroxidases, such as myeloperoxidase and eosinophil peroxidase, have been shown to utilize hydrogen peroxide (H2O2) to oxidize nitrite (NO2–) and catalyze tyrosine nitration.
In addition, other heme proteins such as hemoglobin and catalase may contribute to tyrosine nitration using NO as a substrate.
Tryptophan residues can also be oxidized by peroxynitrite.![]()
We offer a high-activity rabbit polyclonal anti-nitrotyrosine antibody (A21285) for detecting nitrotyrosine-containing proteins and peptides. This antibody is suitable for both immunohistochemical (
) and western blotting applications (Figure 18.3.6) and is useful for identifying nitrated proteins and determining the level of protein nitrosylation in tissues.
Fluorescence of green-fluorescent protein (GFP) is extremely sensitive to tyrosine nitration, as confirmed by correlated anti-nitrotyrosine immunoreactivity.![]()
Figure 18.3.6 Specificity of our rabbit anti-nitrotyrosine antibody (A21285) to nitrated proteins. Equal amounts of avidin (A887, lane 1) and CaptAvidin biotin-binding protein (C21385, lane 2) were run on an SDS-polyacrylamide gel (4–20%) and blotted onto a PVDF membrane. CaptAvidin biotin-binding protein, a derivative of avidin, has nitrated tyrosine residues in the biotin-binding site. On a western blot, nitrated proteins were identified with the anti-nitrotyrosine antibody in combination with an alkaline phosphatase conjugate of goat anti–rabbit IgG antibody (G21079) and the red-fluorescent substrate DDAO phosphate.
S-nitrosylation of thiols, principally in the form of cysteine sidechains or glutathione, is a primary mechanism for downstream propagation of nitric oxide release events. This reversible post-translational modification regulates enzymatic activity, subcellular localization, chromatin remodeling and protein degradation.
The primary reactive nitrogen species responsible for S-nitrosylation of protein thiols is dinitrogen dioxide (N2O3) formed from O2 and NO. Techniques for detecting S-nitrosothiol modifications exploit, but are also compromised by, their reversible nature and their susceptibility to photolytic cleavage. The technique with most widespread adoption, often referred to as the biotin switch method,
consists of three steps: (1) blocking of free thiols with N-ethylmaleimide or another alkylating reagent, (2) selective reduction of S-nitrosothiols to thiols using ascorbate or TCEP (T2556, Introduction to Thiol Modification and Detection—Section 2.1) and (3) labeling of thiols created in step 2 with a fluorescent or biotinylated maleimide or iodoacetamide reagent
(Thiol-Reactive Probes Excited with Visible Light—Section 2.2, Biotinylation and Haptenylation Reagents—Section 4.2). Streptavidin agarose (S951, Avidin, Streptavidin, NeutrAvidin and CaptAvidin Biotin-Binding Proteins and Affinity Matrices—Section 7.6) can be used to subsequently pull down biotinylated proteins for further analysis if required. The overall technique is vulnerable to false positives through incomplete blocking of unmodified thiols in step 1 and inadvertent reduction of disulfides in step 2. Other methods take advantage of the fact that S-nitrosothiols can be cleaved by heavy metal ions such as Hg2+ or by exposure to ultraviolet light, releasing NO and subsequently nitrite (NO2–).
The NO product of this process can be detected using DAF-FM
or the nascent thiol product can be detected using a fluorescent maleimide reagent.![]()
Under physiological conditions, NO is readily oxidized to nitrite and nitrate or it is trapped by thiols as an S-nitroso adduct. The Griess reagent provides a simple and well characterized colorimetric assay for nitrites, and nitrates that have been reduced to nitrites, with a detection limit of about 100 nM.
Nitrites react with sulfanilic acid in acidic solution to form an intermediate diazonium salt that couples to N-(1-naphthyl)ethylenediamine to yield a purple azo derivative that can be monitored by absorbance at 548 nm (Figure 18.3.7).
Our Griess Reagent Kit (G7921) contains all of the reagents required for nitrite quantitation, including:
Both the N-(1-naphthyl)ethylenediamine dihydrochloride and the sulfanilic acid in 5% H3PO4 are provided in convenient dropper bottles for easy preparation of the Griess reagent. Sample pretreatment with nitrate reductase and glucose 6-phosphate dehydrogenase is reported to reduce nitrate without producing excess NADPH, which can interfere with the Griess reaction.
A review of the use of the Griess reagent for nitrite and nitrate quantitation in human plasma describes optimal reaction conditions for minimizing interference from plasma constituents (particularly NADPH).
The Griess Reagent Kit can also be used to analyze NO that has been trapped as an S-nitroso derivative by a modification that uses mercuric chloride or copper (II) acetate to release the NO from its complex.![]()
The Measure-iT High-Sensitivity Nitrite Assay Kit (M36051) provides an easy and accurate method for quantitating nitrite. This kit has an optimal range of 20–500 picomoles nitrite (Figure 18.3.8), making it up to 50 times more sensitive than colorimetric methods utilizing the Griess reagent. Nitrates may be analyzed after quantitative conversion to nitrites through enzymatic reduction;
used in this manner, the Measure-iT nitrite assay also provides an effective method for quantitating nitric oxide.
Each Measure-iT High-Sensitivity Nitrite Assay Kit contains:
Simply dilute the reagent 1:100, load 100 µL into the wells of a microplate, add 1–10 µL sample volumes and mix. After a 10-minute incubation at room temperature, add 5 µL of developer and read the fluorescence. The assay signal is stable for at least 3 hours, and common contaminants are well tolerated in the assay. The Measure-iT High-Sensitivity Nitrite Assay Kit provides sufficient material for 2000 assays, based on a 100 µL assay volume in a 96-well microplate format; this nitrite assay can also be adapted for use in cuvettes or 384-well microplates.
Figure 18.3.8 Linearity and sensitivity of the Measure-iT high-sensitivity nitrite assay. Triplicate 10 µL samples of nitrite were assayed using the Measure-iT High-Sensitivity Nitrite Assay Kit (M36051). Fluorescence was measured using excitation/emission of 365/450 nm and plotted versus picomoles of nitrite. Background fluorescence was not subtracted. The variation (CV) of replicate samples was <2%.
For a detailed explanation of column headings, see Definitions of Data Table Contents
| Cat. No. | MW | Storage | Soluble | Abs | EC | Em | Solvent | Notes |
|---|---|---|---|---|---|---|---|---|
| carboxy-PTIO | 315.39 | FF,D | H2O | 367 | 9300 | none | MeOH | |
| DEANO | 155.13 | FF,DD,A | H2O, DMSO | 248 | 8000 | none | pH 12 | 1 |
| 2,3-diaminonaphthalene | 158.20 | L | DMSO, MeOH | 340 | 5100 | 377 | MeOH | 2 |
| DAA | 336.32 | F,D,L | DMSO | 521 | 6000 | none | MeOH | 3 |
| D23841 DAF-FM | 412.35 | F,D,L | DMSO | 487 | 84,000 | see Notes | pH 8 | 4 |
| D23842 D23844 DAF-FM diacetate | 496.42 | F,D,L | DMSO | <300 | none | 5 | ||
| SIN-1 | 206.63 | FF,D,LL | DMSO, H2O | 291 | 11,000 | none | pH 7 | 6 |
| NBD methylhydrazine | 209.16 | F,L | MeCN | 487 | 24,000 | none | MeOH | 7 |
| SNAP | 220.24 | FF,D,LL | DMSO, H2O | 342 | 700 | none | MeOH | 6 |
| spermine NONOate | 262.35 | FF,DD,A | H2O, DMSO | 248 | 8200 | none | pH 12 | 1 |
| ||||||||
仅供科研使用,不可用于诊断目的。






