Search
Search
为了便于制备最佳标记的核酸,我们提供了多种修饰核苷酸,以及一系列含有反应性 Molecular Probes 荧光基团的核酸标记试剂盒。我们现有的 Invitrogen Molecular Probes 技术包括:
- ChromaTide dUTP、ChromaTide OBEA-dCTP 和 ChromaTide UTP 核苷酸,为研究人员提供了多种荧光基团和半抗原标记的核苷酸,其可酶促掺入用于 FISH(荧光原位杂交)、DNA 阵列/微阵列和其他杂交技术的 DNA 或 RNA 探针中。
- dUTP 和 UTP 的未标记氨基烯丙基衍生物以及 dUTP 和 dCTP 的未标记和标记的氨基己基丙烯酰胺(aha)衍生物,易于掺入核酸中,以便随后与任何胺反应性探针结合(荧光基团及其胺反应性衍生物 — 第1章)。
- ARES DNA 标记试剂盒,其采用通用的两步法,用荧光染料标记 DNA,以实现标记的均匀性和一致性,而用常规酶促掺入标记的核苷酸难以实现。
- FISH Tag DNA 和 RNA 试剂盒,为创建用于荧光原位杂交(FISH)应用的标记 DNA 和 RNA 探针提供了完整的工作流程解决方案。
- ULYSIS 核酸标记试剂盒,采用快速、简单和可靠的化学方法来标记核酸,无需酶促掺入标记的核苷酸。
- Alexa Fluor 寡核苷酸胺标记试剂盒,使用常见的化学标记胺封端寡核苷酸来制备出色的单标记荧光寡核苷酸偶联物。
我们提供了一系列可与多种荧光基团和半抗原偶联的尿苷三磷酸(UTP)、脱氧尿苷三磷酸(dUTP)和脱氧胞苷三磷酸酯(OBEA-dCTP),包括强荧光 Alexa Fluor 染料(Molecular Probes ChromaTide 和 aha 标记核苷酸的特性 — 表8.5)。这些 ChromaTide 核苷酸可用于生成分子生物学和分子细胞遗传学应用的标记核酸,包括染色体和 mRNA 荧光 原位 杂交(FISH)实验
(
)、阵列和微阵列上的基因表达和突变检测
(图8.2.1)以及 原位 PCR 和 RT-PCR。多种荧光标记物为光谱核型分析、
多位点 FISH 分析、
染色体绘制
和比较基因组杂交等多色技术提供了理想的工具。![]()
图8.2.1 与 Alexa Fluor 546 染料标记的 cDNA 杂交的微阵列。使用 ChromaTide Alexa Fluor 546-14-dUTP 通过逆转录标记来自霍乱弧菌总 RNA 的 cDNA。然后将标记 cDNA 与霍乱弧菌 O1 EL TOR 微阵列进行杂交。使用 ScanArray 5000XL 扫描仪(PerkinElmer LAS, Inc)对阵列进行成像。图片由斯坦福大学 Kimberly Chong 和 Gary Schoolnik 提供。
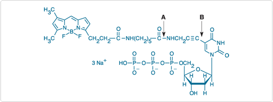
ChromaTide UTP 和 dUTP 核苷酸通过独特的氨基炔基连接子在 UTP 或 dUTP 的 C-5 位置进行修饰(图8.2.2)。UTP 和 dUTP 的 C-5 位置不参与 Watson-Crick 碱基配对,因此对探针杂交的干扰很小。在 ChromaTide UTP 和 dUTP 核苷酸中,荧光基团和核苷酸之间的氨基炔基连接子旨在减少荧光基团与酶或靶结合位点的相互作用。除了此种四原子桥外,这些核苷酸中部分含有7到10个原子的间隔,进一步将染料与碱基分开。产品名称中的数字(例如 ChromaTide 荧光素-12-dUTP 中的"12")表示原子中间隔的净长度。较长间隔通常可以产生更亮的偶联物并提高二级检测试剂的半抗原可及性。
使用2-氨基乙氧基乙基(OBEA)连接子在胞嘧啶的N-4位置修饰ChromaTide OBEA-脱氧胞苷三磷酸(OBEA-dCTP)(图8.2.3)。Alexa Fluor 546 和 Alexa Fluor 647 OBEA-dCTP 偶联物还具有内置间隔,可减少由染料存在引起的可能空间干扰。
ChromaTide UTP、ChromaTide dUTP 和 ChromaTide OBEA-dCTP 核苷酸的光谱多样性(Molecular Probes ChromaTide 和 aha 标记核苷酸的特性 — 表8.5)使研究人员在选择与特定光学检测系统或多色实验兼容的标记时具有极大的灵活性。由荧光 ChromaTide 核苷酸制成的探针可以直接成像;或者部分荧光基团可用作半抗原(抗染料和抗半抗原抗体 — 第7.4节)以实现信号放大。在许多情况下,TSA(TSA 和其他基于过氧化物酶的信号放大技术 — 第6.2节)或 ELF 技术(基于磷酸酶的信号放大技术 — 第6.3节)可单独或一起使用,
以显著放大细胞和组织以及微阵列上的染料标记杂交探针的信号。
与常规染料相比,UTP、OBEA-dCTP 和 dUTP 的 Alexa Fluor 偶联物提供具有明显优异荧光性质的荧光基团标记物。Alexa Fluor 488、Alexa Fluor 568 和 Alexa Fulor 594 核苷酸分别与荧光素、丽丝胺罗丹明 B 和 Texas Red 偶联物在光谱上相似,但 Alexa Fluor 偶联物表现出优异的光谱和化学性质。ChromaTide OBEA-dCTP 核苷酸由最亮和最具光稳定性的四种染料(Alexa Fluor 488、Alexa Fluor 546、Alexa Fluor 594 和 Alexa Fluor 647 染料)制备,其光谱分别与荧光素、Cy3、Texas Red 和 Cy5 染料的光谱几乎相同。
ChromaTide Alexa Fluor dUTP 和 ChromaTide Alexa Fluor OBEA-dCTP 核苷酸具有高度水溶性,含有它们的 DNA 探针也是如此。因此,即使在高盐杂交溶液中,Alexa Fluor 染料标记 DNA 探针也不会聚集或沉淀。Alexa Fluor 偶联物的荧光在用于杂交或显微镜封片剂的范围内对 pH 不敏感。此外,这些偶联物增强的光稳定性使其成为成像应用的理想选择。
可以使用常规酶标记技术将 ChromaTide 核苷酸掺入到 DNA 和 RNA 中(Molecular Probes ChromaTide 和 aha 标记核苷酸的特性 — 表8.5)。许多这些技术的实验方法都采用了 ChromaTide 核苷酸;请注意,并非全部 ChromaTide 核苷酸均已在所有应用中进行了检测。我们成功使用的酶包括:
在用于检测凋亡细胞中 DNA 断裂(DNA fragmentation)的 TUNEL 检测中也使用了 ChromaTide 核苷酸
(凋亡试验 — 第15.5节,
)。显微注射荧光核苷酸已被用于追踪活细胞中染色体形成和细胞增殖的动力学。![]()
5-氨基己基丙烯酰胺基-dUTP(aha-dUTP)和5-氨基己基丙烯酰胺基-dCTP(aha-dCTP)可用于通过常规的酶促掺入方法来制备胺修饰 DNA,如反转录、切口平移、随机引物标记或 PCR。然后可以用任何胺反应性染料或半抗原标记胺修饰 DNA。此种两步技术可一致地生成通过其他方法难以获得的均匀且高度 DNA 标记。采用 aha-dUTP 和 aha-dCTP 核苷酸的实验方法可以实现每100个碱基结合约5-8个染料的标记效率,这非常适合荧光原位杂交(FISH)、斑点杂交尤其是微阵列应用,其中样品之间标记的一致性对于结果的准确解释至关重要。aha-dUTP 和 aha-dCTP 核苷酸的供货规格为50 µL 50 mM 浓度溶液, 溶剂为10 mM Tris、1 mM EDTA,pH 7.5(TE);aha-CTP 的供货规格还包括500 µL 2 mM 溶液。我们提供了多种用于标记胺修饰 DNA 的胺反应性试剂,包括 Alexa Fluor 染料琥珀酰亚胺酯、常规荧光基团、生物素和二硝基苯基(DNP)(荧光基团及其胺反应性衍生物 — 第1章)。
标记的 aha-dUTP 和 aha-dCTP 核苷酸可用于生成标记的核酸杂交探针,用于多种分子生物学和分子细胞遗传学应用,包括双色微阵列分析、Northern 和 Southern 印迹、菌落和噬菌斑杂交、DNA 测序、引物延伸、DNA 和 RNA 扩增以及基于微珠的分离技术。在这些应用中,可通过标记探针的固有荧光或酶偶联的二级检测试剂结合荧光、化学发光或比色底物来检测标记样品。这些核苷酸分别在尿苷和胞嘧啶的 C-5 位置用独特的己基丙烯酰胺连接子修饰,该连接子用作核苷酸和染料或半抗原之间的间隔。这种间隔物可减少核苷酸与染料或半抗原之间的相互作用,从而产生更明亮的偶联物且增强了针对二级检测试剂的半抗原可及性。Alexa Fluor 555 aha-dUTP 和 aha-dCTP 核苷酸(A32762、A32770)(激发/发射最大值 555/570 nm)和 Alexa Fluor 647 aha-dUTP 和 aha-dCTP 核苷酸(A32763、A32771)(激发/发射最大值 650/670 nm)分别与常用的微阵列扫描仪兼容。与光谱相似的 Cy3 和 Cy5 染料对相比,这些荧光核苷酸可提供更大的信号相关性(R2)值,从而提高双色微阵列基因表达分析的分辨率。
格外明亮且光稳定性 Alexa Fluor 染料对 pH 值也几乎不敏感,并且具有高度水溶性。
还提供生物素 aha-dUTP 和 aha-dCTP和荧光素 aha-dUTP核苷酸,可分别用于生成可用链霉素亲和素偶联物(亲和素、链霉素亲和素、NeutrAvidin 和 CaptAvidin 生物素结合蛋白与亲和基质 — 第7.6节,Molecular Probes 亲和素、链霉素亲和素、NeutrAvidin 和 CaptAvidin 偶联物 — 表7.9)或标记抗荧光素抗体(抗染料和抗半抗原抗体 — 第7.4节)检测的核酸探针。用生物素标记的核酸探针通常是杂交技术中最常用的非同位素探针。生物素化探针很容易用亲和素或链霉素亲和素的荧光基团或酶偶联物检测,实现信号放大(图8.2.4)。使用酪胺信号放大技术(TSA 和其他基于过氧化物酶的信号放大技术 — 第6.2节,图8.2.5)或酶标记荧光(ELF)技术(基于磷酸酶的信号放大技术 — 第6.3节,
),可以显著放大生物素标记杂交探针的信号,同时保持良好的空间分辨率。此外,生物素化核酸可以吸附到链霉素亲和素琼脂糖或 Captavidin 琼脂糖上(S951;亲和素、链霉素亲和素、NeutrAvidin 和 CaptAvidin 生物素结合蛋白与亲和基质 — 第7.6节)或使用 NANOGOLD 或 Alexa Fluor FluoroNanogold 链霉素亲和素检测
亲和素、链霉素亲和素、NeutrAvidin 和 CaptAvidin 生物素结合蛋白与亲和基质 — 第7.6节)。
图8.2.5使用酪胺信号放大(TSA)技术进行的荧光原位杂交检测。松散染色体由培养的成纤维细胞系 MRC-5 制备,并与生物素化的17号染色体特异的 α 卫星探针杂交。在生物素化 dUTP 存在下,由切口平移法制备探针。通过 TSA 检测时,采用以下试剂标记杂交染色体涂片:A) 使用 TSA 试剂盒 #22 以及 HRP 偶联链霉素亲和素和 Alexa Fluor 488 酪胺;或 B) 使用 TSA 试剂盒 #23 以及 HRP 偶联链霉素亲和素和 Alexa Fluor 546 酪胺。DAPI(D1306、D3571、D21490)复染后,通过适合 DAPI、FITC 或 TRITC 的滤光片进行成像。
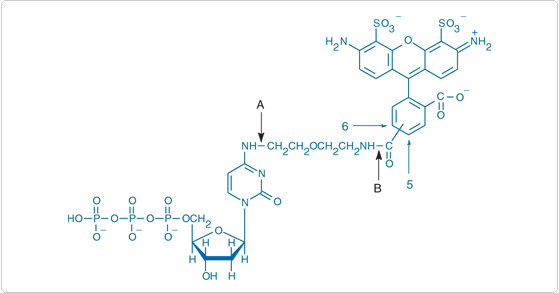
氨基烯丙基 dUTP
(5-氨基烯丙基-2'-脱氧尿苷-5'-三磷酸,)可使用常规酶掺入技术掺入 DNA 中,如上文对 ChromaTide dUTP 核苷酸所述。
然后可使用胺反应性染料标记所得的胺修饰核酸
(如 荧光基团及其胺反应性衍生物 — 第1章所述)。由于没有较大的染料基团,氨基烯丙基修饰的核苷酸能以极高且一致的水平掺入。胺修饰核酸与过量胺反应性试剂的后续反应实现了相应的高且一致的标记效率,而与选择的标记试剂无关。通常可以实现每100个碱基结合约5-8个染料的标记效率此种两步标记方法也无需优化酶反应以适应不同染料修饰的核苷酸,能以非常不同的比率掺入。这种标记方法非常适合 FISH 探针(图8.2.6,
)和基于微阵列的实验(
)。氨基烯丙基 dUTP 标记是 ARES DNA 标记试剂盒和 FISH Tag DNA 试剂盒(见下文)的基础,它们提供氨基烯丙基 dUTP、胺反应性染料和经过仔细检测的实验方法。
为了在基于微阵列的实验中标记胺修饰 DNA 或 RNA 探针,我们提供了三种胺反应性 Invitrogen Alexa Fluor 染料,方便地包装在10个一次性使用的小瓶中,并严格检测了有效标记胺修饰 DNA 的能力:
这些特殊包装的胺反应性染料可与氨基己基丙烯酰胺-dUTP(aha-dUTP)或氨基烯丙基 dUTP 核苷酸或市售的基于氨基烯丙基核苷酸的核酸标记试剂盒配合使用。激发/发射最大值分别为495/519 nm、555/565 nm 和650/668 nm,Alexa Fluor 488、Alexa Fluor 555 和 Alexa Fluor 647 琥珀酰亚胺酯与用于扫描微阵列的最常用波长通道相匹配。已经发现,当使用氨基烯丙基 dUTP 掺入用等量的 Alexa Fluor 647 染料或 Cy5 染料标记单链 DNA 时,Alexa Fluor 647 染料标记的 DNA 的荧光发射比 Cy5 染料标记 DNA 强数倍;类似地,Alexa Fluor 555 染料标记 DNA 始终比光谱相似的 Cy3 染料标记 DNA 更亮(图8.2.7)。此外,在双色 DNA 微阵列测定中,Alexa Fluor 555/Alexa Fluor 647 染料对显示出比 Cy3/Cy5 染料对更高的信号相关系数。![]()
ARES DNA 标记试剂盒(Molecular Probes 核酸标记试剂盒 — 表8.6)提供了使用 Invitrogen Alexa Fluor 染料标记 DNA 的通用两步法
(图8.2.8)。该方法实现了标记的均一性和一致性,这是常规酶促掺入标记核苷酸难以实现的。在第一步中,将胺修饰核苷酸 5-(3-氨基烯丙基)-dUTP 酶促掺入 DNA 中。该步骤允许用伯胺基团相对均匀地标记探针。在该反应中使用的氨基烯丙基 dUTP 底物通过逆转录或切口平移被有效地吸收,为此我们提供了实验方法;其他酶促方法也可能适合。在第二步中,使用胺反应性 Alexa Fluor 染料对胺修饰 DNA 进行化学标记。这种化学反应在不同染料之间的效率变化很小,因此可以使用 ARES 试剂盒的任何组合,并为每个 DNA 样品获得一致的标记。提供的标记实验方法通常可以实现每12-20个碱基掺入约一个染料,已确定这是荧光原位杂交(FISH)和斑点杂交的出色选择。使用该方法标记的核酸是 FISH(
)或微阵列实验(
)的理想选择。
除 5-(3-氨基烯丙基)-dUTP 外,ARES DNA 标记试剂盒还提供胺反应性 Alexa Fluor 染料,其光谱特性优于标记核酸的常规染料(图8.2.9)。每个试剂盒包含足够用于5-10次标记1-5 μg DNA 的试剂,包括:
- 5-(3-氨基烯丙基)-dUTP
- 胺反应性荧光染料及合适溶剂
- 碳酸氢钠
- 无核酸酶 H2O
- 使用逆转录酶或切口平移标记 DNA 的详细实验方法(ARES DNA 标记试剂盒)
5-(3-氨基烯丙基)-dUTP和胺反应性染料也可作为独立试剂使用。5-(3-氨基烯丙基)-dUTP 的酶促掺入可以将几乎任何胺反应性染料掺入核酸中(荧光基团及其胺反应性衍生物 — 第1章)。![]()
FISH Tag DNA 和 FISH Tag RNA 试剂盒(Molecular Probes 核酸标记试剂盒 — 表8.6)采用与 ARES DNA 标记试剂盒相同的氨基烯丙基核苷酸标记方法,但为荧光原位杂交(FISH)应用提供了完整的工作流程解决方案。每个 FISH Tag 试剂盒提供了以下过程所需的全部试剂:将胺修饰核苷酸(氨基烯丙基 dUTP 或氨基烯丙基 UTP)酶促掺入 DNA 或 RNA,随后用胺反应性 Alexa Fluor 染料进行荧光标记,并使用 PureLink 核酸纯化技术纯化标记的探针。
Invitrogen FISH Tag DNA 试剂盒提供了四种光谱不同的 Alexa Fluor 染料之一或 FISH Tag DNA 多色试剂盒中的所有四种染料:
每个试剂盒提供足够用于10次标记的试剂,以及通过模板 DNA 的切口平移合成胺修饰 DNA、用胺反应性 Alexa Fluor 染料标记和纯化荧光 DNA 探针的详细说明。试剂盒内含:
- Alexa Fluor 胺反应性染料
- 二甲基亚砜(DMSO)
- 二硫苏糖醇(DTT)、糖原、碳酸氢钠和无核酸酶水
- DNA 核苷酸混合物,含有最佳比例的氨基烯丙基 dUTP:dTTP
- DNA 聚合酶 1
- DNase 1
- 切口平移缓冲液
- 结合、洗涤和洗脱缓冲液
- 离心柱和收集管,用于纯化胺修饰 DNA 和荧光 DNA 探针
- 适用于杂交/成像实验的 SlowFade Gold 抗淬灭试剂
- 详细实验方法 FISH Tag DNA 试剂盒
Invitrogen FISH Tag RNA 试剂盒同样提供了四种光谱不同的 Alexa Fluor 染料之一或 FISH Tag RNA 多色试剂盒中的所有四种染料:
每个试剂盒提供足够用于10次标记的试剂,以及通过模板 DNA(含有 T3、T7 或 SP6 启动子)体外转录合成胺修饰 RNA、用胺反应性 Alexa Fluor 染料标记和纯化荧光 RNA 探针的详细说明。试剂盒内含:
- Alexa Fluor 胺反应性染料
- 二甲基亚砜(DMSO)
- 二硫苏糖醇(DTT)、糖原、碳酸氢钠和无核酸酶水
- RNA 核苷酸混合物,含有最佳比例的氨基烯丙基 UTP:UTP
- T7、T3 和 SP6 RNA 聚合酶
- DNase 1
- T3/T7 和 SP6 转录缓冲液
- RNaseOUT 核糖核酸酶抑制剂
- 结合、洗涤和洗脱缓冲液
- 离心柱和收集管,用于纯化胺修饰 RNA 和荧光 RNA 探针
- 适用于杂交/成像实验的 SlowFade Gold 抗淬灭试剂
- 详细实验方法(FISH Tag RNA 试剂盒)
Invitrogen ULYSIS Alexa Fluor 核酸标记试剂盒(Molecular Probes 核酸标记试剂盒 — 表8.6)提供了一种简单、可靠的方法,通过将 Alexa Fluor 荧光基团与 Kreatech Biotechnology BV 开发的多功能、专利通用连接系统(ULS)铂基化学相结合来生成荧光杂交探针。ULS 技术基于使用铂染料试剂,该试剂与鸟嘌呤的 N-7 位置形成稳定的加合物,也能在较小程度上与 DNA、RNA、肽-核酸偶联物(PNA)和寡核苷酸的腺嘌呤碱基形成稳定的加合物(图8.2.10)。存在蛋白的情况下,ULS 试剂可与半胱氨酸残基和其他硫醇发生反应。
标记反应仅需15分钟,使用简单的离心柱程序即可实现标记核酸与未反应 ULS 试剂的分离(图8.2.11)。超过1000个碱基对的 DNA 在标记前需要进行10分钟 DNA 酶消化,这既能优化标记,又可使探针片段化,以实现高效杂交。
除 ULYSIS Alexa Fluor 核酸标记试剂盒外,还提供 Invitrogen ULYSIS Oregon Green 488 核酸标记试剂盒。这些 ULYSIS 试剂盒提供了足够用于20次1 μg DNA 标记的试剂,包括:
- ULS 标记试剂及适当溶剂
- 标记缓冲液
- 脱氧核糖核酸酶 I(DNase I),用于在标记前对超过1000个碱基对的 DNA 进行消化
- DNase I 储备缓冲液和反应缓冲液
- 小牛胸腺对照 DNA
- 无核酸酶 H2O
- 制备用于染色体原位杂交和斑点杂交的荧光 DNA 杂交探针的详细实验方法(ULYSIS 核酸标记试剂盒)
使用 ULYSIS 试剂盒标记的探针可长期稳定,并能与靶 DNA 有效杂交。ULS 方法已用于制备标记探针,适合斑点、Northern 和 Southern 印迹分析、RNA 和 DNA 原位杂交、多色荧光原位杂交(FISH;
、
),比较基因组杂交(CGH)和微阵列分析(
)。
图8.2.10 ULYSIS 核酸标记试剂盒采用的标记方法示意图。ULYSIS 核酸标记试剂盒中的 ULS 试剂与鸟嘌呤残基的 N-7 位置反应,在核酸和荧光基团标记之间提供稳定的配位复合物。
使用荧光基团标记的随机寡核苷酸作为引物,结合未标记的脱氧核苷酸三磷酸,通过逆转录标记 RNA 样品。Invitrogen Panomer 9 随机序列寡脱氧核苷酸在5'-端用四种不同的 Alexa Fluor 染料之一进行共价标记:
Panomer 9 寡核苷酸也可用作通过 Klenow DNA 聚合酶或逆转录酶合成标记 DNA 的引物。在这些反应中,引物提供荧光标记,而未标记的核苷酸被酶掺入。这种标记策略允许有效且无偏倚地掺入核苷酸,因为较大的染料分子不会干扰核苷酸掺入。然而,由于所得 DNA 片段仅含有单一标记,检测灵敏度通常低于通过掺入荧光基团或半抗原标记的核苷酸所获得的灵敏度。
Invitrogen Alexa Fluor 寡核苷酸胺标记试剂盒(Molecular Probes 核酸标记试剂盒 — 表8.6)提供了标记在其5'-或3'-端掺入胺基的合成寡核苷酸所需的试剂。经过标准色谱或电泳方法纯化后,这些单标记的寡核苷酸可用作多种应用的杂交或连接探针。![]()
每个 Alexa Fluor 寡核苷酸胺标记试剂盒包含足够用于3次50 μg 胺修饰寡核苷酸标记的试剂,包括:
- 三瓶胺基反应性染料
- 二甲基亚砜(DMSO)
- 三瓶标记缓冲液
- 标记实验方法(Alexa Fluor 寡核苷酸胺标记试剂盒)
可以将胺基或巯基掺入化学合成的寡核苷酸。然后,这些基团可以直接与胺反应性(荧光基团及其胺反应性衍生物 — 第1章)或巯基反应性(巯基反应性探针 — 第2章)荧光基团或半抗原偶联。为了在基于微阵列的实验中标记胺修饰 DNA 或 RNA 探针,我们提供了三种胺反应性 Alexa Fluor 染料,方便地包装在10个一次性使用的小瓶中,并严格检测了有效标记胺修饰 DNA 的能力:
针对荧光共振能量转移(FRET)应用(荧光共振能量转移(FRET)— 文档1.2),胺修饰的寡核苷酸可用非荧光、胺反应性 QSY 7、QSY 9 和 QSY 21 染料(长波长罗丹明、Texas Red 染料和 QSY 淬灭剂 — 第1.6节)进行标记。这些 QSY 猝灭剂染料在可见光和近红外光谱中具有吸收,使其成为在可见光范围内发射的多种染料的极好能量转移受体,包括荧光素、Oregon Green 染料、罗丹明、Texas Red、Cy3 和几种 Alexa Fluor 染料。
QSY 35 染料的偶联物(低分子量胺分析试剂 — 第1.8节)具有较短的吸收波长,可用作紫外光激发荧光染料的猝灭剂。非荧光 DABCYL 琥珀酰亚胺酯(D2245)的寡核苷酸偶联物也已广泛用于基于 FRET 和基于淬灭剂的检测分析。![]()
在 pH 9 的N-甲基咪唑缓冲液中,通过使用零长度交联剂 EDAC(E2247,羧酸和羧酰胺的衍生化试剂 — 第3.4节),可以将含有脂族胺的荧光基团或半抗原与寡核苷酸的3'-或5'-磷酸基团偶联。该反应可产生在大多数分子生物学分析中保持稳定的亚磷酰胺键。该方法可与 T4 多核苷酸激酶联合使用,以对缺乏5'-磷酸的寡核苷酸进行荧光标记,或对放射性标记的寡核苷酸进行双重标记。研究发现该反应非常有效——可标记超过90%的含磷酸基团的寡核苷酸——且比修饰末端磷酸基团的常规方法容易得多,后者通常需要多步合成。
对于该反应,建议使用尸胺偶联荧光基团(羧酸和羧酰胺的衍生试剂 — 第3.4节,Molecular Probes 肼、羟胺和胺衍生物 — 表3.2)。
据报告,DNA 可与羰基二咪唑和二胺(如乙二胺)或碳酰肼发生定量反应,生成具有游离伯胺的亚磷酰胺;然后可用“荧光基团及其胺反应性衍生物 — 第1章”中所述类型的胺反应性试剂
对胺进行修饰。使用二硫二吡啶和三苯基膦将荧光或生物素化胺与 tRNA 的5'-磷酸偶联。
Wang 和 Giese
报告了一种通用方法,该方法使用由 BODIPY FL 酰肼修饰醛和酮的试剂 — 第3.3节)制备的咪唑衍生物来标记磷酸盐(包括核苷酸),用于毛细管电泳应用。
SYBR 101 染料的胺反应性琥珀酰亚胺酯可与胺衍生的寡核苷酸偶联。由于染料与核酸主链发生分子内或分子间缔合,偶联物可以发出绿色荧光;然而,在杂交反应过程中可能发生强度和荧光偏振的变化。类似的胺反应性花青染料已用于标记肽-核酸偶联物(PNA),并检测其与溶液中靶核酸的杂交。![]()
我们是多种直接或间接用于核酸测序染料的主要生产商,并提供这些染料的反应性形式以制备偶联物(用于核酸测序的胺反应性染料 — 表8.7)。由于测序过程中电泳分离步骤对片段的化学结构高度敏感,因此必须使用单一异构体标记物。除了提供常见的 FAM、JOE、TAMRA 和 ROX 染料的高纯度反应性琥珀酰亚胺酯外,还制备了羧基罗丹明 6G(CR 6G)的胺反应性单一异构体。CR 6G 染料的6-异构体的光谱和电泳性质优于通常用于自动化 DNA 测序的 JOE 染料。请联系 定制服务团队,了解任何散装反应性染料的可用性信息。
已证明某些 BODIPY 染料(BODIPY 染料系列 — 第1.4节)对 DNA 测序非常有用
,部分原因是这些染料在电泳过程中对片段迁移率的影响极小,并表现出具有窄带宽的良好分辨光谱。BODIPY 染料均为高纯度单一异构体,具有高消光系数、优异量子产率和对光稳定且对 pH 不敏感的荧光发射。BODIPY FL-X、BODIPY TMR-X 和 BODIPYTR-X 琥珀酰亚胺酯是反应性 BODIBY 荧光基团,其发射光谱性质分别类似于荧光素、四甲基罗丹明和 Texas Red 染料的发射光谱;BODIPY 630/650-X 和 BODIPY 650/665-X 琥珀酰亚胺酯提供长波长胺反应性荧光基团,其匹配针对 Alexa Fluor 647 和 Cy5 染料优化的滤光片组。已经发现,BODIPY FL、BODIPY R6G、BODIPY564/570 和 BODIPY FL、BODIPY R6G、BODIPY 564/570 和 BODIPY 581/591 染料的寡核苷酸偶联物特别适用于自动化 DNA 测序。![]()
细胞可以在细胞分裂期间将胸苷类似物5-溴-2'-脱氧尿苷(BrdU,B23151;细胞计数、细胞增殖和细胞周期的测定 — 第15.4节)天然掺入其 DNA,使该核苷类似物成为细胞周期和细胞增殖的极佳标记物。
掺入的 BrdU 分析可通过检测 BrdU 修饰 DNA 的抗体或通过修饰核酸染料荧光来进行。例如,DNA 中存在 BrdU 可显著增强 TO-PRO-3 和 LDS 751 的荧光
,而 Hoechst 染料的荧光则会被特异性淬灭。
5-溴-2'-脱氧尿苷 5'-三磷酸(BrdUTP,B21550;细胞计数、细胞增殖和细胞周期的测定 — 第15.4节)通常用于基于 TUNEL 的方法,以检测增殖或凋亡细胞。
BrdUTP 是逆转录酶
和 Klenow 聚合酶的底物
,已被用于检测 HIV-1 相关逆转录酶活性的敏感非同位素分析。
类似地,相应的溴化核糖核苷酸——5-溴尿苷 5'-三磷酸(BrUTP,细胞计数、细胞增殖和细胞周期的测定 — 第15.4节)是 RNA 聚合酶的极佳底物
,已用于原位监测核仁转录。![]()
Invitrogen Click-iT EdU 细胞增殖检测试剂盒为测量新 DNA 合成提供了优于溴脱氧尿苷(BrdU)或3H-胸苷掺入法的替代方法。
炔基核苷类似物 EDU(5-乙炔基-2'-脱氧尿苷;A10044、E10187;点击化学 — 第3.1节)在细胞周期的合成期(S 期)掺入 DNA 中,随后在铜(I)催化下与叠氮化物衍生的荧光基团进行点击化学偶联加以检测(点击化学 — 第3.1节)
。与 BrdU 免疫检测所需的抗体相比,点击偶联荧光基团的尺寸较小,使得能够有效穿透复杂样品,无需苛刻的细胞处理,极大简化了测定过程。
类似地,Invitrogen Click-iT RNA 检测试剂盒采用炔基修饰的核苷 EU(5-乙炔基尿苷,E10345;点击化学 — 第3.1节),将其提供给细胞并掺入新合成 RNA 中。
炔基标签的尺寸较小,使得 RNA 聚合酶能够有效地掺入,而不会对多个管家基因的 RNA 水平产生任何明显改变。在铜(I)催化下与叠氮化物衍生的荧光基团进行点击化学偶联来检测掺入的 EU(点击化学 — 第3.1节)。检测试剂盒具有多重检测能力,非常适合使用高内涵成像平台进行毒理学分析或疾病模型检测。
DNA 中的无碱基位点可自发产生或通过自由基、电离辐射或诱变剂(如 MMS [甲磺酸甲酯])的作用产生。这些无嘌呤和无嘧啶位点是 DNA 中非常常见的损伤,且被认为是突变的重要中间产物。ARP(A10550,图8.2.12)是一种与无碱基位点暴露的醛基反应的生物素羟胺,其可用于对无碱基位点进行快速灵敏的微孔板试验。与无碱基位点结合的生物素可用荧光或酶偶联的链霉素亲和素复合物
(亲和素、链霉素亲和素、NeutrAvidin 和 CaptAvidin 生物素结合蛋白与亲和基质 — 第7.6节,Molecular Probes 亲和素、链霉素亲和素、NeutrAvidin 和 CaptAvidin 偶联物 — 表7.9)进行定量分析。ARP 可渗透细胞膜,允许检测活细胞中的无碱基位点。
Alexa Fluor 羟胺衍生物(修饰醛和酮的试剂 — 第3.3节)可能具有与 ARP 类似的效用,但不能透过膜。
图8.2.12 用于检测 DNA 损伤的醛反应性探针(ARP)。生物素羟胺 ARP(A10550)在活性氧使 DNA 脱嘌呤时形成的醛基发生反应。该反应形成连接 DNA 和生物素的共价键。然后可以使用荧光基团或酶连接的链霉素亲和素检测亲和素。
DNA 和 RNA 可通过其胞苷残基与亚硫酸氢钠反应形成磺酸盐中间体来修饰,然后该中间体可直接偶联到酰肼或脂肪胺上。
例如,生物素酰肼(生物素化和半抗原化试剂 — 第4.2节)已用于亚硫酸氢盐介导的反应中,从而将生物素偶联至寡核苷酸中的胞苷残基。
“Molecular Probes 肼、羟胺和胺衍生物 — 表3.2”中列出的荧光酰肼、羟胺和脂肪胺可能用于该反应。亚硫酸氢盐活化的胞苷酸也可与脂肪族二胺(如乙二胺)偶联。
然后,可用本节或“荧光基团及其胺反应性衍生物 — 第1章”中所述的任何胺反应性染料对胺修饰的 DNA 或 RNA 进行修饰。
已经开发了一些用于核酸修饰的其他专门方法。其中包括:
- 使用荧光碘乙酰胺或马来酰亚胺,以及 T4 多核苷酸激酶和 ATP-γ-S(末端磷酸含硫的 ATP),在5'-去磷酸化 RNA
或 DNA 的5'-端引入硫代磷酸盐
- 使用小牛胸腺末端脱氧核苷酸转移酶在 DNA 的3'-端引入4-硫尿核苷,随后用核糖核酸酶处理并与巯基反应性探针反应
- 巯基反应性试剂与核酸中4-硫尿核苷残基的直接反应
- 通过偏高碘酸钠将 RNA 的3'-端选择性氧化为二醛,其可与荧光或生物素酰肼或羟胺试剂偶联
- 胺或巯基反应性试剂与氨酰基 tRNA 或硫代乙酰化氨酰基 tRNA 的直接反应
- tRNA 的 X-碱基与异硫氰酸酯反应
或用荧光基团取代 tRNA 中其他不常见的碱基
- 荧光 4-叠氮基-2,3,5,6-四氟苄基衍生物标记质粒 DNA
- 标记重氮盐与核酸的偶联
仅供科研使用,不可用于诊断目的。











